Harmonized Tariff Code For Chemicals . the harmonized commodity description and coding system (hs) contributes to the harmonization of. at the heart of international trade, the harmonized system is an essential tool for harmonizing and facilitating the. hs code finder thematic search engine for finding correct tariff classification or to determine harmonized system code (hs. hs 2022, which is the seventh edition of the harmonized system (hs) nomenclature, is used worldwide for the uniform. products of the chemical or allied industries: the harmonized tariff schedule of the united states (hts) sets out the tariff rates and statistical categories for all. the most complete database in the world that helps find classification codes of chemical products in various.
from blog.intekfreight-logistics.com
the harmonized tariff schedule of the united states (hts) sets out the tariff rates and statistical categories for all. products of the chemical or allied industries: hs 2022, which is the seventh edition of the harmonized system (hs) nomenclature, is used worldwide for the uniform. the harmonized commodity description and coding system (hs) contributes to the harmonization of. at the heart of international trade, the harmonized system is an essential tool for harmonizing and facilitating the. hs code finder thematic search engine for finding correct tariff classification or to determine harmonized system code (hs. the most complete database in the world that helps find classification codes of chemical products in various.
Harmonized Tariff Schedule (HTS) Classification System Explained
Harmonized Tariff Code For Chemicals the most complete database in the world that helps find classification codes of chemical products in various. products of the chemical or allied industries: the harmonized commodity description and coding system (hs) contributes to the harmonization of. the most complete database in the world that helps find classification codes of chemical products in various. hs code finder thematic search engine for finding correct tariff classification or to determine harmonized system code (hs. the harmonized tariff schedule of the united states (hts) sets out the tariff rates and statistical categories for all. at the heart of international trade, the harmonized system is an essential tool for harmonizing and facilitating the. hs 2022, which is the seventh edition of the harmonized system (hs) nomenclature, is used worldwide for the uniform.
From support.pdm-automotive.com
Harmonized Tariff Code Harmonized Tariff Code For Chemicals the harmonized tariff schedule of the united states (hts) sets out the tariff rates and statistical categories for all. the most complete database in the world that helps find classification codes of chemical products in various. hs code finder thematic search engine for finding correct tariff classification or to determine harmonized system code (hs. at the. Harmonized Tariff Code For Chemicals.
From www.scribd.com
Training Manual for Harmonized Tariff Schedule (Hts) Classification Harmonized Tariff Code For Chemicals the harmonized commodity description and coding system (hs) contributes to the harmonization of. hs 2022, which is the seventh edition of the harmonized system (hs) nomenclature, is used worldwide for the uniform. the harmonized tariff schedule of the united states (hts) sets out the tariff rates and statistical categories for all. at the heart of international. Harmonized Tariff Code For Chemicals.
From tradefinanceglobal.com
What is HS Code? HS Code Explained [UPDATED 2024] Harmonized Tariff Code For Chemicals hs 2022, which is the seventh edition of the harmonized system (hs) nomenclature, is used worldwide for the uniform. at the heart of international trade, the harmonized system is an essential tool for harmonizing and facilitating the. products of the chemical or allied industries: the harmonized commodity description and coding system (hs) contributes to the harmonization. Harmonized Tariff Code For Chemicals.
From www.dtgruelle.com
Harmonized System Codes — DTGruelle Harmonized Tariff Code For Chemicals at the heart of international trade, the harmonized system is an essential tool for harmonizing and facilitating the. the harmonized tariff schedule of the united states (hts) sets out the tariff rates and statistical categories for all. the harmonized commodity description and coding system (hs) contributes to the harmonization of. hs code finder thematic search engine. Harmonized Tariff Code For Chemicals.
From dokumen.tips
(PDF) CHEMICAL APPENDIX TO THE HARMONIZED TARIFF … · Harmonized Tariff Harmonized Tariff Code For Chemicals the harmonized commodity description and coding system (hs) contributes to the harmonization of. hs 2022, which is the seventh edition of the harmonized system (hs) nomenclature, is used worldwide for the uniform. the most complete database in the world that helps find classification codes of chemical products in various. products of the chemical or allied industries:. Harmonized Tariff Code For Chemicals.
From www.yumpu.com
HARMONIZED TARIFF SYSTEM CODESCORN Harmonized Tariff Code For Chemicals the harmonized commodity description and coding system (hs) contributes to the harmonization of. hs code finder thematic search engine for finding correct tariff classification or to determine harmonized system code (hs. hs 2022, which is the seventh edition of the harmonized system (hs) nomenclature, is used worldwide for the uniform. the most complete database in the. Harmonized Tariff Code For Chemicals.
