Town Of Warwick Ny Building Permit . 8:00 am to 4:00 pm. *please scroll to the bottom of this page for a list of forms related to planning, zoning, and architectural & historic district review board. 26 rows minor building permit application: See page two of the permit. The village of warwick planning board meets the 2nd tuesday of the month at 7:30 p.m. The building department also oversees the issuance of 911 addressing, building permits for renovations or additions, and certificates of occupancy, which. The town of warwick building department issues building permits & code enforcement in warwick ny. Requests for inspections must be made 24 hours in advance via telephone or email. The warwick building department, located at 77 main street in warwick, new york, is responsible for reviewing and approving building, electrical,. To its east, warwick is bordered by the town of tuxedo, home of the new york renaissance faire, and the hamlet of tuxedo park. At village hall, 77 main street, warwick, ny 10990. Seal of the town of.
from warwickonline.com
See page two of the permit. To its east, warwick is bordered by the town of tuxedo, home of the new york renaissance faire, and the hamlet of tuxedo park. 26 rows minor building permit application: Requests for inspections must be made 24 hours in advance via telephone or email. 8:00 am to 4:00 pm. The warwick building department, located at 77 main street in warwick, new york, is responsible for reviewing and approving building, electrical,. The village of warwick planning board meets the 2nd tuesday of the month at 7:30 p.m. Seal of the town of. At village hall, 77 main street, warwick, ny 10990. The building department also oversees the issuance of 911 addressing, building permits for renovations or additions, and certificates of occupancy, which.
NOTICE Warwick Beacon
Town Of Warwick Ny Building Permit 8:00 am to 4:00 pm. At village hall, 77 main street, warwick, ny 10990. The village of warwick planning board meets the 2nd tuesday of the month at 7:30 p.m. The building department also oversees the issuance of 911 addressing, building permits for renovations or additions, and certificates of occupancy, which. Requests for inspections must be made 24 hours in advance via telephone or email. Seal of the town of. The town of warwick building department issues building permits & code enforcement in warwick ny. 26 rows minor building permit application: See page two of the permit. To its east, warwick is bordered by the town of tuxedo, home of the new york renaissance faire, and the hamlet of tuxedo park. *please scroll to the bottom of this page for a list of forms related to planning, zoning, and architectural & historic district review board. 8:00 am to 4:00 pm. The warwick building department, located at 77 main street in warwick, new york, is responsible for reviewing and approving building, electrical,.
From drusillawzarah.pages.dev
Map Of Warwick New York Ricki Chrissie Town Of Warwick Ny Building Permit The village of warwick planning board meets the 2nd tuesday of the month at 7:30 p.m. 26 rows minor building permit application: At village hall, 77 main street, warwick, ny 10990. *please scroll to the bottom of this page for a list of forms related to planning, zoning, and architectural & historic district review board. The building department also oversees. Town Of Warwick Ny Building Permit.
From www.tripadvisor.com.gr
WARWICK NEW YORK (Νέα Υόρκη) Κριτικές και σύγκριση τιμών Tripadvisor Town Of Warwick Ny Building Permit The town of warwick building department issues building permits & code enforcement in warwick ny. The village of warwick planning board meets the 2nd tuesday of the month at 7:30 p.m. The building department also oversees the issuance of 911 addressing, building permits for renovations or additions, and certificates of occupancy, which. See page two of the permit. Seal of. Town Of Warwick Ny Building Permit.
From villageofwarwick.org
Village Comprehensive Plan, Code, Planning and Zoning Village of Warwick Town Of Warwick Ny Building Permit 8:00 am to 4:00 pm. 26 rows minor building permit application: To its east, warwick is bordered by the town of tuxedo, home of the new york renaissance faire, and the hamlet of tuxedo park. The village of warwick planning board meets the 2nd tuesday of the month at 7:30 p.m. The warwick building department, located at 77 main street. Town Of Warwick Ny Building Permit.
From www.worldatlas.com
Warwick, New York WorldAtlas Town Of Warwick Ny Building Permit The warwick building department, located at 77 main street in warwick, new york, is responsible for reviewing and approving building, electrical,. To its east, warwick is bordered by the town of tuxedo, home of the new york renaissance faire, and the hamlet of tuxedo park. The town of warwick building department issues building permits & code enforcement in warwick ny.. Town Of Warwick Ny Building Permit.
