Trig Identities Homework . Trigonometric identities worksheet introduction to identities 1. In this first section, we will work with the fundamental identities: If tan 2t , then cot ?t 4. Prep up with a thorough knowledge of the identities from the fundamental trigonometric identities chart. Advanced math trigonometric identities [day 1] homework use trigonometric identities to write each expression in terms of a single trigonometric identity or a constant. Practice each skill in the homework problems listed: If 3 sin 5 t , then csc ?t 2. If 3 cos 2 t , then sec ?t 3.
from www.studocu.com
If 3 cos 2 t , then sec ?t 3. In this first section, we will work with the fundamental identities: Practice each skill in the homework problems listed: Advanced math trigonometric identities [day 1] homework use trigonometric identities to write each expression in terms of a single trigonometric identity or a constant. If 3 sin 5 t , then csc ?t 2. Prep up with a thorough knowledge of the identities from the fundamental trigonometric identities chart. Trigonometric identities worksheet introduction to identities 1. If tan 2t , then cot ?t 4.
3.12 Homework (Day 2) Verifying Trig Identities Name
Trig Identities Homework Trigonometric identities worksheet introduction to identities 1. Practice each skill in the homework problems listed: Trigonometric identities worksheet introduction to identities 1. Prep up with a thorough knowledge of the identities from the fundamental trigonometric identities chart. In this first section, we will work with the fundamental identities: If tan 2t , then cot ?t 4. Advanced math trigonometric identities [day 1] homework use trigonometric identities to write each expression in terms of a single trigonometric identity or a constant. If 3 cos 2 t , then sec ?t 3. If 3 sin 5 t , then csc ?t 2.
From www.studocu.com
2122 Lesson 8 Homework Key Finding Values using Trig Identities Studocu Trig Identities Homework Practice each skill in the homework problems listed: Prep up with a thorough knowledge of the identities from the fundamental trigonometric identities chart. If tan 2t , then cot ?t 4. Advanced math trigonometric identities [day 1] homework use trigonometric identities to write each expression in terms of a single trigonometric identity or a constant. If 3 cos 2 t. Trig Identities Homework.
From www.studocu.com
5.1 fundamental trigonometric identities homework MTH 132 Studocu Trig Identities Homework Prep up with a thorough knowledge of the identities from the fundamental trigonometric identities chart. If tan 2t , then cot ?t 4. Trigonometric identities worksheet introduction to identities 1. If 3 sin 5 t , then csc ?t 2. If 3 cos 2 t , then sec ?t 3. Advanced math trigonometric identities [day 1] homework use trigonometric identities. Trig Identities Homework.
From mathmistakes.org
Trig Identities Math Mistakes Trig Identities Homework Practice each skill in the homework problems listed: If 3 sin 5 t , then csc ?t 2. Advanced math trigonometric identities [day 1] homework use trigonometric identities to write each expression in terms of a single trigonometric identity or a constant. If tan 2t , then cot ?t 4. In this first section, we will work with the fundamental. Trig Identities Homework.
From www.vrogue.co
Basic Trigonometric Identities vrogue.co Trig Identities Homework Practice each skill in the homework problems listed: If 3 cos 2 t , then sec ?t 3. Trigonometric identities worksheet introduction to identities 1. If 3 sin 5 t , then csc ?t 2. Advanced math trigonometric identities [day 1] homework use trigonometric identities to write each expression in terms of a single trigonometric identity or a constant. Prep. Trig Identities Homework.
From slideplayer.com
11 Proving Trig Identities ppt download Trig Identities Homework If 3 cos 2 t , then sec ?t 3. If 3 sin 5 t , then csc ?t 2. Prep up with a thorough knowledge of the identities from the fundamental trigonometric identities chart. Practice each skill in the homework problems listed: Trigonometric identities worksheet introduction to identities 1. In this first section, we will work with the fundamental. Trig Identities Homework.
From www.scribd.com
Homework 10 Trig Equations and Identities1 PDF Trig Identities Homework Advanced math trigonometric identities [day 1] homework use trigonometric identities to write each expression in terms of a single trigonometric identity or a constant. In this first section, we will work with the fundamental identities: Prep up with a thorough knowledge of the identities from the fundamental trigonometric identities chart. If 3 sin 5 t , then csc ?t 2.. Trig Identities Homework.
