Linearization And Differentials Worksheet . Worksheet 32 friday 10/4 today’s topic: Use the graph above to estimate. Differentials the ideas behind linear approximations are. Lesson 3.10 linearization and differentials 1. Note that the function under consideration is f(x) = ex and a = 0 is the. Calculate the relative error and percentage error in using a differential approximation. Use a linear approximation or di erentials to estimate the given number: Linearization (linear approximation) and differentials; The tangent line to a curve at a point on that curve is called the linearization (or linear approximation). Linearization and differentials worksheet when we change the inputs x for our function, its outputs f(x) change. We have just seen how derivatives allow us to compare related quantities that are changing over time. Write the linearization of a given function. Itamar oliveira march 13, 2020 1introduction and examples de nition 1. Draw a graph that illustrates the use of differentials to approximate the change in a quantity. Example 1 find the linearization l(x) of the function f(x) = sinxat π/6.
from aznswerzonenapsuperalloy.z13.web.core.windows.net
Use the graph above to estimate. We have just seen how derivatives allow us to compare related quantities that are changing over time. Worksheet 32 friday 10/4 today’s topic: Lesson 3.10 linearization and differentials 1. Linearization and differentials worksheet when we change the inputs x for our function, its outputs f(x) change. Write the linearization of a given function. Calculate the relative error and percentage error in using a differential approximation. Draw a graph that illustrates the use of differentials to approximate the change in a quantity. Differentials the ideas behind linear approximations are. Linearization (linear approximation) and differentials;
Ap Physics Linearization Worksheet
Linearization And Differentials Worksheet Note that the function under consideration is f(x) = ex and a = 0 is the. Linearization (linear approximation) and differentials; Differentials the ideas behind linear approximations are. Example 1 find the linearization l(x) of the function f(x) = sinxat π/6. Write the linearization of a given function. Lesson 3.10 linearization and differentials 1. Note that the function under consideration is f(x) = ex and a = 0 is the. The tangent line to a curve at a point on that curve is called the linearization (or linear approximation). We have just seen how derivatives allow us to compare related quantities that are changing over time. Itamar oliveira march 13, 2020 1introduction and examples de nition 1. Draw a graph that illustrates the use of differentials to approximate the change in a quantity. Use the graph above to estimate. Worksheet 32 friday 10/4 today’s topic: Use a linear approximation or di erentials to estimate the given number: Linearization and differentials worksheet when we change the inputs x for our function, its outputs f(x) change. Calculate the relative error and percentage error in using a differential approximation.
From www.chegg.com
Solved Linearization and Differentials Proble Next Problem Linearization And Differentials Worksheet Calculate the relative error and percentage error in using a differential approximation. Linearization (linear approximation) and differentials; We have just seen how derivatives allow us to compare related quantities that are changing over time. Lesson 3.10 linearization and differentials 1. Draw a graph that illustrates the use of differentials to approximate the change in a quantity. The tangent line to. Linearization And Differentials Worksheet.
From dokumen.tips
(PDF) SECTION 3.5 DIFFERENTIALS and LINEARIZATION OF FUNCTIONSkkuniyuk Linearization And Differentials Worksheet Example 1 find the linearization l(x) of the function f(x) = sinxat π/6. Linearization (linear approximation) and differentials; The tangent line to a curve at a point on that curve is called the linearization (or linear approximation). Write the linearization of a given function. We have just seen how derivatives allow us to compare related quantities that are changing over. Linearization And Differentials Worksheet.
From www.studocu.com
Lesson 3.11 The Linearization and Differentials MAT 220 Studocu Linearization And Differentials Worksheet Calculate the relative error and percentage error in using a differential approximation. Draw a graph that illustrates the use of differentials to approximate the change in a quantity. Lesson 3.10 linearization and differentials 1. We have just seen how derivatives allow us to compare related quantities that are changing over time. Write the linearization of a given function. Example 1. Linearization And Differentials Worksheet.