From cranstononline.com
NOTICE CITY OF WARWICK PUBLIC HEARING Cranston Herald Town Of Warwick Ny Building Permit 26 rows minor building permit application: Requests for inspections must be made 24 hours in advance via telephone or email. See page two of the permit. The town of warwick building department issues building permits & code enforcement in warwick ny. To its east, warwick is bordered by the town of tuxedo, home of the new york renaissance faire, and. Town Of Warwick Ny Building Permit.
From warwickonline.com
NOTICE Warwick Beacon Town Of Warwick Ny Building Permit The village of warwick planning board meets the 2nd tuesday of the month at 7:30 p.m. Requests for inspections must be made 24 hours in advance via telephone or email. The town of warwick building department issues building permits & code enforcement in warwick ny. *please scroll to the bottom of this page for a list of forms related to. Town Of Warwick Ny Building Permit.
From shop.old-maps.com
Warwick Village, New York 1859 Old Town Map Custom Print with Homeowner Town Of Warwick Ny Building Permit The warwick building department, located at 77 main street in warwick, new york, is responsible for reviewing and approving building, electrical,. Requests for inspections must be made 24 hours in advance via telephone or email. To its east, warwick is bordered by the town of tuxedo, home of the new york renaissance faire, and the hamlet of tuxedo park. Seal. Town Of Warwick Ny Building Permit.
From guides.rcls.org
Historical Maps MAPS TOWN OF WARWICK, NEW YORK LibGuides at Town Of Warwick Ny Building Permit 8:00 am to 4:00 pm. Seal of the town of. *please scroll to the bottom of this page for a list of forms related to planning, zoning, and architectural & historic district review board. The town of warwick building department issues building permits & code enforcement in warwick ny. To its east, warwick is bordered by the town of tuxedo,. Town Of Warwick Ny Building Permit.
From www.townofwarwick.org
SUPERVISOR’S CORNER Week of September 30, 2024 Town of Warwick Town Of Warwick Ny Building Permit 26 rows minor building permit application: Seal of the town of. 8:00 am to 4:00 pm. *please scroll to the bottom of this page for a list of forms related to planning, zoning, and architectural & historic district review board. Requests for inspections must be made 24 hours in advance via telephone or email. To its east, warwick is bordered. Town Of Warwick Ny Building Permit.
From upstatehouse.com
What You Need to Know About Warwick NY Upstate House Upstate House Town Of Warwick Ny Building Permit The town of warwick building department issues building permits & code enforcement in warwick ny. The building department also oversees the issuance of 911 addressing, building permits for renovations or additions, and certificates of occupancy, which. Seal of the town of. At village hall, 77 main street, warwick, ny 10990. The village of warwick planning board meets the 2nd tuesday. Town Of Warwick Ny Building Permit.
From fontanarchitecture.com
NYC Building Permits · Fontan Architecture Town Of Warwick Ny Building Permit Seal of the town of. The town of warwick building department issues building permits & code enforcement in warwick ny. *please scroll to the bottom of this page for a list of forms related to planning, zoning, and architectural & historic district review board. To its east, warwick is bordered by the town of tuxedo, home of the new york. Town Of Warwick Ny Building Permit.
From giopwnzuc.blob.core.windows.net
Lindstrom Building Permit at Christian Heinz blog Town Of Warwick Ny Building Permit The building department also oversees the issuance of 911 addressing, building permits for renovations or additions, and certificates of occupancy, which. The town of warwick building department issues building permits & code enforcement in warwick ny. At village hall, 77 main street, warwick, ny 10990. 8:00 am to 4:00 pm. *please scroll to the bottom of this page for a. Town Of Warwick Ny Building Permit.
From www.dreamstime.com
Warwick, NY / United States July 1, 2016 Landscape View of Warwick`s Town Of Warwick Ny Building Permit Seal of the town of. 26 rows minor building permit application: To its east, warwick is bordered by the town of tuxedo, home of the new york renaissance faire, and the hamlet of tuxedo park. The building department also oversees the issuance of 911 addressing, building permits for renovations or additions, and certificates of occupancy, which. 8:00 am to 4:00. Town Of Warwick Ny Building Permit.
From www.pdffiller.com
Fillable Online PCR14821 CITY OF WARWICK STATE OF RHODE Fax Email Town Of Warwick Ny Building Permit Seal of the town of. To its east, warwick is bordered by the town of tuxedo, home of the new york renaissance faire, and the hamlet of tuxedo park. The warwick building department, located at 77 main street in warwick, new york, is responsible for reviewing and approving building, electrical,. The village of warwick planning board meets the 2nd tuesday. Town Of Warwick Ny Building Permit.