From www.worksheeto.com
14 Best Images of Trigonometry Trig Worksheets Free Printable Trig Identities Homework Practice each skill in the homework problems listed: Prep up with a thorough knowledge of the identities from the fundamental trigonometric identities chart. If 3 cos 2 t , then sec ?t 3. Trigonometric identities worksheet introduction to identities 1. In this first section, we will work with the fundamental identities: Advanced math trigonometric identities [day 1] homework use trigonometric. Trig Identities Homework.
From www.studocu.com
5.3 sum and difference identities homework MTH 132 Studocu Trig Identities Homework Prep up with a thorough knowledge of the identities from the fundamental trigonometric identities chart. Advanced math trigonometric identities [day 1] homework use trigonometric identities to write each expression in terms of a single trigonometric identity or a constant. If 3 sin 5 t , then csc ?t 2. Trigonometric identities worksheet introduction to identities 1. Practice each skill in. Trig Identities Homework.
From sgrothfam-hw.blogspot.com
Mr. Sondgeroth's Homework Blog Trig Identities Trig Identities Homework If 3 sin 5 t , then csc ?t 2. If 3 cos 2 t , then sec ?t 3. If tan 2t , then cot ?t 4. Advanced math trigonometric identities [day 1] homework use trigonometric identities to write each expression in terms of a single trigonometric identity or a constant. Prep up with a thorough knowledge of the. Trig Identities Homework.
From www.chegg.com
Solved Name Date Unit 12 Trigonometry Bell Homework 11 Trig Identities Homework In this first section, we will work with the fundamental identities: Prep up with a thorough knowledge of the identities from the fundamental trigonometric identities chart. Trigonometric identities worksheet introduction to identities 1. Practice each skill in the homework problems listed: If 3 cos 2 t , then sec ?t 3. If 3 sin 5 t , then csc ?t. Trig Identities Homework.
From www.pinterest.co.uk
Trig Identities Still Coming In! Remember those fundamental trig Trig Identities Homework In this first section, we will work with the fundamental identities: If tan 2t , then cot ?t 4. Prep up with a thorough knowledge of the identities from the fundamental trigonometric identities chart. Advanced math trigonometric identities [day 1] homework use trigonometric identities to write each expression in terms of a single trigonometric identity or a constant. Practice each. Trig Identities Homework.
From blog.symbolab.com
Symbolab Blog High School Math Solutions Trigonometry Calculator Trig Identities Homework Advanced math trigonometric identities [day 1] homework use trigonometric identities to write each expression in terms of a single trigonometric identity or a constant. Trigonometric identities worksheet introduction to identities 1. In this first section, we will work with the fundamental identities: If tan 2t , then cot ?t 4. Practice each skill in the homework problems listed: If 3. Trig Identities Homework.
From www.studocu.com
3 Trig Identities Homework Session 22 Trigonometric Identities and Trig Identities Homework Practice each skill in the homework problems listed: Advanced math trigonometric identities [day 1] homework use trigonometric identities to write each expression in terms of a single trigonometric identity or a constant. Prep up with a thorough knowledge of the identities from the fundamental trigonometric identities chart. If tan 2t , then cot ?t 4. If 3 cos 2 t. Trig Identities Homework.
From trigonometri-logaritma.blogspot.com
Simplifying Trigonometric Identities Worksheet With Answers Trig Identities Homework Prep up with a thorough knowledge of the identities from the fundamental trigonometric identities chart. Practice each skill in the homework problems listed: If 3 cos 2 t , then sec ?t 3. Trigonometric identities worksheet introduction to identities 1. In this first section, we will work with the fundamental identities: If 3 sin 5 t , then csc ?t. Trig Identities Homework.
From trigidentities.net
Trig Identities Cheat Sheet [Solving Trigonometric Proofs] Trig Identities Homework Trigonometric identities worksheet introduction to identities 1. Advanced math trigonometric identities [day 1] homework use trigonometric identities to write each expression in terms of a single trigonometric identity or a constant. If 3 cos 2 t , then sec ?t 3. Practice each skill in the homework problems listed: If tan 2t , then cot ?t 4. Prep up with. Trig Identities Homework.
From www.dummies.com
Trig Identities for PreCalculus dummies Trig Identities Homework In this first section, we will work with the fundamental identities: Practice each skill in the homework problems listed: If tan 2t , then cot ?t 4. Prep up with a thorough knowledge of the identities from the fundamental trigonometric identities chart. Advanced math trigonometric identities [day 1] homework use trigonometric identities to write each expression in terms of a. Trig Identities Homework.