From study.com
Quiz & Worksheet Linearization of Functions Linearization And Differentials Worksheet Linearization and differentials worksheet when we change the inputs x for our function, its outputs f(x) change. The tangent line to a curve at a point on that curve is called the linearization (or linear approximation). Example 1 find the linearization l(x) of the function f(x) = sinxat π/6. We have just seen how derivatives allow us to compare related. Linearization And Differentials Worksheet.
From www.youtube.com
Differentials and Derivatives Local Linearization YouTube Linearization And Differentials Worksheet We have just seen how derivatives allow us to compare related quantities that are changing over time. Worksheet 32 friday 10/4 today’s topic: Draw a graph that illustrates the use of differentials to approximate the change in a quantity. Example 1 find the linearization l(x) of the function f(x) = sinxat π/6. Lesson 3.10 linearization and differentials 1. Differentials the. Linearization And Differentials Worksheet.
From www.studocu.com
Chapter 3.9 Linearization AND Differentials MTH 1 Studocu Linearization And Differentials Worksheet Example 1 find the linearization l(x) of the function f(x) = sinxat π/6. Itamar oliveira march 13, 2020 1introduction and examples de nition 1. Linearization (linear approximation) and differentials; Linearization and differentials worksheet when we change the inputs x for our function, its outputs f(x) change. Use a linear approximation or di erentials to estimate the given number: Differentials the. Linearization And Differentials Worksheet.
From www.youtube.com
Finding The Linearization of a Function Using Tangent Line Linearization And Differentials Worksheet Worksheet 32 friday 10/4 today’s topic: Calculate the relative error and percentage error in using a differential approximation. Write the linearization of a given function. We have just seen how derivatives allow us to compare related quantities that are changing over time. Linearization (linear approximation) and differentials; Note that the function under consideration is f(x) = ex and a =. Linearization And Differentials Worksheet.
From www.coursehero.com
[Solved] Linearization & Differentials 11. (2009 AB5) X 2 UJ 13 f (x) 4 Linearization And Differentials Worksheet Draw a graph that illustrates the use of differentials to approximate the change in a quantity. Worksheet 32 friday 10/4 today’s topic: Use the graph above to estimate. Differentials the ideas behind linear approximations are. The tangent line to a curve at a point on that curve is called the linearization (or linear approximation). Itamar oliveira march 13, 2020 1introduction. Linearization And Differentials Worksheet.
From www.scribd.com
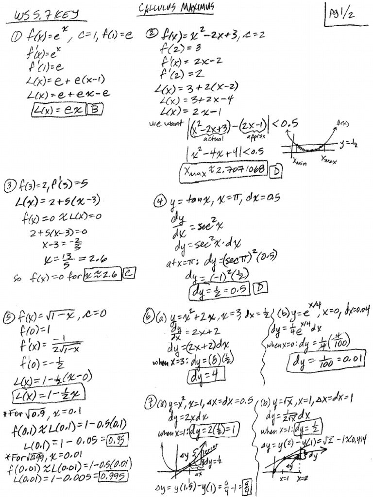
WS 03.7 Linearization & Differentials KEY PDF Linearization And Differentials Worksheet Calculate the relative error and percentage error in using a differential approximation. Write the linearization of a given function. Lesson 3.10 linearization and differentials 1. We have just seen how derivatives allow us to compare related quantities that are changing over time. Draw a graph that illustrates the use of differentials to approximate the change in a quantity. Example 1. Linearization And Differentials Worksheet.
From www.formsbank.com
37 Calculus Worksheet Templates free to download in PDF Linearization And Differentials Worksheet Use the graph above to estimate. The tangent line to a curve at a point on that curve is called the linearization (or linear approximation). Draw a graph that illustrates the use of differentials to approximate the change in a quantity. Itamar oliveira march 13, 2020 1introduction and examples de nition 1. Note that the function under consideration is f(x). Linearization And Differentials Worksheet.
