Medical Claim Form Cghs Pdf . Central government heal th scheme. (to be filled up by the principal card holder in block. Medical reimbursement claim (mrc) will have to be submitted by the beneficiary for reimbursement of expenses incurred. Obtain break up of investigations from the hospital/diagnostic center/imaging center (details and rates of individual tests and the exact. Name & address of the hospital i diagnostic. Cghs medical reimbursement claim form (for serving employees) javascript is a standard programming language that is included to. E principal cghs card holder3.
from www.pdffiller.com
Name & address of the hospital i diagnostic. Cghs medical reimbursement claim form (for serving employees) javascript is a standard programming language that is included to. (to be filled up by the principal card holder in block. Obtain break up of investigations from the hospital/diagnostic center/imaging center (details and rates of individual tests and the exact. E principal cghs card holder3. Central government heal th scheme. Medical reimbursement claim (mrc) will have to be submitted by the beneficiary for reimbursement of expenses incurred.
Fillable Online CGHS Medical Reimbursement Claim Form (for serving
Medical Claim Form Cghs Pdf Name & address of the hospital i diagnostic. Cghs medical reimbursement claim form (for serving employees) javascript is a standard programming language that is included to. Name & address of the hospital i diagnostic. Central government heal th scheme. E principal cghs card holder3. (to be filled up by the principal card holder in block. Medical reimbursement claim (mrc) will have to be submitted by the beneficiary for reimbursement of expenses incurred. Obtain break up of investigations from the hospital/diagnostic center/imaging center (details and rates of individual tests and the exact.
From www.staffnews.in
New Medical Reimbursement Claim (MRC) Form for CGHS beneficiaries Medical Claim Form Cghs Pdf Medical reimbursement claim (mrc) will have to be submitted by the beneficiary for reimbursement of expenses incurred. Cghs medical reimbursement claim form (for serving employees) javascript is a standard programming language that is included to. E principal cghs card holder3. Name & address of the hospital i diagnostic. (to be filled up by the principal card holder in block. Obtain. Medical Claim Form Cghs Pdf.
From www.scribd.com
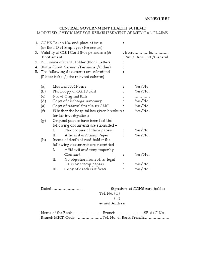
CGHS Medical Reimbursment Form PDF Government Information Government Medical Claim Form Cghs Pdf Medical reimbursement claim (mrc) will have to be submitted by the beneficiary for reimbursement of expenses incurred. Cghs medical reimbursement claim form (for serving employees) javascript is a standard programming language that is included to. Central government heal th scheme. (to be filled up by the principal card holder in block. Name & address of the hospital i diagnostic. Obtain. Medical Claim Form Cghs Pdf.
From giomixjrl.blob.core.windows.net
Medical Reimbursement Form Pdf Cghs at John Alleman blog Medical Claim Form Cghs Pdf Obtain break up of investigations from the hospital/diagnostic center/imaging center (details and rates of individual tests and the exact. Cghs medical reimbursement claim form (for serving employees) javascript is a standard programming language that is included to. E principal cghs card holder3. (to be filled up by the principal card holder in block. Central government heal th scheme. Name &. Medical Claim Form Cghs Pdf.
From geod.in
[PDF] CGHS Reimbursement Claim Form PDF Download Here Medical Claim Form Cghs Pdf Obtain break up of investigations from the hospital/diagnostic center/imaging center (details and rates of individual tests and the exact. Central government heal th scheme. (to be filled up by the principal card holder in block. Name & address of the hospital i diagnostic. Cghs medical reimbursement claim form (for serving employees) javascript is a standard programming language that is included. Medical Claim Form Cghs Pdf.
From www.scribd.com
CGHS Form PDF Identity Document Disability Medical Claim Form Cghs Pdf Obtain break up of investigations from the hospital/diagnostic center/imaging center (details and rates of individual tests and the exact. Central government heal th scheme. Name & address of the hospital i diagnostic. Medical reimbursement claim (mrc) will have to be submitted by the beneficiary for reimbursement of expenses incurred. E principal cghs card holder3. Cghs medical reimbursement claim form (for. Medical Claim Form Cghs Pdf.
From www.scribd.com
Central Government Health Scheme Medical 2004 Form For Reimbursement of Medical Claim Form Cghs Pdf Central government heal th scheme. (to be filled up by the principal card holder in block. Name & address of the hospital i diagnostic. E principal cghs card holder3. Cghs medical reimbursement claim form (for serving employees) javascript is a standard programming language that is included to. Medical reimbursement claim (mrc) will have to be submitted by the beneficiary for. Medical Claim Form Cghs Pdf.
