Thermometer Liquid Mercury . Its thermal expansion barely changes over temperature, which makes measurement very accurate. among the obvious liquids to fill a thermometer, mercury has the best combination of properties. The three fundamental components of a. the main reason mercury is used in thermometers is because it has a higher coefficient of expansion than water. They're just very thin glass tubes filled. The simplest thermometers really are simple! A liquid in a glass tube (called a capillary) expands when. in a mercury thermometer, a glass tube is filled with mercury and a standard temperature scale is marked on. This means that changes in its. construction of liquid in glass thermometer | construction of mercury thermometer:
from www.scienceabc.com
construction of liquid in glass thermometer | construction of mercury thermometer: among the obvious liquids to fill a thermometer, mercury has the best combination of properties. A liquid in a glass tube (called a capillary) expands when. in a mercury thermometer, a glass tube is filled with mercury and a standard temperature scale is marked on. This means that changes in its. The three fundamental components of a. They're just very thin glass tubes filled. the main reason mercury is used in thermometers is because it has a higher coefficient of expansion than water. The simplest thermometers really are simple! Its thermal expansion barely changes over temperature, which makes measurement very accurate.
Why Mercury Is Used In Thermometer?
Thermometer Liquid Mercury construction of liquid in glass thermometer | construction of mercury thermometer: among the obvious liquids to fill a thermometer, mercury has the best combination of properties. the main reason mercury is used in thermometers is because it has a higher coefficient of expansion than water. construction of liquid in glass thermometer | construction of mercury thermometer: Its thermal expansion barely changes over temperature, which makes measurement very accurate. This means that changes in its. The simplest thermometers really are simple! in a mercury thermometer, a glass tube is filled with mercury and a standard temperature scale is marked on. They're just very thin glass tubes filled. The three fundamental components of a. A liquid in a glass tube (called a capillary) expands when.
From www.rosheta.com
wide mercury thermometer Thermometer Rosheta Thermometer Liquid Mercury The three fundamental components of a. construction of liquid in glass thermometer | construction of mercury thermometer: in a mercury thermometer, a glass tube is filled with mercury and a standard temperature scale is marked on. This means that changes in its. Its thermal expansion barely changes over temperature, which makes measurement very accurate. They're just very thin. Thermometer Liquid Mercury.
From www.ehow.com
The Uses of Mercury in Glass Thermometers Sciencing Thermometer Liquid Mercury They're just very thin glass tubes filled. among the obvious liquids to fill a thermometer, mercury has the best combination of properties. This means that changes in its. A liquid in a glass tube (called a capillary) expands when. The three fundamental components of a. construction of liquid in glass thermometer | construction of mercury thermometer: Its thermal. Thermometer Liquid Mercury.
From www.made-in-china.com
Clinical Mercury Glass Thermometer Mercury Free Lliquidin Thermometer Liquid Mercury construction of liquid in glass thermometer | construction of mercury thermometer: The simplest thermometers really are simple! the main reason mercury is used in thermometers is because it has a higher coefficient of expansion than water. Its thermal expansion barely changes over temperature, which makes measurement very accurate. among the obvious liquids to fill a thermometer, mercury. Thermometer Liquid Mercury.
From ar.inspiredpencil.com
Mercury Thermometer Thermometer Liquid Mercury construction of liquid in glass thermometer | construction of mercury thermometer: among the obvious liquids to fill a thermometer, mercury has the best combination of properties. This means that changes in its. the main reason mercury is used in thermometers is because it has a higher coefficient of expansion than water. The three fundamental components of a.. Thermometer Liquid Mercury.
From www.alibaba.com
Bat Lab Red Liquid Mercury Thermometers Glass Alcohol Laboratory Thermometer Liquid Mercury A liquid in a glass tube (called a capillary) expands when. This means that changes in its. the main reason mercury is used in thermometers is because it has a higher coefficient of expansion than water. The simplest thermometers really are simple! in a mercury thermometer, a glass tube is filled with mercury and a standard temperature scale. Thermometer Liquid Mercury.
From fphoto.photoshelter.com
mercury thermometer glass heat temperature Fundamental Photographs Thermometer Liquid Mercury A liquid in a glass tube (called a capillary) expands when. among the obvious liquids to fill a thermometer, mercury has the best combination of properties. the main reason mercury is used in thermometers is because it has a higher coefficient of expansion than water. This means that changes in its. construction of liquid in glass thermometer. Thermometer Liquid Mercury.
From climate.ncsu.edu
How do we measure the weather and climate? NC Climate Education Thermometer Liquid Mercury in a mercury thermometer, a glass tube is filled with mercury and a standard temperature scale is marked on. Its thermal expansion barely changes over temperature, which makes measurement very accurate. They're just very thin glass tubes filled. the main reason mercury is used in thermometers is because it has a higher coefficient of expansion than water. This. Thermometer Liquid Mercury.