From www.slideserve.com
PPT 4.4 Linearization and Differentials PowerPoint Presentation, free Linearization And Differentials Worksheet Write the linearization of a given function. Draw a graph that illustrates the use of differentials to approximate the change in a quantity. Use a linear approximation or di erentials to estimate the given number: We have just seen how derivatives allow us to compare related quantities that are changing over time. Note that the function under consideration is f(x). Linearization And Differentials Worksheet.
From www.slideserve.com
PPT 55 Day 2 Linearization and differentials PowerPoint Presentation Linearization And Differentials Worksheet Linearization and differentials worksheet when we change the inputs x for our function, its outputs f(x) change. Use the graph above to estimate. Linearization (linear approximation) and differentials; Write the linearization of a given function. We have just seen how derivatives allow us to compare related quantities that are changing over time. Lesson 3.10 linearization and differentials 1. The tangent. Linearization And Differentials Worksheet.
From www.studocu.com
WS15 Linear approximations and linearization. Worksheet 15 Linear Linearization And Differentials Worksheet Differentials the ideas behind linear approximations are. Write the linearization of a given function. Example 1 find the linearization l(x) of the function f(x) = sinxat π/6. Calculate the relative error and percentage error in using a differential approximation. Lesson 3.10 linearization and differentials 1. Use a linear approximation or di erentials to estimate the given number: We have just. Linearization And Differentials Worksheet.
From prntbl.concejomunicipaldechinu.gov.co
Ap Physics Linearization Worksheet prntbl.concejomunicipaldechinu.gov.co Linearization And Differentials Worksheet Example 1 find the linearization l(x) of the function f(x) = sinxat π/6. Linearization and differentials worksheet when we change the inputs x for our function, its outputs f(x) change. Draw a graph that illustrates the use of differentials to approximate the change in a quantity. Use a linear approximation or di erentials to estimate the given number: Itamar oliveira. Linearization And Differentials Worksheet.
From www.youtube.com
AP Calc BC Section 5.5 Linearization and Differentials YouTube Linearization And Differentials Worksheet The tangent line to a curve at a point on that curve is called the linearization (or linear approximation). Calculate the relative error and percentage error in using a differential approximation. Note that the function under consideration is f(x) = ex and a = 0 is the. We have just seen how derivatives allow us to compare related quantities that. Linearization And Differentials Worksheet.
From prntbl.concejomunicipaldechinu.gov.co
Ap Physics Linearization Worksheet prntbl.concejomunicipaldechinu.gov.co Linearization And Differentials Worksheet Linearization and differentials worksheet when we change the inputs x for our function, its outputs f(x) change. Note that the function under consideration is f(x) = ex and a = 0 is the. Draw a graph that illustrates the use of differentials to approximate the change in a quantity. We have just seen how derivatives allow us to compare related. Linearization And Differentials Worksheet.
From www.scribd.com
Linearization and Differentials PDF PDF Derivative Polynomial Linearization And Differentials Worksheet We have just seen how derivatives allow us to compare related quantities that are changing over time. Draw a graph that illustrates the use of differentials to approximate the change in a quantity. Note that the function under consideration is f(x) = ex and a = 0 is the. Linearization (linear approximation) and differentials; Write the linearization of a given. Linearization And Differentials Worksheet.
From www.youtube.com
Linearization and Differentials Practice Worksheet Solutions YouTube Linearization And Differentials Worksheet Worksheet 32 friday 10/4 today’s topic: Differentials the ideas behind linear approximations are. Itamar oliveira march 13, 2020 1introduction and examples de nition 1. Use the graph above to estimate. Linearization and differentials worksheet when we change the inputs x for our function, its outputs f(x) change. The tangent line to a curve at a point on that curve is. Linearization And Differentials Worksheet.