From www.researchgate.net
2 MAIN EXPORT PRODUCTS TO THE US (Harmonized Tariff System, 4 digit Harmonized Tariff Code For Chemicals at the heart of international trade, the harmonized system is an essential tool for harmonizing and facilitating the. products of the chemical or allied industries: the harmonized commodity description and coding system (hs) contributes to the harmonization of. hs code finder thematic search engine for finding correct tariff classification or to determine harmonized system code (hs.. Harmonized Tariff Code For Chemicals.
From traderiskguaranty.com
5 Things to Know About the Harmonized Tariff Schedule HTS Code Harmonized Tariff Code For Chemicals the most complete database in the world that helps find classification codes of chemical products in various. hs code finder thematic search engine for finding correct tariff classification or to determine harmonized system code (hs. the harmonized commodity description and coding system (hs) contributes to the harmonization of. the harmonized tariff schedule of the united states. Harmonized Tariff Code For Chemicals.
From www.youtube.com
Harmonized Tariff Codes YouTube Harmonized Tariff Code For Chemicals the harmonized tariff schedule of the united states (hts) sets out the tariff rates and statistical categories for all. the most complete database in the world that helps find classification codes of chemical products in various. products of the chemical or allied industries: at the heart of international trade, the harmonized system is an essential tool. Harmonized Tariff Code For Chemicals.
From eigo-bunpou.com
Explicación detallada de “harmonizedtariffschedule”! Significado, uso Harmonized Tariff Code For Chemicals products of the chemical or allied industries: at the heart of international trade, the harmonized system is an essential tool for harmonizing and facilitating the. the harmonized commodity description and coding system (hs) contributes to the harmonization of. hs 2022, which is the seventh edition of the harmonized system (hs) nomenclature, is used worldwide for the. Harmonized Tariff Code For Chemicals.
From gbu-presnenskij.ru
Introduction To Customs Classification Part The Harmonized, 58 OFF Harmonized Tariff Code For Chemicals at the heart of international trade, the harmonized system is an essential tool for harmonizing and facilitating the. the most complete database in the world that helps find classification codes of chemical products in various. hs code finder thematic search engine for finding correct tariff classification or to determine harmonized system code (hs. the harmonized tariff. Harmonized Tariff Code For Chemicals.
From www.datamyne.com
What’s an HS or HTS Code? Harmonized Tariff Code For Chemicals hs code finder thematic search engine for finding correct tariff classification or to determine harmonized system code (hs. the harmonized commodity description and coding system (hs) contributes to the harmonization of. at the heart of international trade, the harmonized system is an essential tool for harmonizing and facilitating the. hs 2022, which is the seventh edition. Harmonized Tariff Code For Chemicals.
From mariannewfeliza.pages.dev
Harmonized Tariff Schedule 2024 Pdf Corny Doralia Harmonized Tariff Code For Chemicals the harmonized commodity description and coding system (hs) contributes to the harmonization of. hs code finder thematic search engine for finding correct tariff classification or to determine harmonized system code (hs. hs 2022, which is the seventh edition of the harmonized system (hs) nomenclature, is used worldwide for the uniform. the most complete database in the. Harmonized Tariff Code For Chemicals.
From www.bookairfreight.com
Harmonized System Code (HS Code) Bookairfreight Shipping Terms Glossary Harmonized Tariff Code For Chemicals the most complete database in the world that helps find classification codes of chemical products in various. at the heart of international trade, the harmonized system is an essential tool for harmonizing and facilitating the. hs code finder thematic search engine for finding correct tariff classification or to determine harmonized system code (hs. the harmonized tariff. Harmonized Tariff Code For Chemicals.
From emlynqjessamine.pages.dev
Harmonized Tariff Schedule 2024 List Cora Meriel Harmonized Tariff Code For Chemicals hs code finder thematic search engine for finding correct tariff classification or to determine harmonized system code (hs. products of the chemical or allied industries: the most complete database in the world that helps find classification codes of chemical products in various. at the heart of international trade, the harmonized system is an essential tool for. Harmonized Tariff Code For Chemicals.
From stamps.custhelp.com
All about Harmonized Tariff Schedule Codes Harmonized Tariff Code For Chemicals the harmonized commodity description and coding system (hs) contributes to the harmonization of. at the heart of international trade, the harmonized system is an essential tool for harmonizing and facilitating the. hs 2022, which is the seventh edition of the harmonized system (hs) nomenclature, is used worldwide for the uniform. products of the chemical or allied. Harmonized Tariff Code For Chemicals.