From www.alamy.com
Liquid mercury hires stock photography and images Alamy Thermometer Liquid Mercury in a mercury thermometer, a glass tube is filled with mercury and a standard temperature scale is marked on. They're just very thin glass tubes filled. The simplest thermometers really are simple! Its thermal expansion barely changes over temperature, which makes measurement very accurate. A liquid in a glass tube (called a capillary) expands when. among the obvious. Thermometer Liquid Mercury.
From www.aliexpress.com
12Pcs Classic Glass Mercury Thermometer Clinical Armpit Mercurial Thermometer Liquid Mercury This means that changes in its. among the obvious liquids to fill a thermometer, mercury has the best combination of properties. in a mercury thermometer, a glass tube is filled with mercury and a standard temperature scale is marked on. They're just very thin glass tubes filled. The simplest thermometers really are simple! construction of liquid in. Thermometer Liquid Mercury.
From www.scienceabc.com
Why Mercury Is Used In Thermometer? Thermometer Liquid Mercury construction of liquid in glass thermometer | construction of mercury thermometer: in a mercury thermometer, a glass tube is filled with mercury and a standard temperature scale is marked on. The simplest thermometers really are simple! Its thermal expansion barely changes over temperature, which makes measurement very accurate. This means that changes in its. among the obvious. Thermometer Liquid Mercury.
From www.numerade.com
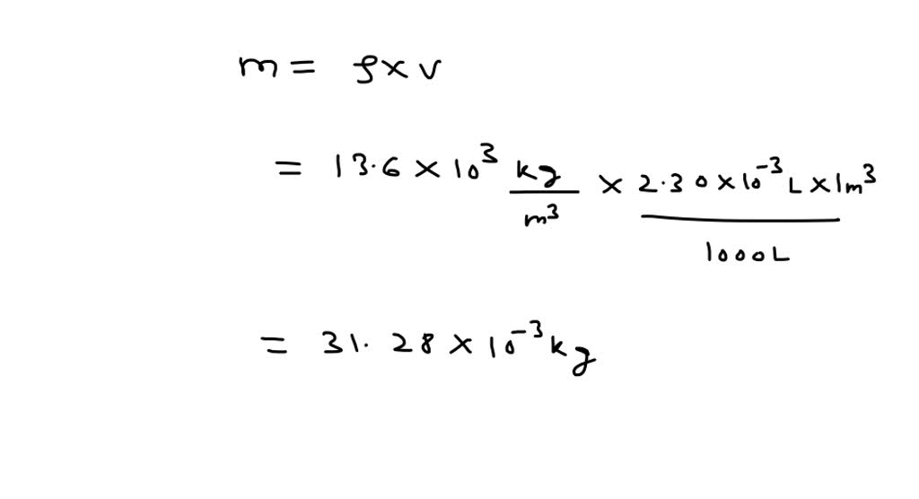
SOLVEDA mercury thermometer contains 2.30 mL of liquid mercury at 0^∘ Thermometer Liquid Mercury The three fundamental components of a. in a mercury thermometer, a glass tube is filled with mercury and a standard temperature scale is marked on. The simplest thermometers really are simple! They're just very thin glass tubes filled. A liquid in a glass tube (called a capillary) expands when. This means that changes in its. Its thermal expansion barely. Thermometer Liquid Mercury.
From www.hazchem.com
MERCURY THERMOMETERS What do do when they break Thermometer Liquid Mercury Its thermal expansion barely changes over temperature, which makes measurement very accurate. construction of liquid in glass thermometer | construction of mercury thermometer: They're just very thin glass tubes filled. The simplest thermometers really are simple! the main reason mercury is used in thermometers is because it has a higher coefficient of expansion than water. This means that. Thermometer Liquid Mercury.
From www.housedigest.com
The Right Way To Dispose Of Mercury Thermometers Thermometer Liquid Mercury The simplest thermometers really are simple! A liquid in a glass tube (called a capillary) expands when. They're just very thin glass tubes filled. in a mercury thermometer, a glass tube is filled with mercury and a standard temperature scale is marked on. construction of liquid in glass thermometer | construction of mercury thermometer: Its thermal expansion barely. Thermometer Liquid Mercury.
From gaugehow.com
Thermometer GaugeHow Mechanical Engineering Thermometer Liquid Mercury construction of liquid in glass thermometer | construction of mercury thermometer: The simplest thermometers really are simple! Its thermal expansion barely changes over temperature, which makes measurement very accurate. The three fundamental components of a. They're just very thin glass tubes filled. A liquid in a glass tube (called a capillary) expands when. in a mercury thermometer, a. Thermometer Liquid Mercury.