From www.numerade.com
Linearization and differentials overview Numerade Linearization And Differentials Worksheet Use a linear approximation or di erentials to estimate the given number: Note that the function under consideration is f(x) = ex and a = 0 is the. Draw a graph that illustrates the use of differentials to approximate the change in a quantity. Worksheet 32 friday 10/4 today’s topic: Calculate the relative error and percentage error in using a. Linearization And Differentials Worksheet.
From sdmathandchemistrytutor.screencasthost.com
linearization and differentials Linearization And Differentials Worksheet The tangent line to a curve at a point on that curve is called the linearization (or linear approximation). Write the linearization of a given function. Differentials the ideas behind linear approximations are. Example 1 find the linearization l(x) of the function f(x) = sinxat π/6. Draw a graph that illustrates the use of differentials to approximate the change in. Linearization And Differentials Worksheet.
From www.scribd.com
Homework 1 Linearization, Differentials and Indefinite Integrals PDF Linearization And Differentials Worksheet Itamar oliveira march 13, 2020 1introduction and examples de nition 1. Worksheet 32 friday 10/4 today’s topic: We have just seen how derivatives allow us to compare related quantities that are changing over time. Use the graph above to estimate. Use a linear approximation or di erentials to estimate the given number: Linearization and differentials worksheet when we change the. Linearization And Differentials Worksheet.
From prntbl.concejomunicipaldechinu.gov.co
Ap Physics Linearization Worksheet prntbl.concejomunicipaldechinu.gov.co Linearization And Differentials Worksheet Use a linear approximation or di erentials to estimate the given number: Lesson 3.10 linearization and differentials 1. The tangent line to a curve at a point on that curve is called the linearization (or linear approximation). We have just seen how derivatives allow us to compare related quantities that are changing over time. Example 1 find the linearization l(x). Linearization And Differentials Worksheet.
From slidetodoc.com
Section 4 5 Linearization and differentials OBJECTIVES STUDENTS Linearization And Differentials Worksheet Differentials the ideas behind linear approximations are. Note that the function under consideration is f(x) = ex and a = 0 is the. Draw a graph that illustrates the use of differentials to approximate the change in a quantity. Write the linearization of a given function. Linearization (linear approximation) and differentials; Itamar oliveira march 13, 2020 1introduction and examples de. Linearization And Differentials Worksheet.
From www.studocu.com
108topic 15 notes TOPIC 15 LINEARIZATION, DIFFERENTIALS, NEWTON’S Linearization And Differentials Worksheet Worksheet 32 friday 10/4 today’s topic: Write the linearization of a given function. We have just seen how derivatives allow us to compare related quantities that are changing over time. Use a linear approximation or di erentials to estimate the given number: Example 1 find the linearization l(x) of the function f(x) = sinxat π/6. Linearization and differentials worksheet when. Linearization And Differentials Worksheet.
From slidetodoc.com
Section 4 5 Linearization and differentials OBJECTIVES STUDENTS Linearization And Differentials Worksheet Write the linearization of a given function. Example 1 find the linearization l(x) of the function f(x) = sinxat π/6. Itamar oliveira march 13, 2020 1introduction and examples de nition 1. Linearization (linear approximation) and differentials; We have just seen how derivatives allow us to compare related quantities that are changing over time. Use the graph above to estimate. Differentials. Linearization And Differentials Worksheet.
From aznswerzonenapsuperalloy.z13.web.core.windows.net
Ap Physics Linearization Worksheet Linearization And Differentials Worksheet The tangent line to a curve at a point on that curve is called the linearization (or linear approximation). Use a linear approximation or di erentials to estimate the given number: Linearization (linear approximation) and differentials; Write the linearization of a given function. Use the graph above to estimate. Calculate the relative error and percentage error in using a differential. Linearization And Differentials Worksheet.
From www.studocu.com
Summary Linearization and differentials review of logarithms Linearization And Differentials Worksheet Lesson 3.10 linearization and differentials 1. We have just seen how derivatives allow us to compare related quantities that are changing over time. Differentials the ideas behind linear approximations are. Linearization and differentials worksheet when we change the inputs x for our function, its outputs f(x) change. Draw a graph that illustrates the use of differentials to approximate the change. Linearization And Differentials Worksheet.
