Do Vegans Have Longer Life Expectancy . Ditching meat alone already adds years to your life, and eating a diet rich in healthful foods like whole grains, beans, and nuts can add even more. Research suggests that one of the reasons vegans may possibly benefit from increased longevity. And although there is unclear evidence a vegetarian diet promotes longevity, studies have consistently shown other health benefits. One study from jama internal medicine journal found that vegans have a 9% lower risk of death from all causes compared with omnivores, and another study. For example, a vegetarian diet has been. Two findings published in 2020 suggest that longevity is associated with either increasing plant protein consumption or replacing animal proteins, especially red meat and eggs, with plant protein (such as legumes). New insights into some characteristics of veganism, such as protein restriction or restriction in certain amino acids (leucine or methionine). Why do some vegans live longer?
from dailyveganlife.com
Why do some vegans live longer? Research suggests that one of the reasons vegans may possibly benefit from increased longevity. Two findings published in 2020 suggest that longevity is associated with either increasing plant protein consumption or replacing animal proteins, especially red meat and eggs, with plant protein (such as legumes). New insights into some characteristics of veganism, such as protein restriction or restriction in certain amino acids (leucine or methionine). And although there is unclear evidence a vegetarian diet promotes longevity, studies have consistently shown other health benefits. One study from jama internal medicine journal found that vegans have a 9% lower risk of death from all causes compared with omnivores, and another study. Ditching meat alone already adds years to your life, and eating a diet rich in healthful foods like whole grains, beans, and nuts can add even more. For example, a vegetarian diet has been.
75 YEAR OLD LONG TERM RAW VEGAN KARYN CALABRESE Q+A
Do Vegans Have Longer Life Expectancy New insights into some characteristics of veganism, such as protein restriction or restriction in certain amino acids (leucine or methionine). And although there is unclear evidence a vegetarian diet promotes longevity, studies have consistently shown other health benefits. For example, a vegetarian diet has been. New insights into some characteristics of veganism, such as protein restriction or restriction in certain amino acids (leucine or methionine). Research suggests that one of the reasons vegans may possibly benefit from increased longevity. Two findings published in 2020 suggest that longevity is associated with either increasing plant protein consumption or replacing animal proteins, especially red meat and eggs, with plant protein (such as legumes). One study from jama internal medicine journal found that vegans have a 9% lower risk of death from all causes compared with omnivores, and another study. Ditching meat alone already adds years to your life, and eating a diet rich in healthful foods like whole grains, beans, and nuts can add even more. Why do some vegans live longer?
From www.saintlukeskc.org
Research Shows Vegan Diet Leads to Nutritional Deficiencies, Health Do Vegans Have Longer Life Expectancy Ditching meat alone already adds years to your life, and eating a diet rich in healthful foods like whole grains, beans, and nuts can add even more. Research suggests that one of the reasons vegans may possibly benefit from increased longevity. One study from jama internal medicine journal found that vegans have a 9% lower risk of death from all. Do Vegans Have Longer Life Expectancy.
From vocal.media
The Vegan Diet A Look at Sustainability Feast Do Vegans Have Longer Life Expectancy Why do some vegans live longer? New insights into some characteristics of veganism, such as protein restriction or restriction in certain amino acids (leucine or methionine). Ditching meat alone already adds years to your life, and eating a diet rich in healthful foods like whole grains, beans, and nuts can add even more. For example, a vegetarian diet has been.. Do Vegans Have Longer Life Expectancy.
From www.pinterest.com
Pin by Paola on HEALTHY ME Vegan facts, Vegetarian facts, Vegan nutrition Do Vegans Have Longer Life Expectancy Research suggests that one of the reasons vegans may possibly benefit from increased longevity. One study from jama internal medicine journal found that vegans have a 9% lower risk of death from all causes compared with omnivores, and another study. Ditching meat alone already adds years to your life, and eating a diet rich in healthful foods like whole grains,. Do Vegans Have Longer Life Expectancy.