From studyingworksheets.com
Trig Identities Worksheet 3.4 Studying Worksheets Trig Identities Homework If tan 2t , then cot ?t 4. Prep up with a thorough knowledge of the identities from the fundamental trigonometric identities chart. Advanced math trigonometric identities [day 1] homework use trigonometric identities to write each expression in terms of a single trigonometric identity or a constant. Practice each skill in the homework problems listed: If 3 sin 5 t. Trig Identities Homework.
From www.facebook.com
Trigonometric identities Engineering Infinity Trig Identities Homework If tan 2t , then cot ?t 4. Prep up with a thorough knowledge of the identities from the fundamental trigonometric identities chart. If 3 cos 2 t , then sec ?t 3. Practice each skill in the homework problems listed: In this first section, we will work with the fundamental identities: If 3 sin 5 t , then csc. Trig Identities Homework.
From trigidentities.net
Trig Identities Table of Trigonometric Identities Trig Identities Homework In this first section, we will work with the fundamental identities: Prep up with a thorough knowledge of the identities from the fundamental trigonometric identities chart. If 3 sin 5 t , then csc ?t 2. If 3 cos 2 t , then sec ?t 3. Practice each skill in the homework problems listed: Advanced math trigonometric identities [day 1]. Trig Identities Homework.
From studylib.net
trig identities worksheet with answers 2 Trig Identities Homework If 3 cos 2 t , then sec ?t 3. Trigonometric identities worksheet introduction to identities 1. Prep up with a thorough knowledge of the identities from the fundamental trigonometric identities chart. Practice each skill in the homework problems listed: If 3 sin 5 t , then csc ?t 2. Advanced math trigonometric identities [day 1] homework use trigonometric identities. Trig Identities Homework.
From quizzlistnutmegged.z13.web.core.windows.net
Sum And Difference Trig Identities Pdf Trig Identities Homework Prep up with a thorough knowledge of the identities from the fundamental trigonometric identities chart. If 3 sin 5 t , then csc ?t 2. Practice each skill in the homework problems listed: Trigonometric identities worksheet introduction to identities 1. If 3 cos 2 t , then sec ?t 3. In this first section, we will work with the fundamental. Trig Identities Homework.
From www.transtutors.com
(Solved) Name Unit 6 Trigonometric Identities & Equations Date Per Trig Identities Homework Trigonometric identities worksheet introduction to identities 1. Practice each skill in the homework problems listed: If tan 2t , then cot ?t 4. In this first section, we will work with the fundamental identities: Prep up with a thorough knowledge of the identities from the fundamental trigonometric identities chart. If 3 cos 2 t , then sec ?t 3. If. Trig Identities Homework.
From www.scribd.com
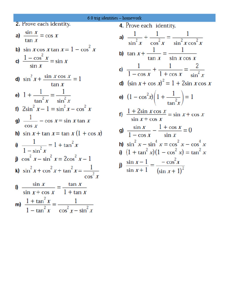
6.0 Trig Identities Homework PDF Trig Identities Homework Prep up with a thorough knowledge of the identities from the fundamental trigonometric identities chart. Advanced math trigonometric identities [day 1] homework use trigonometric identities to write each expression in terms of a single trigonometric identity or a constant. Trigonometric identities worksheet introduction to identities 1. If tan 2t , then cot ?t 4. In this first section, we will. Trig Identities Homework.
From www.goodreads.com
Trig Identities Practice Workbook with Answers by Chris McMullen Trig Identities Homework Practice each skill in the homework problems listed: If tan 2t , then cot ?t 4. Advanced math trigonometric identities [day 1] homework use trigonometric identities to write each expression in terms of a single trigonometric identity or a constant. Trigonometric identities worksheet introduction to identities 1. In this first section, we will work with the fundamental identities: If 3. Trig Identities Homework.
From www.studocu.com
3.12 Homework (Day 2) Verifying Trig Identities Name Trig Identities Homework Advanced math trigonometric identities [day 1] homework use trigonometric identities to write each expression in terms of a single trigonometric identity or a constant. If 3 cos 2 t , then sec ?t 3. If 3 sin 5 t , then csc ?t 2. Trigonometric identities worksheet introduction to identities 1. In this first section, we will work with the. Trig Identities Homework.