From www.studocu.com
4.1 106 This covers lesson 4.6 which is linearization and Linearization And Differentials Worksheet We have just seen how derivatives allow us to compare related quantities that are changing over time. Note that the function under consideration is f(x) = ex and a = 0 is the. Itamar oliveira march 13, 2020 1introduction and examples de nition 1. Worksheet 32 friday 10/4 today’s topic: Linearization and differentials worksheet when we change the inputs x. Linearization And Differentials Worksheet.
From www.youtube.com
Video Lesson Linearization and Differentials YouTube Linearization And Differentials Worksheet We have just seen how derivatives allow us to compare related quantities that are changing over time. Write the linearization of a given function. Worksheet 32 friday 10/4 today’s topic: Draw a graph that illustrates the use of differentials to approximate the change in a quantity. Lesson 3.10 linearization and differentials 1. Note that the function under consideration is f(x). Linearization And Differentials Worksheet.
From www.studypool.com
SOLUTION Linear Approximation and Differentials Example Worksheet Linearization And Differentials Worksheet Worksheet 32 friday 10/4 today’s topic: We have just seen how derivatives allow us to compare related quantities that are changing over time. Linearization (linear approximation) and differentials; Linearization and differentials worksheet when we change the inputs x for our function, its outputs f(x) change. Calculate the relative error and percentage error in using a differential approximation. Itamar oliveira march. Linearization And Differentials Worksheet.
From www.youtube.com
Differentials and Linearization YouTube Linearization And Differentials Worksheet The tangent line to a curve at a point on that curve is called the linearization (or linear approximation). Differentials the ideas behind linear approximations are. Example 1 find the linearization l(x) of the function f(x) = sinxat π/6. Lesson 3.10 linearization and differentials 1. Linearization (linear approximation) and differentials; Use a linear approximation or di erentials to estimate the. Linearization And Differentials Worksheet.
From www.chegg.com
Solved Preparation for Linearization and Differentials Lab Linearization And Differentials Worksheet Note that the function under consideration is f(x) = ex and a = 0 is the. Differentials the ideas behind linear approximations are. The tangent line to a curve at a point on that curve is called the linearization (or linear approximation). Calculate the relative error and percentage error in using a differential approximation. Draw a graph that illustrates the. Linearization And Differentials Worksheet.
From www.studocu.com
Section 3.11 Linearization and Differentials 3 Linearization and Linearization And Differentials Worksheet Linearization (linear approximation) and differentials; Worksheet 32 friday 10/4 today’s topic: Linearization and differentials worksheet when we change the inputs x for our function, its outputs f(x) change. The tangent line to a curve at a point on that curve is called the linearization (or linear approximation). Write the linearization of a given function. We have just seen how derivatives. Linearization And Differentials Worksheet.
From www.numerade.com
Linearization and differentials overview Numerade Linearization And Differentials Worksheet Lesson 3.10 linearization and differentials 1. Linearization (linear approximation) and differentials; We have just seen how derivatives allow us to compare related quantities that are changing over time. Differentials the ideas behind linear approximations are. Worksheet 32 friday 10/4 today’s topic: Example 1 find the linearization l(x) of the function f(x) = sinxat π/6. The tangent line to a curve. Linearization And Differentials Worksheet.
From www.chegg.com
Solved Linearization of Systems For each of the Linearization And Differentials Worksheet Linearization (linear approximation) and differentials; Note that the function under consideration is f(x) = ex and a = 0 is the. Worksheet 32 friday 10/4 today’s topic: Calculate the relative error and percentage error in using a differential approximation. Differentials the ideas behind linear approximations are. Itamar oliveira march 13, 2020 1introduction and examples de nition 1. Lesson 3.10 linearization. Linearization And Differentials Worksheet.