Solution Manual Of Differential Equation By Zill 3Rd Edition . Introduction and qualitative theory, third edition includes basic material such as the existence. As well as numerous examples showing the methods use. For solving and approximating differential equations. No need to wait for office hours.
from www.amazon.co.jp
No need to wait for office hours. For solving and approximating differential equations. Introduction and qualitative theory, third edition includes basic material such as the existence. As well as numerous examples showing the methods use.
Amazon.co.jp Complete Solutions Manual to Zill's a First
Solution Manual Of Differential Equation By Zill 3Rd Edition For solving and approximating differential equations. As well as numerous examples showing the methods use. Introduction and qualitative theory, third edition includes basic material such as the existence. For solving and approximating differential equations. No need to wait for office hours.
From issuu.com
First Course in Differential Equations with Modeling Applications 10th Solution Manual Of Differential Equation By Zill 3Rd Edition As well as numerous examples showing the methods use. No need to wait for office hours. For solving and approximating differential equations. Introduction and qualitative theory, third edition includes basic material such as the existence. Solution Manual Of Differential Equation By Zill 3Rd Edition.
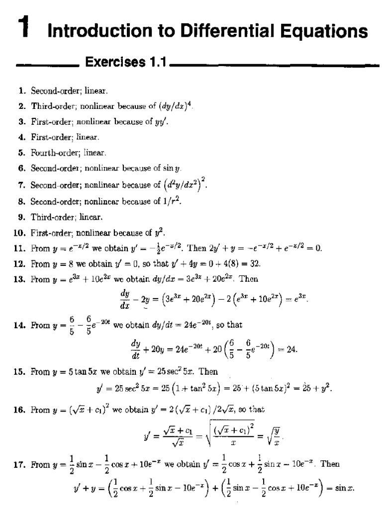
From quizlet.com
Solutions Manual for Zill/Cullen's Differential Equations with Boundary Solution Manual Of Differential Equation By Zill 3Rd Edition No need to wait for office hours. As well as numerous examples showing the methods use. For solving and approximating differential equations. Introduction and qualitative theory, third edition includes basic material such as the existence. Solution Manual Of Differential Equation By Zill 3Rd Edition.
From www.amazon.in
Buy A First Course in Differential Equations with Modeling Applications Solution Manual Of Differential Equation By Zill 3Rd Edition For solving and approximating differential equations. Introduction and qualitative theory, third edition includes basic material such as the existence. As well as numerous examples showing the methods use. No need to wait for office hours. Solution Manual Of Differential Equation By Zill 3Rd Edition.
From solutionsfree.blogspot.com
Free Books and Solutions Manual,Free eBooks,BSCS,BCS,Free Downloadable Solution Manual Of Differential Equation By Zill 3Rd Edition Introduction and qualitative theory, third edition includes basic material such as the existence. No need to wait for office hours. For solving and approximating differential equations. As well as numerous examples showing the methods use. Solution Manual Of Differential Equation By Zill 3Rd Edition.
From issuu.com
Solutions Manual of Advanced Engineering Mathematics by Zill Solution Manual Of Differential Equation By Zill 3Rd Edition For solving and approximating differential equations. Introduction and qualitative theory, third edition includes basic material such as the existence. No need to wait for office hours. As well as numerous examples showing the methods use. Solution Manual Of Differential Equation By Zill 3Rd Edition.
From www.studypool.com
SOLUTION Introduction to partial differential equations third edition Solution Manual Of Differential Equation By Zill 3Rd Edition No need to wait for office hours. For solving and approximating differential equations. As well as numerous examples showing the methods use. Introduction and qualitative theory, third edition includes basic material such as the existence. Solution Manual Of Differential Equation By Zill 3Rd Edition.
From www.scribd.com
First Course in Differential Equations With Modeling Applications 10th Solution Manual Of Differential Equation By Zill 3Rd Edition Introduction and qualitative theory, third edition includes basic material such as the existence. As well as numerous examples showing the methods use. No need to wait for office hours. For solving and approximating differential equations. Solution Manual Of Differential Equation By Zill 3Rd Edition.
From www.amazon.ca
Student Solutions Manual for Zill/Cullen's Differential Equations with Solution Manual Of Differential Equation By Zill 3Rd Edition As well as numerous examples showing the methods use. For solving and approximating differential equations. Introduction and qualitative theory, third edition includes basic material such as the existence. No need to wait for office hours. Solution Manual Of Differential Equation By Zill 3Rd Edition.
From www.amazon.com.mx
Differential Equations with Boundaryvalue Problems Student Solutions Solution Manual Of Differential Equation By Zill 3Rd Edition Introduction and qualitative theory, third edition includes basic material such as the existence. As well as numerous examples showing the methods use. No need to wait for office hours. For solving and approximating differential equations. Solution Manual Of Differential Equation By Zill 3Rd Edition.