From www.pdfprof.com
unit 12 trigonometry homework 6 law of cosines answers Trig Identities Homework If tan 2t , then cot ?t 4. If 3 cos 2 t , then sec ?t 3. Prep up with a thorough knowledge of the identities from the fundamental trigonometric identities chart. If 3 sin 5 t , then csc ?t 2. In this first section, we will work with the fundamental identities: Trigonometric identities worksheet introduction to identities. Trig Identities Homework.
From www.chegg.com
Solved College Algebra Homework 13 Basic Trig Identities Trig Identities Homework If 3 cos 2 t , then sec ?t 3. Prep up with a thorough knowledge of the identities from the fundamental trigonometric identities chart. Practice each skill in the homework problems listed: If 3 sin 5 t , then csc ?t 2. In this first section, we will work with the fundamental identities: Advanced math trigonometric identities [day 1]. Trig Identities Homework.
From www.reddit.com
Trig Identities question r/askmath Trig Identities Homework Prep up with a thorough knowledge of the identities from the fundamental trigonometric identities chart. In this first section, we will work with the fundamental identities: If tan 2t , then cot ?t 4. Practice each skill in the homework problems listed: If 3 sin 5 t , then csc ?t 2. Trigonometric identities worksheet introduction to identities 1. If. Trig Identities Homework.
From www.youtube.com
PC 30 6.2 Trig Identities Homework 1,2,4,5 YouTube Trig Identities Homework Practice each skill in the homework problems listed: If tan 2t , then cot ?t 4. If 3 cos 2 t , then sec ?t 3. In this first section, we will work with the fundamental identities: Trigonometric identities worksheet introduction to identities 1. Prep up with a thorough knowledge of the identities from the fundamental trigonometric identities chart. If. Trig Identities Homework.
From www.studocu.com
3.12 Homework (Day 3) Solving Trig Equation Using Identities Name Trig Identities Homework If 3 cos 2 t , then sec ?t 3. If 3 sin 5 t , then csc ?t 2. Practice each skill in the homework problems listed: Prep up with a thorough knowledge of the identities from the fundamental trigonometric identities chart. Advanced math trigonometric identities [day 1] homework use trigonometric identities to write each expression in terms of. Trig Identities Homework.
From www.windward.solutions
The reciprocal trig functions homework answers Trig Identities Homework Practice each skill in the homework problems listed: Advanced math trigonometric identities [day 1] homework use trigonometric identities to write each expression in terms of a single trigonometric identity or a constant. Trigonometric identities worksheet introduction to identities 1. If 3 sin 5 t , then csc ?t 2. If tan 2t , then cot ?t 4. If 3 cos. Trig Identities Homework.
From www.vrogue.co
Trigonometric Identities Sheet By My Math Muse Tpt vrogue.co Trig Identities Homework Advanced math trigonometric identities [day 1] homework use trigonometric identities to write each expression in terms of a single trigonometric identity or a constant. If 3 sin 5 t , then csc ?t 2. If tan 2t , then cot ?t 4. In this first section, we will work with the fundamental identities: Prep up with a thorough knowledge of. Trig Identities Homework.
From ivuyteq.blogspot.com
Proving Trig Identities Worksheet With Answers Ivuyteq Trig Identities Homework Advanced math trigonometric identities [day 1] homework use trigonometric identities to write each expression in terms of a single trigonometric identity or a constant. If tan 2t , then cot ?t 4. Trigonometric identities worksheet introduction to identities 1. Practice each skill in the homework problems listed: If 3 cos 2 t , then sec ?t 3. If 3 sin. Trig Identities Homework.
From www.scribd.com
Math Trig Homework Ex 10.4 PDF Trig Identities Homework Prep up with a thorough knowledge of the identities from the fundamental trigonometric identities chart. If 3 sin 5 t , then csc ?t 2. In this first section, we will work with the fundamental identities: Trigonometric identities worksheet introduction to identities 1. Practice each skill in the homework problems listed: If 3 cos 2 t , then sec ?t. Trig Identities Homework.
From www.reddit.com
Homework Help! Grade 11 Trig. Identities r/askmath Trig Identities Homework Advanced math trigonometric identities [day 1] homework use trigonometric identities to write each expression in terms of a single trigonometric identity or a constant. If 3 cos 2 t , then sec ?t 3. Practice each skill in the homework problems listed: Prep up with a thorough knowledge of the identities from the fundamental trigonometric identities chart. In this first. Trig Identities Homework.