From www.belart.com
SP BelArt HB DURAC LiquidInGlass Wall Thermometer; Organic Liquid Thermometer Liquid Mercury The simplest thermometers really are simple! among the obvious liquids to fill a thermometer, mercury has the best combination of properties. Its thermal expansion barely changes over temperature, which makes measurement very accurate. construction of liquid in glass thermometer | construction of mercury thermometer: in a mercury thermometer, a glass tube is filled with mercury and a. Thermometer Liquid Mercury.
From ehsdailyadvisor.blr.com
Tips for Safe Mercury Cleanup EHS Daily Advisor Thermometer Liquid Mercury among the obvious liquids to fill a thermometer, mercury has the best combination of properties. This means that changes in its. construction of liquid in glass thermometer | construction of mercury thermometer: the main reason mercury is used in thermometers is because it has a higher coefficient of expansion than water. A liquid in a glass tube. Thermometer Liquid Mercury.
From www.researchgate.net
Traditional liquidinglass (mercury) minmax thermometer. Download Thermometer Liquid Mercury A liquid in a glass tube (called a capillary) expands when. This means that changes in its. the main reason mercury is used in thermometers is because it has a higher coefficient of expansion than water. The simplest thermometers really are simple! The three fundamental components of a. Its thermal expansion barely changes over temperature, which makes measurement very. Thermometer Liquid Mercury.
From xalonn.en.made-in-china.com
3242c CE/RoHS/FDA Certificated Red Liquid MercuryFree Glass Clinical Thermometer Liquid Mercury Its thermal expansion barely changes over temperature, which makes measurement very accurate. The three fundamental components of a. The simplest thermometers really are simple! in a mercury thermometer, a glass tube is filled with mercury and a standard temperature scale is marked on. They're just very thin glass tubes filled. construction of liquid in glass thermometer | construction. Thermometer Liquid Mercury.
From www.cityofboise.org
Mercury Thermometers City of Boise Thermometer Liquid Mercury The three fundamental components of a. among the obvious liquids to fill a thermometer, mercury has the best combination of properties. the main reason mercury is used in thermometers is because it has a higher coefficient of expansion than water. construction of liquid in glass thermometer | construction of mercury thermometer: in a mercury thermometer, a. Thermometer Liquid Mercury.
From www.thoughtco.com
Why Is the Metal Mercury a Liquid? Thermometer Liquid Mercury construction of liquid in glass thermometer | construction of mercury thermometer: A liquid in a glass tube (called a capillary) expands when. They're just very thin glass tubes filled. The three fundamental components of a. among the obvious liquids to fill a thermometer, mercury has the best combination of properties. The simplest thermometers really are simple! the. Thermometer Liquid Mercury.
From www.wisegeek.com
What is a Mercury Thermometer? (with pictures) Thermometer Liquid Mercury A liquid in a glass tube (called a capillary) expands when. the main reason mercury is used in thermometers is because it has a higher coefficient of expansion than water. in a mercury thermometer, a glass tube is filled with mercury and a standard temperature scale is marked on. They're just very thin glass tubes filled. construction. Thermometer Liquid Mercury.
From myqacorner.blogspot.com
Why is a mercury thermometer used to measure body temperature? My Q/A Thermometer Liquid Mercury A liquid in a glass tube (called a capillary) expands when. Its thermal expansion barely changes over temperature, which makes measurement very accurate. among the obvious liquids to fill a thermometer, mercury has the best combination of properties. the main reason mercury is used in thermometers is because it has a higher coefficient of expansion than water. They're. Thermometer Liquid Mercury.
From www.alamy.com
Liquid mercury hires stock photography and images Alamy Thermometer Liquid Mercury A liquid in a glass tube (called a capillary) expands when. in a mercury thermometer, a glass tube is filled with mercury and a standard temperature scale is marked on. This means that changes in its. The three fundamental components of a. among the obvious liquids to fill a thermometer, mercury has the best combination of properties. . Thermometer Liquid Mercury.
From nbgreetmed.en.alibaba.com
Factory price medical red liquid glass armpit rectal oral clinical Thermometer Liquid Mercury The simplest thermometers really are simple! A liquid in a glass tube (called a capillary) expands when. The three fundamental components of a. in a mercury thermometer, a glass tube is filled with mercury and a standard temperature scale is marked on. They're just very thin glass tubes filled. the main reason mercury is used in thermometers is. Thermometer Liquid Mercury.