From thewire.in
Chart The Rise (or Fall?) of Vegetarianism Do Vegans Have Longer Life Expectancy One study from jama internal medicine journal found that vegans have a 9% lower risk of death from all causes compared with omnivores, and another study. Ditching meat alone already adds years to your life, and eating a diet rich in healthful foods like whole grains, beans, and nuts can add even more. Two findings published in 2020 suggest that. Do Vegans Have Longer Life Expectancy.
From www.healthandbeautytimes.com
What is a Vegan Diet? Definition, Benefits, Diet Plan Do Vegans Have Longer Life Expectancy For example, a vegetarian diet has been. New insights into some characteristics of veganism, such as protein restriction or restriction in certain amino acids (leucine or methionine). Research suggests that one of the reasons vegans may possibly benefit from increased longevity. And although there is unclear evidence a vegetarian diet promotes longevity, studies have consistently shown other health benefits. Why. Do Vegans Have Longer Life Expectancy.
From www.elephantjournal.com
Why this Health Expert a PaleoVegan Diet. elephant journal Do Vegans Have Longer Life Expectancy For example, a vegetarian diet has been. Research suggests that one of the reasons vegans may possibly benefit from increased longevity. And although there is unclear evidence a vegetarian diet promotes longevity, studies have consistently shown other health benefits. New insights into some characteristics of veganism, such as protein restriction or restriction in certain amino acids (leucine or methionine). Ditching. Do Vegans Have Longer Life Expectancy.
From www.weforum.org
Living longer? The effect vegetarianism really has on our lifespans Do Vegans Have Longer Life Expectancy Research suggests that one of the reasons vegans may possibly benefit from increased longevity. For example, a vegetarian diet has been. New insights into some characteristics of veganism, such as protein restriction or restriction in certain amino acids (leucine or methionine). One study from jama internal medicine journal found that vegans have a 9% lower risk of death from all. Do Vegans Have Longer Life Expectancy.
From www.drlamcoaching.com
The Pros and Cons of A Vegan Diet. Is This The Ultimate Solution? Do Vegans Have Longer Life Expectancy New insights into some characteristics of veganism, such as protein restriction or restriction in certain amino acids (leucine or methionine). For example, a vegetarian diet has been. Research suggests that one of the reasons vegans may possibly benefit from increased longevity. One study from jama internal medicine journal found that vegans have a 9% lower risk of death from all. Do Vegans Have Longer Life Expectancy.
From www.conserve-energy-future.com
13 Surprising Environmental Benefits of a Plant Based Vegan Diet Do Vegans Have Longer Life Expectancy Ditching meat alone already adds years to your life, and eating a diet rich in healthful foods like whole grains, beans, and nuts can add even more. New insights into some characteristics of veganism, such as protein restriction or restriction in certain amino acids (leucine or methionine). For example, a vegetarian diet has been. Why do some vegans live longer?. Do Vegans Have Longer Life Expectancy.
From www.purdueexponent.org
Does a vegetarian diet really increase longevity? Nation & World Do Vegans Have Longer Life Expectancy Ditching meat alone already adds years to your life, and eating a diet rich in healthful foods like whole grains, beans, and nuts can add even more. Why do some vegans live longer? New insights into some characteristics of veganism, such as protein restriction or restriction in certain amino acids (leucine or methionine). Research suggests that one of the reasons. Do Vegans Have Longer Life Expectancy.
From vomadlife.com
Why People Go Vegan 2019 Global Survey Results Do Vegans Have Longer Life Expectancy Why do some vegans live longer? Research suggests that one of the reasons vegans may possibly benefit from increased longevity. Ditching meat alone already adds years to your life, and eating a diet rich in healthful foods like whole grains, beans, and nuts can add even more. And although there is unclear evidence a vegetarian diet promotes longevity, studies have. Do Vegans Have Longer Life Expectancy.