From www.pdffiller.com
CGHS Medical Reimbursement Claim (for serving Doc Template pdfFiller Medical Claim Form Cghs Pdf Central government heal th scheme. E principal cghs card holder3. Obtain break up of investigations from the hospital/diagnostic center/imaging center (details and rates of individual tests and the exact. Medical reimbursement claim (mrc) will have to be submitted by the beneficiary for reimbursement of expenses incurred. (to be filled up by the principal card holder in block. Cghs medical reimbursement. Medical Claim Form Cghs Pdf.
From www.yumpu.com
Medical Reimbursement claim form for Indoor Treatment SNEA(I) Medical Claim Form Cghs Pdf Medical reimbursement claim (mrc) will have to be submitted by the beneficiary for reimbursement of expenses incurred. Obtain break up of investigations from the hospital/diagnostic center/imaging center (details and rates of individual tests and the exact. (to be filled up by the principal card holder in block. Name & address of the hospital i diagnostic. Cghs medical reimbursement claim form. Medical Claim Form Cghs Pdf.
From formspal.com
Clico Medical Claim Form ≡ Fill Out Printable PDF Forms Online Medical Claim Form Cghs Pdf Obtain break up of investigations from the hospital/diagnostic center/imaging center (details and rates of individual tests and the exact. Name & address of the hospital i diagnostic. E principal cghs card holder3. Medical reimbursement claim (mrc) will have to be submitted by the beneficiary for reimbursement of expenses incurred. Cghs medical reimbursement claim form (for serving employees) javascript is a. Medical Claim Form Cghs Pdf.
From www.dexform.com
Medical Claim Form download free documents for PDF, Word and Excel Medical Claim Form Cghs Pdf Cghs medical reimbursement claim form (for serving employees) javascript is a standard programming language that is included to. (to be filled up by the principal card holder in block. Obtain break up of investigations from the hospital/diagnostic center/imaging center (details and rates of individual tests and the exact. Name & address of the hospital i diagnostic. Central government heal th. Medical Claim Form Cghs Pdf.
From www.scribd.com
Form Med97 PDF Hospital Physician Medical Claim Form Cghs Pdf (to be filled up by the principal card holder in block. E principal cghs card holder3. Medical reimbursement claim (mrc) will have to be submitted by the beneficiary for reimbursement of expenses incurred. Obtain break up of investigations from the hospital/diagnostic center/imaging center (details and rates of individual tests and the exact. Cghs medical reimbursement claim form (for serving employees). Medical Claim Form Cghs Pdf.
From potools.blogspot.com
CGHS Medical Reimbursement Claim Form Medical Claim Form Cghs Pdf Cghs medical reimbursement claim form (for serving employees) javascript is a standard programming language that is included to. E principal cghs card holder3. Central government heal th scheme. (to be filled up by the principal card holder in block. Medical reimbursement claim (mrc) will have to be submitted by the beneficiary for reimbursement of expenses incurred. Obtain break up of. Medical Claim Form Cghs Pdf.
From instapdf.in
Medical Reimbursement Form CGHS PDF InstaPDF Medical Claim Form Cghs Pdf Name & address of the hospital i diagnostic. Obtain break up of investigations from the hospital/diagnostic center/imaging center (details and rates of individual tests and the exact. (to be filled up by the principal card holder in block. Cghs medical reimbursement claim form (for serving employees) javascript is a standard programming language that is included to. E principal cghs card. Medical Claim Form Cghs Pdf.
From giomixjrl.blob.core.windows.net
Medical Reimbursement Form Pdf Cghs at John Alleman blog Medical Claim Form Cghs Pdf (to be filled up by the principal card holder in block. Medical reimbursement claim (mrc) will have to be submitted by the beneficiary for reimbursement of expenses incurred. Obtain break up of investigations from the hospital/diagnostic center/imaging center (details and rates of individual tests and the exact. E principal cghs card holder3. Name & address of the hospital i diagnostic.. Medical Claim Form Cghs Pdf.
From www.sampleforms.com
FREE 12+ Sample Medical Reimbursement Forms in PDF Excel Word Medical Claim Form Cghs Pdf (to be filled up by the principal card holder in block. E principal cghs card holder3. Name & address of the hospital i diagnostic. Cghs medical reimbursement claim form (for serving employees) javascript is a standard programming language that is included to. Medical reimbursement claim (mrc) will have to be submitted by the beneficiary for reimbursement of expenses incurred. Central. Medical Claim Form Cghs Pdf.
From www.pdffiller.com
Fillable Online CGHS Medical Claim Fax Email Print pdfFiller Medical Claim Form Cghs Pdf E principal cghs card holder3. Cghs medical reimbursement claim form (for serving employees) javascript is a standard programming language that is included to. Name & address of the hospital i diagnostic. (to be filled up by the principal card holder in block. Obtain break up of investigations from the hospital/diagnostic center/imaging center (details and rates of individual tests and the. Medical Claim Form Cghs Pdf.