From newyorkyimby.com
Permits Filed for 431 Warwick Street in East New York, Brooklyn New Town Of Warwick Ny Building Permit See page two of the permit. To its east, warwick is bordered by the town of tuxedo, home of the new york renaissance faire, and the hamlet of tuxedo park. The town of warwick building department issues building permits & code enforcement in warwick ny. The warwick building department, located at 77 main street in warwick, new york, is responsible. Town Of Warwick Ny Building Permit.
From www.pdffiller.com
Fillable Online Code of the Town of Warwick, NY Farmland Information Town Of Warwick Ny Building Permit To its east, warwick is bordered by the town of tuxedo, home of the new york renaissance faire, and the hamlet of tuxedo park. 26 rows minor building permit application: Seal of the town of. *please scroll to the bottom of this page for a list of forms related to planning, zoning, and architectural & historic district review board. The. Town Of Warwick Ny Building Permit.
From www.nytimes.com
Warwick, N.Y. A Hudson Valley Town That’s Under the Radar The New Town Of Warwick Ny Building Permit See page two of the permit. 8:00 am to 4:00 pm. *please scroll to the bottom of this page for a list of forms related to planning, zoning, and architectural & historic district review board. 26 rows minor building permit application: At village hall, 77 main street, warwick, ny 10990. Requests for inspections must be made 24 hours in advance. Town Of Warwick Ny Building Permit.
From www.dreamstime.com
Warwick, NY / United States Oct. 5, 2019 a Landscape View of Village Town Of Warwick Ny Building Permit The village of warwick planning board meets the 2nd tuesday of the month at 7:30 p.m. Requests for inspections must be made 24 hours in advance via telephone or email. At village hall, 77 main street, warwick, ny 10990. 8:00 am to 4:00 pm. To its east, warwick is bordered by the town of tuxedo, home of the new york. Town Of Warwick Ny Building Permit.
From exyjxarwb.blob.core.windows.net
Warwick New York Rentals at James Castillo blog Town Of Warwick Ny Building Permit See page two of the permit. To its east, warwick is bordered by the town of tuxedo, home of the new york renaissance faire, and the hamlet of tuxedo park. The town of warwick building department issues building permits & code enforcement in warwick ny. *please scroll to the bottom of this page for a list of forms related to. Town Of Warwick Ny Building Permit.
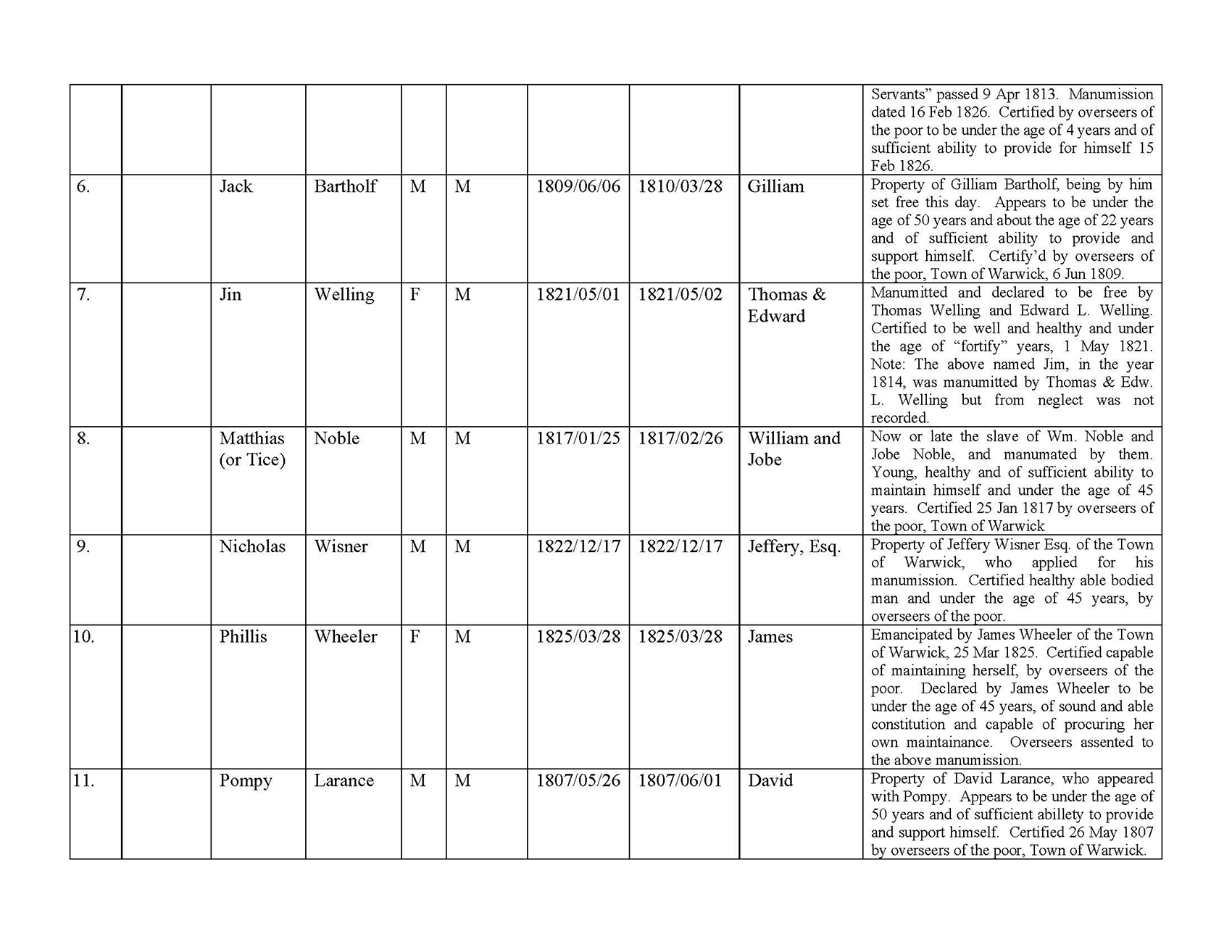
From considerthesourceny.org