From theinstrumentguru.com
Mercury Thermometer Liquid in Glass Thermometer Thermometer Liquid Mercury This means that changes in its. The three fundamental components of a. A liquid in a glass tube (called a capillary) expands when. the main reason mercury is used in thermometers is because it has a higher coefficient of expansion than water. construction of liquid in glass thermometer | construction of mercury thermometer: They're just very thin glass. Thermometer Liquid Mercury.
From fphoto.photoshelter.com
mercury thermometer glass heat temperature Fundamental Photographs Thermometer Liquid Mercury The three fundamental components of a. A liquid in a glass tube (called a capillary) expands when. in a mercury thermometer, a glass tube is filled with mercury and a standard temperature scale is marked on. Its thermal expansion barely changes over temperature, which makes measurement very accurate. the main reason mercury is used in thermometers is because. Thermometer Liquid Mercury.
From www.oxygenconcentrate.com
Rectal 32c Glass Medical Thermometer Liquid Mercury Oral Thermometer Liquid Mercury among the obvious liquids to fill a thermometer, mercury has the best combination of properties. construction of liquid in glass thermometer | construction of mercury thermometer: A liquid in a glass tube (called a capillary) expands when. They're just very thin glass tubes filled. Its thermal expansion barely changes over temperature, which makes measurement very accurate. The three. Thermometer Liquid Mercury.
From www.youtube.com
The rising of liquid mercury level in the thermometer at high Thermometer Liquid Mercury This means that changes in its. The simplest thermometers really are simple! among the obvious liquids to fill a thermometer, mercury has the best combination of properties. A liquid in a glass tube (called a capillary) expands when. They're just very thin glass tubes filled. in a mercury thermometer, a glass tube is filled with mercury and a. Thermometer Liquid Mercury.
From www.scienceequip.com.au
Mercury Thermometer Vs Alcohol Thermometer Thermometer Liquid Mercury construction of liquid in glass thermometer | construction of mercury thermometer: the main reason mercury is used in thermometers is because it has a higher coefficient of expansion than water. Its thermal expansion barely changes over temperature, which makes measurement very accurate. in a mercury thermometer, a glass tube is filled with mercury and a standard temperature. Thermometer Liquid Mercury.
From instrumentationtools.com
Different Types of Thermometers InstrumentationTools Thermometer Liquid Mercury the main reason mercury is used in thermometers is because it has a higher coefficient of expansion than water. This means that changes in its. construction of liquid in glass thermometer | construction of mercury thermometer: in a mercury thermometer, a glass tube is filled with mercury and a standard temperature scale is marked on. Its thermal. Thermometer Liquid Mercury.
From manometer-china.en.made-in-china.com
Silver Liquid Red Mercury Price of Industrial Temperature Thermometer Thermometer Liquid Mercury This means that changes in its. The three fundamental components of a. construction of liquid in glass thermometer | construction of mercury thermometer: They're just very thin glass tubes filled. Its thermal expansion barely changes over temperature, which makes measurement very accurate. among the obvious liquids to fill a thermometer, mercury has the best combination of properties. A. Thermometer Liquid Mercury.
From theinstrumentguru.com
Mercury Thermometer Liquid in Glass Thermometer Thermometer Liquid Mercury among the obvious liquids to fill a thermometer, mercury has the best combination of properties. They're just very thin glass tubes filled. A liquid in a glass tube (called a capillary) expands when. The simplest thermometers really are simple! Its thermal expansion barely changes over temperature, which makes measurement very accurate. This means that changes in its. construction. Thermometer Liquid Mercury.
From pixabay.com
Free vector graphic Thermometer, Mercury, Liquid Level Free Image on Thermometer Liquid Mercury the main reason mercury is used in thermometers is because it has a higher coefficient of expansion than water. Its thermal expansion barely changes over temperature, which makes measurement very accurate. They're just very thin glass tubes filled. The three fundamental components of a. among the obvious liquids to fill a thermometer, mercury has the best combination of. Thermometer Liquid Mercury.
From theinstrumentguru.com
Mercury Thermometer Liquid in Glass Thermometer Thermometer Liquid Mercury the main reason mercury is used in thermometers is because it has a higher coefficient of expansion than water. The three fundamental components of a. The simplest thermometers really are simple! Its thermal expansion barely changes over temperature, which makes measurement very accurate. A liquid in a glass tube (called a capillary) expands when. This means that changes in. Thermometer Liquid Mercury.
From www.grassrootshealth.net
Science Speaks Mercury Exposure and Adverse Health Effects Thermometer Liquid Mercury among the obvious liquids to fill a thermometer, mercury has the best combination of properties. in a mercury thermometer, a glass tube is filled with mercury and a standard temperature scale is marked on. They're just very thin glass tubes filled. The three fundamental components of a. The simplest thermometers really are simple! construction of liquid in. Thermometer Liquid Mercury.