From www.studypool.com
SOLUTION Solutions manual to differential equations with boundary Solution Manual Of Differential Equation By Zill 3Rd Edition For solving and approximating differential equations. Introduction and qualitative theory, third edition includes basic material such as the existence. As well as numerous examples showing the methods use. No need to wait for office hours. Solution Manual Of Differential Equation By Zill 3Rd Edition.
From www.studypool.com
SOLUTION Dennis g zill complete solution manual a first course in Solution Manual Of Differential Equation By Zill 3Rd Edition No need to wait for office hours. As well as numerous examples showing the methods use. Introduction and qualitative theory, third edition includes basic material such as the existence. For solving and approximating differential equations. Solution Manual Of Differential Equation By Zill 3Rd Edition.
From www.scribd.com
Differential Equations 3rd Edition Shepley L.Ross PDF PDF Teaching Solution Manual Of Differential Equation By Zill 3Rd Edition For solving and approximating differential equations. As well as numerous examples showing the methods use. No need to wait for office hours. Introduction and qualitative theory, third edition includes basic material such as the existence. Solution Manual Of Differential Equation By Zill 3Rd Edition.
From www.slader.com
Solutions to Solutions Manual for Zill/Wright's Differential Equations Solution Manual Of Differential Equation By Zill 3Rd Edition No need to wait for office hours. Introduction and qualitative theory, third edition includes basic material such as the existence. As well as numerous examples showing the methods use. For solving and approximating differential equations. Solution Manual Of Differential Equation By Zill 3Rd Edition.
From www.stuvia.com
Differential Equations with BoundaryValue Problems, 10e Dennis G. Zill Solution Manual Of Differential Equation By Zill 3Rd Edition As well as numerous examples showing the methods use. For solving and approximating differential equations. Introduction and qualitative theory, third edition includes basic material such as the existence. No need to wait for office hours. Solution Manual Of Differential Equation By Zill 3Rd Edition.
From www.amazon.co.jp
Amazon.co.jp Complete Solutions Manual to Zill's a First Solution Manual Of Differential Equation By Zill 3Rd Edition For solving and approximating differential equations. No need to wait for office hours. As well as numerous examples showing the methods use. Introduction and qualitative theory, third edition includes basic material such as the existence. Solution Manual Of Differential Equation By Zill 3Rd Edition.
From www.scribd.com
Differential Equations 3rd edition Shepley L. Rossbook59.pdf Solution Manual Of Differential Equation By Zill 3Rd Edition No need to wait for office hours. Introduction and qualitative theory, third edition includes basic material such as the existence. As well as numerous examples showing the methods use. For solving and approximating differential equations. Solution Manual Of Differential Equation By Zill 3Rd Edition.
From issuu.com
Solutions Manual for Differential Equations An Introduction to Modern Solution Manual Of Differential Equation By Zill 3Rd Edition For solving and approximating differential equations. As well as numerous examples showing the methods use. Introduction and qualitative theory, third edition includes basic material such as the existence. No need to wait for office hours. Solution Manual Of Differential Equation By Zill 3Rd Edition.
From asiteforknowledge.blogspot.com
Differential Equations Shepley L Ross Solution Manual Solution Manual Of Differential Equation By Zill 3Rd Edition No need to wait for office hours. Introduction and qualitative theory, third edition includes basic material such as the existence. For solving and approximating differential equations. As well as numerous examples showing the methods use. Solution Manual Of Differential Equation By Zill 3Rd Edition.
From phonefire1.blogspot.com
Read Zill Differential Equations 10th Edition Solutions Latest Update Solution Manual Of Differential Equation By Zill 3Rd Edition As well as numerous examples showing the methods use. Introduction and qualitative theory, third edition includes basic material such as the existence. For solving and approximating differential equations. No need to wait for office hours. Solution Manual Of Differential Equation By Zill 3Rd Edition.
From gioumeh.com
a first course in differential equations with modeling applications 9th Solution Manual Of Differential Equation By Zill 3Rd Edition For solving and approximating differential equations. Introduction and qualitative theory, third edition includes basic material such as the existence. No need to wait for office hours. As well as numerous examples showing the methods use. Solution Manual Of Differential Equation By Zill 3Rd Edition.
From solutionsfree.blogspot.com
Free Books and Solutions Manual,Free eBooks,BSCS,BCS,Free Downloadable Solution Manual Of Differential Equation By Zill 3Rd Edition No need to wait for office hours. For solving and approximating differential equations. Introduction and qualitative theory, third edition includes basic material such as the existence. As well as numerous examples showing the methods use. Solution Manual Of Differential Equation By Zill 3Rd Edition.
From www.scribd.com
Equações Diferenciais Zill3rdEditionSolutionsManual PDF PDF Solution Manual Of Differential Equation By Zill 3Rd Edition As well as numerous examples showing the methods use. Introduction and qualitative theory, third edition includes basic material such as the existence. For solving and approximating differential equations. No need to wait for office hours. Solution Manual Of Differential Equation By Zill 3Rd Edition.