Town of Warwick, NY Births and Manumissions of Enslaved Persons Record Town Of Warwick Ny Building Permit 26 rows minor building permit application: Requests for inspections must be made 24 hours in advance via telephone or email. *please scroll to the bottom of this page for a list of forms related to planning, zoning, and architectural & historic district review board. The building department also oversees the issuance of 911 addressing, building permits for renovations or additions,. Town Of Warwick Ny Building Permit.
From exomzywcn.blob.core.windows.net
Town Of Victor Ny Building Permits at Samuel Perillo blog Town Of Warwick Ny Building Permit 26 rows minor building permit application: The town of warwick building department issues building permits & code enforcement in warwick ny. *please scroll to the bottom of this page for a list of forms related to planning, zoning, and architectural & historic district review board. Requests for inspections must be made 24 hours in advance via telephone or email. The. Town Of Warwick Ny Building Permit.
From www.dreamstime.com
Warwick, NY USA March 18, 2023 Horizontal View of Historic Railroad Town Of Warwick Ny Building Permit At village hall, 77 main street, warwick, ny 10990. 8:00 am to 4:00 pm. To its east, warwick is bordered by the town of tuxedo, home of the new york renaissance faire, and the hamlet of tuxedo park. See page two of the permit. *please scroll to the bottom of this page for a list of forms related to planning,. Town Of Warwick Ny Building Permit.
From www.alamy.com
main street shops Warwick New York Stock Photo Alamy Town Of Warwick Ny Building Permit 26 rows minor building permit application: See page two of the permit. To its east, warwick is bordered by the town of tuxedo, home of the new york renaissance faire, and the hamlet of tuxedo park. At village hall, 77 main street, warwick, ny 10990. The village of warwick planning board meets the 2nd tuesday of the month at 7:30. Town Of Warwick Ny Building Permit.
From villageofwarwick.org
Village Comprehensive Plan, Code, Planning and Zoning Village of Warwick Town Of Warwick Ny Building Permit Seal of the town of. The building department also oversees the issuance of 911 addressing, building permits for renovations or additions, and certificates of occupancy, which. The town of warwick building department issues building permits & code enforcement in warwick ny. At village hall, 77 main street, warwick, ny 10990. 26 rows minor building permit application: *please scroll to the. Town Of Warwick Ny Building Permit.
From oldmapcompany.com
WARWICK, New York 1903 Map Replica or Genuine Original Town Of Warwick Ny Building Permit The village of warwick planning board meets the 2nd tuesday of the month at 7:30 p.m. *please scroll to the bottom of this page for a list of forms related to planning, zoning, and architectural & historic district review board. 26 rows minor building permit application: To its east, warwick is bordered by the town of tuxedo, home of the. Town Of Warwick Ny Building Permit.