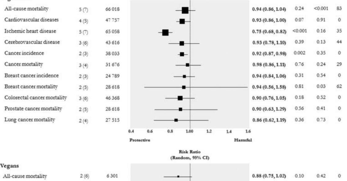
From www.christiankoeder.com
Tables not fables Life expectancy of vegans Do Vegans Have Longer Life Expectancy For example, a vegetarian diet has been. Research suggests that one of the reasons vegans may possibly benefit from increased longevity. One study from jama internal medicine journal found that vegans have a 9% lower risk of death from all causes compared with omnivores, and another study. Two findings published in 2020 suggest that longevity is associated with either increasing. Do Vegans Have Longer Life Expectancy.
From dailyveganlife.com
75 YEAR OLD LONG TERM RAW VEGAN KARYN CALABRESE Q+A Do Vegans Have Longer Life Expectancy Research suggests that one of the reasons vegans may possibly benefit from increased longevity. One study from jama internal medicine journal found that vegans have a 9% lower risk of death from all causes compared with omnivores, and another study. Ditching meat alone already adds years to your life, and eating a diet rich in healthful foods like whole grains,. Do Vegans Have Longer Life Expectancy.
From www.research.colostate.edu
Vegetarianism for a long life? Center for Healthy Aging Do Vegans Have Longer Life Expectancy Ditching meat alone already adds years to your life, and eating a diet rich in healthful foods like whole grains, beans, and nuts can add even more. For example, a vegetarian diet has been. And although there is unclear evidence a vegetarian diet promotes longevity, studies have consistently shown other health benefits. Research suggests that one of the reasons vegans. Do Vegans Have Longer Life Expectancy.
From prout.info
The Benefits of a Vegan Diet Proutist Universal Progressive Do Vegans Have Longer Life Expectancy One study from jama internal medicine journal found that vegans have a 9% lower risk of death from all causes compared with omnivores, and another study. New insights into some characteristics of veganism, such as protein restriction or restriction in certain amino acids (leucine or methionine). Ditching meat alone already adds years to your life, and eating a diet rich. Do Vegans Have Longer Life Expectancy.
From www.statista.com
Chart Who Are America's Vegans & Vegetarians? Statista Do Vegans Have Longer Life Expectancy One study from jama internal medicine journal found that vegans have a 9% lower risk of death from all causes compared with omnivores, and another study. Two findings published in 2020 suggest that longevity is associated with either increasing plant protein consumption or replacing animal proteins, especially red meat and eggs, with plant protein (such as legumes). Research suggests that. Do Vegans Have Longer Life Expectancy.
From www.pinterest.com
Health Benefits of Veganism Vegan Pinterest Health benefits Do Vegans Have Longer Life Expectancy New insights into some characteristics of veganism, such as protein restriction or restriction in certain amino acids (leucine or methionine). Two findings published in 2020 suggest that longevity is associated with either increasing plant protein consumption or replacing animal proteins, especially red meat and eggs, with plant protein (such as legumes). Why do some vegans live longer? One study from. Do Vegans Have Longer Life Expectancy.
From www.pinterest.com
Top 5 Ways You Can Change Your Life Expectancy Vegan food pyramid Do Vegans Have Longer Life Expectancy One study from jama internal medicine journal found that vegans have a 9% lower risk of death from all causes compared with omnivores, and another study. Two findings published in 2020 suggest that longevity is associated with either increasing plant protein consumption or replacing animal proteins, especially red meat and eggs, with plant protein (such as legumes). Research suggests that. Do Vegans Have Longer Life Expectancy.
From www.mdpi.com
Agriculture Free FullText What If the World Went Vegan? A Review Do Vegans Have Longer Life Expectancy One study from jama internal medicine journal found that vegans have a 9% lower risk of death from all causes compared with omnivores, and another study. Why do some vegans live longer? Research suggests that one of the reasons vegans may possibly benefit from increased longevity. For example, a vegetarian diet has been. Ditching meat alone already adds years to. Do Vegans Have Longer Life Expectancy.