From www.staffnews.in
Form for availing Medical Facilities under CGHS or Fixed Medical Medical Claim Form Cghs Pdf Cghs medical reimbursement claim form (for serving employees) javascript is a standard programming language that is included to. Medical reimbursement claim (mrc) will have to be submitted by the beneficiary for reimbursement of expenses incurred. Central government heal th scheme. (to be filled up by the principal card holder in block. E principal cghs card holder3. Obtain break up of. Medical Claim Form Cghs Pdf.
From www.scribd.com
CGHSClaimForm062138a53949d1001714997 PDF Medical Claim Form Cghs Pdf E principal cghs card holder3. Obtain break up of investigations from the hospital/diagnostic center/imaging center (details and rates of individual tests and the exact. Name & address of the hospital i diagnostic. Cghs medical reimbursement claim form (for serving employees) javascript is a standard programming language that is included to. Medical reimbursement claim (mrc) will have to be submitted by. Medical Claim Form Cghs Pdf.
From www.uslegalforms.com
Revision Of Medical Reimbursement Claim Form For CGHS Fill and Medical Claim Form Cghs Pdf Cghs medical reimbursement claim form (for serving employees) javascript is a standard programming language that is included to. Medical reimbursement claim (mrc) will have to be submitted by the beneficiary for reimbursement of expenses incurred. Obtain break up of investigations from the hospital/diagnostic center/imaging center (details and rates of individual tests and the exact. (to be filled up by the. Medical Claim Form Cghs Pdf.
From www.scribd.com
NIC Blank Form (Medical Claim Form For CGHS Beneficiaries) PDF Medical Claim Form Cghs Pdf Medical reimbursement claim (mrc) will have to be submitted by the beneficiary for reimbursement of expenses incurred. Obtain break up of investigations from the hospital/diagnostic center/imaging center (details and rates of individual tests and the exact. (to be filled up by the principal card holder in block. Name & address of the hospital i diagnostic. Central government heal th scheme.. Medical Claim Form Cghs Pdf.
From www.sampleforms.com
FREE 41+ Printable Medical Forms in PDF Excel MS Word Medical Claim Form Cghs Pdf E principal cghs card holder3. Name & address of the hospital i diagnostic. Cghs medical reimbursement claim form (for serving employees) javascript is a standard programming language that is included to. Medical reimbursement claim (mrc) will have to be submitted by the beneficiary for reimbursement of expenses incurred. (to be filled up by the principal card holder in block. Obtain. Medical Claim Form Cghs Pdf.
From printableformsfree.com
Nyship Mental Health Claim Form Fillable Printable Forms Free Online Medical Claim Form Cghs Pdf Central government heal th scheme. (to be filled up by the principal card holder in block. Cghs medical reimbursement claim form (for serving employees) javascript is a standard programming language that is included to. Obtain break up of investigations from the hospital/diagnostic center/imaging center (details and rates of individual tests and the exact. E principal cghs card holder3. Medical reimbursement. Medical Claim Form Cghs Pdf.
From www.dopadda.in
CGHS Medical Reimbursement Claim Form DOP Adda Medical Claim Form Cghs Pdf (to be filled up by the principal card holder in block. E principal cghs card holder3. Name & address of the hospital i diagnostic. Obtain break up of investigations from the hospital/diagnostic center/imaging center (details and rates of individual tests and the exact. Cghs medical reimbursement claim form (for serving employees) javascript is a standard programming language that is included. Medical Claim Form Cghs Pdf.
From www.scribd.com
Cghs Form New PDF Identity Document Service Industries Medical Claim Form Cghs Pdf Medical reimbursement claim (mrc) will have to be submitted by the beneficiary for reimbursement of expenses incurred. Central government heal th scheme. E principal cghs card holder3. (to be filled up by the principal card holder in block. Cghs medical reimbursement claim form (for serving employees) javascript is a standard programming language that is included to. Name & address of. Medical Claim Form Cghs Pdf.
From www.pdffiller.com
CGHS Claim Doc Template pdfFiller Medical Claim Form Cghs Pdf Central government heal th scheme. Obtain break up of investigations from the hospital/diagnostic center/imaging center (details and rates of individual tests and the exact. E principal cghs card holder3. Name & address of the hospital i diagnostic. Cghs medical reimbursement claim form (for serving employees) javascript is a standard programming language that is included to. Medical reimbursement claim (mrc) will. Medical Claim Form Cghs Pdf.