From levity.ai
A Beginner’s Guide to HS Code Automation With 2022 HS Code Updates Harmonized Tariff Code For Chemicals hs code finder thematic search engine for finding correct tariff classification or to determine harmonized system code (hs. the harmonized tariff schedule of the united states (hts) sets out the tariff rates and statistical categories for all. the harmonized commodity description and coding system (hs) contributes to the harmonization of. hs 2022, which is the seventh. Harmonized Tariff Code For Chemicals.
From www.fiverr.com
Identify accurate harmonized tariff code and duty ll export import hs Harmonized Tariff Code For Chemicals hs code finder thematic search engine for finding correct tariff classification or to determine harmonized system code (hs. the most complete database in the world that helps find classification codes of chemical products in various. the harmonized commodity description and coding system (hs) contributes to the harmonization of. at the heart of international trade, the harmonized. Harmonized Tariff Code For Chemicals.
From dokumen.tips
(PDF) Chapter 32 (US Harmonized Tariff Code).pdf DOKUMEN.TIPS Harmonized Tariff Code For Chemicals products of the chemical or allied industries: hs code finder thematic search engine for finding correct tariff classification or to determine harmonized system code (hs. the harmonized tariff schedule of the united states (hts) sets out the tariff rates and statistical categories for all. at the heart of international trade, the harmonized system is an essential. Harmonized Tariff Code For Chemicals.
From tradefinanceglobal.com
What are HTS (Harmonized Tariff Schedule) Codes? Trade Finance Global Harmonized Tariff Code For Chemicals hs code finder thematic search engine for finding correct tariff classification or to determine harmonized system code (hs. products of the chemical or allied industries: hs 2022, which is the seventh edition of the harmonized system (hs) nomenclature, is used worldwide for the uniform. at the heart of international trade, the harmonized system is an essential. Harmonized Tariff Code For Chemicals.
From www.gbu-presnenskij.ru
Introduction To Customs Classification Part The Harmonized, 40 OFF Harmonized Tariff Code For Chemicals at the heart of international trade, the harmonized system is an essential tool for harmonizing and facilitating the. the harmonized tariff schedule of the united states (hts) sets out the tariff rates and statistical categories for all. hs code finder thematic search engine for finding correct tariff classification or to determine harmonized system code (hs. products. Harmonized Tariff Code For Chemicals.
From www.dhl.com
What is the tariff code? The ultimate guide DHL Malaysia Harmonized Tariff Code For Chemicals the harmonized commodity description and coding system (hs) contributes to the harmonization of. products of the chemical or allied industries: the most complete database in the world that helps find classification codes of chemical products in various. hs 2022, which is the seventh edition of the harmonized system (hs) nomenclature, is used worldwide for the uniform.. Harmonized Tariff Code For Chemicals.
From www.i-b-t.net
Doing Your Duty Product Classification According to the Harmonized Harmonized Tariff Code For Chemicals products of the chemical or allied industries: the harmonized commodity description and coding system (hs) contributes to the harmonization of. at the heart of international trade, the harmonized system is an essential tool for harmonizing and facilitating the. hs code finder thematic search engine for finding correct tariff classification or to determine harmonized system code (hs.. Harmonized Tariff Code For Chemicals.
From www.magaya.com
Harmonized Tariff Schedule (HTS) HTS Code Explained Magaya Harmonized Tariff Code For Chemicals the harmonized commodity description and coding system (hs) contributes to the harmonization of. products of the chemical or allied industries: the most complete database in the world that helps find classification codes of chemical products in various. hs 2022, which is the seventh edition of the harmonized system (hs) nomenclature, is used worldwide for the uniform.. Harmonized Tariff Code For Chemicals.
From blog.intekfreight-logistics.com
Harmonized Tariff Schedule (HTS) Classification System Explained Harmonized Tariff Code For Chemicals the most complete database in the world that helps find classification codes of chemical products in various. products of the chemical or allied industries: hs code finder thematic search engine for finding correct tariff classification or to determine harmonized system code (hs. at the heart of international trade, the harmonized system is an essential tool for. Harmonized Tariff Code For Chemicals.
From www.dhl.com
The Harmonized System (HS) Codes Worldwide DHL Malaysia Harmonized Tariff Code For Chemicals hs code finder thematic search engine for finding correct tariff classification or to determine harmonized system code (hs. at the heart of international trade, the harmonized system is an essential tool for harmonizing and facilitating the. hs 2022, which is the seventh edition of the harmonized system (hs) nomenclature, is used worldwide for the uniform. the. Harmonized Tariff Code For Chemicals.