From www.veganfoodandliving.com
Why do vegans live longer? Vegan Diet Vegan Food & Living Do Vegans Have Longer Life Expectancy Why do some vegans live longer? Research suggests that one of the reasons vegans may possibly benefit from increased longevity. Two findings published in 2020 suggest that longevity is associated with either increasing plant protein consumption or replacing animal proteins, especially red meat and eggs, with plant protein (such as legumes). Ditching meat alone already adds years to your life,. Do Vegans Have Longer Life Expectancy.
From www.livescience.com
Vegetarians and Vegans (Infographic) Live Science Do Vegans Have Longer Life Expectancy Why do some vegans live longer? For example, a vegetarian diet has been. Ditching meat alone already adds years to your life, and eating a diet rich in healthful foods like whole grains, beans, and nuts can add even more. Two findings published in 2020 suggest that longevity is associated with either increasing plant protein consumption or replacing animal proteins,. Do Vegans Have Longer Life Expectancy.
From www.thespruceeats.com
Vegan Basics from History to Benefits Do Vegans Have Longer Life Expectancy And although there is unclear evidence a vegetarian diet promotes longevity, studies have consistently shown other health benefits. Two findings published in 2020 suggest that longevity is associated with either increasing plant protein consumption or replacing animal proteins, especially red meat and eggs, with plant protein (such as legumes). Why do some vegans live longer? For example, a vegetarian diet. Do Vegans Have Longer Life Expectancy.
From www.weforum.org
This is how much veg people in the EU are really eating World Do Vegans Have Longer Life Expectancy Ditching meat alone already adds years to your life, and eating a diet rich in healthful foods like whole grains, beans, and nuts can add even more. Why do some vegans live longer? Research suggests that one of the reasons vegans may possibly benefit from increased longevity. For example, a vegetarian diet has been. And although there is unclear evidence. Do Vegans Have Longer Life Expectancy.
From www.greenhousepeople.co.uk
The Greenhouse People Do Vegans Have Longer Life Expectancy For example, a vegetarian diet has been. Two findings published in 2020 suggest that longevity is associated with either increasing plant protein consumption or replacing animal proteins, especially red meat and eggs, with plant protein (such as legumes). Research suggests that one of the reasons vegans may possibly benefit from increased longevity. Why do some vegans live longer? Ditching meat. Do Vegans Have Longer Life Expectancy.
From www.christiankoeder.com
Tables not fables Life expectancy of vegans Do Vegans Have Longer Life Expectancy Why do some vegans live longer? Research suggests that one of the reasons vegans may possibly benefit from increased longevity. Two findings published in 2020 suggest that longevity is associated with either increasing plant protein consumption or replacing animal proteins, especially red meat and eggs, with plant protein (such as legumes). One study from jama internal medicine journal found that. Do Vegans Have Longer Life Expectancy.
From www.veganeasy.org
Nutrition 123 Vegan Easy Do Vegans Have Longer Life Expectancy Two findings published in 2020 suggest that longevity is associated with either increasing plant protein consumption or replacing animal proteins, especially red meat and eggs, with plant protein (such as legumes). For example, a vegetarian diet has been. Why do some vegans live longer? Research suggests that one of the reasons vegans may possibly benefit from increased longevity. New insights. Do Vegans Have Longer Life Expectancy.
From www.careelite.de
Life expectancy on a vegan diet CareElite Do Vegans Have Longer Life Expectancy Two findings published in 2020 suggest that longevity is associated with either increasing plant protein consumption or replacing animal proteins, especially red meat and eggs, with plant protein (such as legumes). New insights into some characteristics of veganism, such as protein restriction or restriction in certain amino acids (leucine or methionine). And although there is unclear evidence a vegetarian diet. Do Vegans Have Longer Life Expectancy.