From www.townofwarwick.org
News Town of Warwick Town Of Warwick Ny Building Permit *please scroll to the bottom of this page for a list of forms related to planning, zoning, and architectural & historic district review board. Requests for inspections must be made 24 hours in advance via telephone or email. See page two of the permit. 26 rows minor building permit application: To its east, warwick is bordered by the town of. Town Of Warwick Ny Building Permit.
From wvcwinterswijk.nl
Warwick Ny Zip Code Map United States Map Town Of Warwick Ny Building Permit *please scroll to the bottom of this page for a list of forms related to planning, zoning, and architectural & historic district review board. At village hall, 77 main street, warwick, ny 10990. 8:00 am to 4:00 pm. The town of warwick building department issues building permits & code enforcement in warwick ny. The warwick building department, located at 77. Town Of Warwick Ny Building Permit.
From villageofwarwick.org
Village Comprehensive Plan, Code, Planning and Zoning Village of Warwick Town Of Warwick Ny Building Permit 8:00 am to 4:00 pm. 26 rows minor building permit application: The town of warwick building department issues building permits & code enforcement in warwick ny. The village of warwick planning board meets the 2nd tuesday of the month at 7:30 p.m. At village hall, 77 main street, warwick, ny 10990. Seal of the town of. To its east, warwick. Town Of Warwick Ny Building Permit.
From warwickonline.com
NOTICE CITY OF WARWICK PUBLIC HEARING Warwick Beacon Town Of Warwick Ny Building Permit See page two of the permit. *please scroll to the bottom of this page for a list of forms related to planning, zoning, and architectural & historic district review board. Seal of the town of. The building department also oversees the issuance of 911 addressing, building permits for renovations or additions, and certificates of occupancy, which. The village of warwick. Town Of Warwick Ny Building Permit.
From www.wvdispatch.com
Warwick Town Hall Open to the Public The Warwick Valley Dispatch Town Of Warwick Ny Building Permit The warwick building department, located at 77 main street in warwick, new york, is responsible for reviewing and approving building, electrical,. At village hall, 77 main street, warwick, ny 10990. *please scroll to the bottom of this page for a list of forms related to planning, zoning, and architectural & historic district review board. The building department also oversees the. Town Of Warwick Ny Building Permit.
From frankelfoot.com
Warwick, NY Fun Adventures and Places You Need to Know Town Of Warwick Ny Building Permit The building department also oversees the issuance of 911 addressing, building permits for renovations or additions, and certificates of occupancy, which. The warwick building department, located at 77 main street in warwick, new york, is responsible for reviewing and approving building, electrical,. Seal of the town of. 8:00 am to 4:00 pm. The village of warwick planning board meets the. Town Of Warwick Ny Building Permit.
From villageofwarwick.org
The Town of Warwick Police Department Awarded the “Certificate of Town Of Warwick Ny Building Permit The warwick building department, located at 77 main street in warwick, new york, is responsible for reviewing and approving building, electrical,. The building department also oversees the issuance of 911 addressing, building permits for renovations or additions, and certificates of occupancy, which. The town of warwick building department issues building permits & code enforcement in warwick ny. Seal of the. Town Of Warwick Ny Building Permit.
From www.townofwarwick.org
About The Town of Warwick, NY On Video (with captions) Town of Warwick Town Of Warwick Ny Building Permit To its east, warwick is bordered by the town of tuxedo, home of the new york renaissance faire, and the hamlet of tuxedo park. See page two of the permit. The village of warwick planning board meets the 2nd tuesday of the month at 7:30 p.m. 26 rows minor building permit application: 8:00 am to 4:00 pm. Seal of the. Town Of Warwick Ny Building Permit.
From en.wikipedia.org
Warwick (village), New York Wikipedia Town Of Warwick Ny Building Permit The warwick building department, located at 77 main street in warwick, new york, is responsible for reviewing and approving building, electrical,. To its east, warwick is bordered by the town of tuxedo, home of the new york renaissance faire, and the hamlet of tuxedo park. *please scroll to the bottom of this page for a list of forms related to. Town Of Warwick Ny Building Permit.
From www.signnow.com
Building Permit Template Complete with ease airSlate SignNow Town Of Warwick Ny Building Permit See page two of the permit. Seal of the town of. 26 rows minor building permit application: At village hall, 77 main street, warwick, ny 10990. The building department also oversees the issuance of 911 addressing, building permits for renovations or additions, and certificates of occupancy, which. Requests for inspections must be made 24 hours in advance via telephone or. Town Of Warwick Ny Building Permit.