From www.pdffiller.com
Fillable Online CGHS reimbursement forms.pdf Fax Email Print pdfFiller Medical Claim Form Cghs Pdf Name & address of the hospital i diagnostic. Central government heal th scheme. (to be filled up by the principal card holder in block. Obtain break up of investigations from the hospital/diagnostic center/imaging center (details and rates of individual tests and the exact. Cghs medical reimbursement claim form (for serving employees) javascript is a standard programming language that is included. Medical Claim Form Cghs Pdf.
From www.pdffiller.com
Fillable Online CGHS Medical Reimbursement Claim Form (for serving Medical Claim Form Cghs Pdf Central government heal th scheme. Name & address of the hospital i diagnostic. Obtain break up of investigations from the hospital/diagnostic center/imaging center (details and rates of individual tests and the exact. (to be filled up by the principal card holder in block. E principal cghs card holder3. Medical reimbursement claim (mrc) will have to be submitted by the beneficiary. Medical Claim Form Cghs Pdf.
From exoizfati.blob.core.windows.net
Cghs Claim Form For Retired Employees at Maurice Davis blog Medical Claim Form Cghs Pdf E principal cghs card holder3. (to be filled up by the principal card holder in block. Cghs medical reimbursement claim form (for serving employees) javascript is a standard programming language that is included to. Medical reimbursement claim (mrc) will have to be submitted by the beneficiary for reimbursement of expenses incurred. Obtain break up of investigations from the hospital/diagnostic center/imaging. Medical Claim Form Cghs Pdf.
From www.sampleforms.com
FREE 44+ Medical Forms in PDF Medical Claim Form Cghs Pdf Obtain break up of investigations from the hospital/diagnostic center/imaging center (details and rates of individual tests and the exact. Name & address of the hospital i diagnostic. Central government heal th scheme. Medical reimbursement claim (mrc) will have to be submitted by the beneficiary for reimbursement of expenses incurred. E principal cghs card holder3. (to be filled up by the. Medical Claim Form Cghs Pdf.
From www.planforms.net
FREE 14 Employee Medical Reimbursement Forms In PDF Medical Claim Form Cghs Pdf Obtain break up of investigations from the hospital/diagnostic center/imaging center (details and rates of individual tests and the exact. Name & address of the hospital i diagnostic. E principal cghs card holder3. Cghs medical reimbursement claim form (for serving employees) javascript is a standard programming language that is included to. Medical reimbursement claim (mrc) will have to be submitted by. Medical Claim Form Cghs Pdf.
From www.staffnews.in
Revised form for availing Fixed Medical Allowance to CG Civil Medical Claim Form Cghs Pdf Obtain break up of investigations from the hospital/diagnostic center/imaging center (details and rates of individual tests and the exact. Medical reimbursement claim (mrc) will have to be submitted by the beneficiary for reimbursement of expenses incurred. (to be filled up by the principal card holder in block. E principal cghs card holder3. Cghs medical reimbursement claim form (for serving employees). Medical Claim Form Cghs Pdf.
From hxelxzcgg.blob.core.windows.net
Medical Claim Form Cghs at Joel Head blog Medical Claim Form Cghs Pdf E principal cghs card holder3. (to be filled up by the principal card holder in block. Central government heal th scheme. Medical reimbursement claim (mrc) will have to be submitted by the beneficiary for reimbursement of expenses incurred. Name & address of the hospital i diagnostic. Cghs medical reimbursement claim form (for serving employees) javascript is a standard programming language. Medical Claim Form Cghs Pdf.
From www.employementform.com
Cghs Application Form For Retired Employees Employment Form Medical Claim Form Cghs Pdf Central government heal th scheme. Name & address of the hospital i diagnostic. E principal cghs card holder3. Cghs medical reimbursement claim form (for serving employees) javascript is a standard programming language that is included to. Medical reimbursement claim (mrc) will have to be submitted by the beneficiary for reimbursement of expenses incurred. (to be filled up by the principal. Medical Claim Form Cghs Pdf.
From www.sampleforms.com
FREE 12+ Sample Medical Reimbursement Forms in PDF Excel Word Medical Claim Form Cghs Pdf Name & address of the hospital i diagnostic. Medical reimbursement claim (mrc) will have to be submitted by the beneficiary for reimbursement of expenses incurred. (to be filled up by the principal card holder in block. E principal cghs card holder3. Cghs medical reimbursement claim form (for serving employees) javascript is a standard programming language that is included to. Central. Medical Claim Form Cghs Pdf.
From www.pdffiller.com
Fillable Online Cghs medical reimbursement form pdf. Cghs medical Medical Claim Form Cghs Pdf E principal cghs card holder3. (to be filled up by the principal card holder in block. Cghs medical reimbursement claim form (for serving employees) javascript is a standard programming language that is included to. Medical reimbursement claim (mrc) will have to be submitted by the beneficiary for reimbursement of expenses incurred. Name & address of the hospital i diagnostic. Obtain. Medical Claim Form Cghs Pdf.