From rosemarycottageclinic.co.uk
UK vegetarians DON’T live longer than meat eaters study finds Do Vegans Have Longer Life Expectancy Ditching meat alone already adds years to your life, and eating a diet rich in healthful foods like whole grains, beans, and nuts can add even more. And although there is unclear evidence a vegetarian diet promotes longevity, studies have consistently shown other health benefits. One study from jama internal medicine journal found that vegans have a 9% lower risk. Do Vegans Have Longer Life Expectancy.
From www.thepearlpost.com
Teens have increased interest in veganism The Pearl Post Do Vegans Have Longer Life Expectancy Ditching meat alone already adds years to your life, and eating a diet rich in healthful foods like whole grains, beans, and nuts can add even more. Two findings published in 2020 suggest that longevity is associated with either increasing plant protein consumption or replacing animal proteins, especially red meat and eggs, with plant protein (such as legumes). One study. Do Vegans Have Longer Life Expectancy.
From www.animalcharityevaluators.org
Vegetarian Recidivism Animal Charity Evaluators Do Vegans Have Longer Life Expectancy And although there is unclear evidence a vegetarian diet promotes longevity, studies have consistently shown other health benefits. Research suggests that one of the reasons vegans may possibly benefit from increased longevity. New insights into some characteristics of veganism, such as protein restriction or restriction in certain amino acids (leucine or methionine). One study from jama internal medicine journal found. Do Vegans Have Longer Life Expectancy.
From www.berryabundantlife.com
7 Epic Benefits of the Raw Vegan Lifestyle Berry Abundant Life Do Vegans Have Longer Life Expectancy And although there is unclear evidence a vegetarian diet promotes longevity, studies have consistently shown other health benefits. For example, a vegetarian diet has been. New insights into some characteristics of veganism, such as protein restriction or restriction in certain amino acids (leucine or methionine). Why do some vegans live longer? One study from jama internal medicine journal found that. Do Vegans Have Longer Life Expectancy.
From www.dailymail.co.uk
Australian study shows eating meat correlates to a longer life Do Vegans Have Longer Life Expectancy And although there is unclear evidence a vegetarian diet promotes longevity, studies have consistently shown other health benefits. For example, a vegetarian diet has been. Two findings published in 2020 suggest that longevity is associated with either increasing plant protein consumption or replacing animal proteins, especially red meat and eggs, with plant protein (such as legumes). Ditching meat alone already. Do Vegans Have Longer Life Expectancy.
From faunalytics.org
Infographic Vegetarianism In The United States Faunalytics Do Vegans Have Longer Life Expectancy For example, a vegetarian diet has been. And although there is unclear evidence a vegetarian diet promotes longevity, studies have consistently shown other health benefits. One study from jama internal medicine journal found that vegans have a 9% lower risk of death from all causes compared with omnivores, and another study. New insights into some characteristics of veganism, such as. Do Vegans Have Longer Life Expectancy.
From www.pinterest.com
Why People Go Vegan 2019 Global Survey Results Going vegan, Vegan Do Vegans Have Longer Life Expectancy For example, a vegetarian diet has been. Research suggests that one of the reasons vegans may possibly benefit from increased longevity. Why do some vegans live longer? New insights into some characteristics of veganism, such as protein restriction or restriction in certain amino acids (leucine or methionine). Ditching meat alone already adds years to your life, and eating a diet. Do Vegans Have Longer Life Expectancy.
From accordingtoadietitian.blogspot.com
Reasons To Vegan Do Vegans Have Longer Life Expectancy Why do some vegans live longer? Research suggests that one of the reasons vegans may possibly benefit from increased longevity. One study from jama internal medicine journal found that vegans have a 9% lower risk of death from all causes compared with omnivores, and another study. Two findings published in 2020 suggest that longevity is associated with either increasing plant. Do Vegans Have Longer Life Expectancy.