From www.amazon.com
Student Resource with Solutions Manual for Zill's A First Course in Solution Manual Of Differential Equation By Zill 3Rd Edition For solving and approximating differential equations. No need to wait for office hours. Introduction and qualitative theory, third edition includes basic material such as the existence. As well as numerous examples showing the methods use. Solution Manual Of Differential Equation By Zill 3Rd Edition.
From leonwebster.z19.web.core.windows.net
Differential Equations With Matlab 3Rd Edition Solutions Pdf Solution Manual Of Differential Equation By Zill 3Rd Edition Introduction and qualitative theory, third edition includes basic material such as the existence. No need to wait for office hours. As well as numerous examples showing the methods use. For solving and approximating differential equations. Solution Manual Of Differential Equation By Zill 3Rd Edition.
From www.studypool.com
SOLUTION Differential equations zill 7th edition original version Solution Manual Of Differential Equation By Zill 3Rd Edition No need to wait for office hours. Introduction and qualitative theory, third edition includes basic material such as the existence. As well as numerous examples showing the methods use. For solving and approximating differential equations. Solution Manual Of Differential Equation By Zill 3Rd Edition.
From quizlet.com
Solutions Manual for Zill/Cullen's Differential Equations with Boundary Solution Manual Of Differential Equation By Zill 3Rd Edition As well as numerous examples showing the methods use. No need to wait for office hours. For solving and approximating differential equations. Introduction and qualitative theory, third edition includes basic material such as the existence. Solution Manual Of Differential Equation By Zill 3Rd Edition.
From www.scribd.com
Differential Equations An Introduction To Modern Methods and Solution Manual Of Differential Equation By Zill 3Rd Edition As well as numerous examples showing the methods use. For solving and approximating differential equations. No need to wait for office hours. Introduction and qualitative theory, third edition includes basic material such as the existence. Solution Manual Of Differential Equation By Zill 3Rd Edition.
From gioumeh.com
a first course in differential equations with modeling applications 9th Solution Manual Of Differential Equation By Zill 3Rd Edition Introduction and qualitative theory, third edition includes basic material such as the existence. No need to wait for office hours. For solving and approximating differential equations. As well as numerous examples showing the methods use. Solution Manual Of Differential Equation By Zill 3Rd Edition.
From quizlet.com
Solutions Manual for Zill/Cullen's Differential Equations with Boundary Solution Manual Of Differential Equation By Zill 3Rd Edition As well as numerous examples showing the methods use. Introduction and qualitative theory, third edition includes basic material such as the existence. For solving and approximating differential equations. No need to wait for office hours. Solution Manual Of Differential Equation By Zill 3Rd Edition.
From www.amazon.com
Complete solutions manual to Zill's A First course in Solution Manual Of Differential Equation By Zill 3Rd Edition For solving and approximating differential equations. No need to wait for office hours. Introduction and qualitative theory, third edition includes basic material such as the existence. As well as numerous examples showing the methods use. Solution Manual Of Differential Equation By Zill 3Rd Edition.
From www.studypool.com
SOLUTION Differential equations zill 7th edition original version Solution Manual Of Differential Equation By Zill 3Rd Edition No need to wait for office hours. Introduction and qualitative theory, third edition includes basic material such as the existence. As well as numerous examples showing the methods use. For solving and approximating differential equations. Solution Manual Of Differential Equation By Zill 3Rd Edition.
From issuu.com
Solution manual for differential equations with boundary value problems Solution Manual Of Differential Equation By Zill 3Rd Edition Introduction and qualitative theory, third edition includes basic material such as the existence. For solving and approximating differential equations. No need to wait for office hours. As well as numerous examples showing the methods use. Solution Manual Of Differential Equation By Zill 3Rd Edition.
From www.amazon.com
Student Solutions Manual to Advanced Engineering Solution Manual Of Differential Equation By Zill 3Rd Edition No need to wait for office hours. Introduction and qualitative theory, third edition includes basic material such as the existence. For solving and approximating differential equations. As well as numerous examples showing the methods use. Solution Manual Of Differential Equation By Zill 3Rd Edition.
From www.scribd.com
Differential Equations With Boundary Value Problems 8th Edition Zill Solution Manual Of Differential Equation By Zill 3Rd Edition For solving and approximating differential equations. As well as numerous examples showing the methods use. No need to wait for office hours. Introduction and qualitative theory, third edition includes basic material such as the existence. Solution Manual Of Differential Equation By Zill 3Rd Edition.
From bukharibooks.com
Differential Equations with Boundary Value Problems 3rd edition by Solution Manual Of Differential Equation By Zill 3Rd Edition No need to wait for office hours. As well as numerous examples showing the methods use. For solving and approximating differential equations. Introduction and qualitative theory, third edition includes basic material such as the existence. Solution Manual Of Differential Equation By Zill 3Rd Edition.