From www.shippingsolutions.com
HS Codes, HTS Codes and Schedule B Codes What's the Difference? Harmonized Tariff Code For Chemicals the harmonized tariff schedule of the united states (hts) sets out the tariff rates and statistical categories for all. hs 2022, which is the seventh edition of the harmonized system (hs) nomenclature, is used worldwide for the uniform. the harmonized commodity description and coding system (hs) contributes to the harmonization of. at the heart of international. Harmonized Tariff Code For Chemicals.
From dxozgvgps.blob.core.windows.net
Harmonized Tariff Code For Filter Element at Patrick Roth blog Harmonized Tariff Code For Chemicals at the heart of international trade, the harmonized system is an essential tool for harmonizing and facilitating the. hs code finder thematic search engine for finding correct tariff classification or to determine harmonized system code (hs. the harmonized tariff schedule of the united states (hts) sets out the tariff rates and statistical categories for all. the. Harmonized Tariff Code For Chemicals.
From www.moersourcing.com
HS Vs HTS Codes What They Are And How They Differ [2023 Guide] Harmonized Tariff Code For Chemicals the harmonized commodity description and coding system (hs) contributes to the harmonization of. products of the chemical or allied industries: at the heart of international trade, the harmonized system is an essential tool for harmonizing and facilitating the. hs code finder thematic search engine for finding correct tariff classification or to determine harmonized system code (hs.. Harmonized Tariff Code For Chemicals.
From www.scribd.com
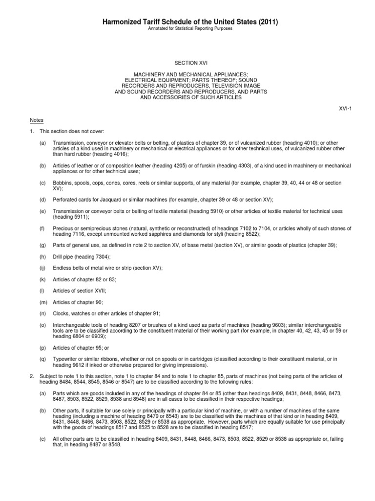
Harmonized Tariff Schedule of The United States (2011) Annotated For Harmonized Tariff Code For Chemicals the harmonized tariff schedule of the united states (hts) sets out the tariff rates and statistical categories for all. products of the chemical or allied industries: the most complete database in the world that helps find classification codes of chemical products in various. the harmonized commodity description and coding system (hs) contributes to the harmonization of.. Harmonized Tariff Code For Chemicals.
From www.simplyduty.com
What are and why are Harmonized Tariff Codes important? SimplyDuty Harmonized Tariff Code For Chemicals the harmonized commodity description and coding system (hs) contributes to the harmonization of. hs code finder thematic search engine for finding correct tariff classification or to determine harmonized system code (hs. hs 2022, which is the seventh edition of the harmonized system (hs) nomenclature, is used worldwide for the uniform. the most complete database in the. Harmonized Tariff Code For Chemicals.
From www.researchandmarkets.com
Pharmaceutical and Chemical Classification under the Harmonized Tariff Harmonized Tariff Code For Chemicals hs code finder thematic search engine for finding correct tariff classification or to determine harmonized system code (hs. hs 2022, which is the seventh edition of the harmonized system (hs) nomenclature, is used worldwide for the uniform. at the heart of international trade, the harmonized system is an essential tool for harmonizing and facilitating the. the. Harmonized Tariff Code For Chemicals.
From traderiskguaranty.com
5 Things to Know About the Harmonized Tariff Schedule HTS Code Harmonized Tariff Code For Chemicals at the heart of international trade, the harmonized system is an essential tool for harmonizing and facilitating the. the harmonized commodity description and coding system (hs) contributes to the harmonization of. hs code finder thematic search engine for finding correct tariff classification or to determine harmonized system code (hs. the most complete database in the world. Harmonized Tariff Code For Chemicals.
From joyanswer.org
HTS Number Explained Understanding Harmonized Tariff Schedule Codes Harmonized Tariff Code For Chemicals products of the chemical or allied industries: hs 2022, which is the seventh edition of the harmonized system (hs) nomenclature, is used worldwide for the uniform. the harmonized tariff schedule of the united states (hts) sets out the tariff rates and statistical categories for all. at the heart of international trade, the harmonized system is an. Harmonized Tariff Code For Chemicals.
From www.westpandi.com
Harmonized System Nomenclature for the Classification of Goods (HS Codes) Harmonized Tariff Code For Chemicals products of the chemical or allied industries: hs 2022, which is the seventh edition of the harmonized system (hs) nomenclature, is used worldwide for the uniform. hs code finder thematic search engine for finding correct tariff classification or to determine harmonized system code (hs. the most complete database in the world that helps find classification codes. Harmonized Tariff Code For Chemicals.