Life Expectancy In Us Standard Deviation . The pandemic contributed to the decline in life expectancy, but there were other causes: Longevity in the united states. As shown in the chart above, 71% of these women are projected to have a lifespan within 8 years of the mean when they die. Over the past 160 years, life expectancy (from birth) in the united states has risen from 39.4 years in 1860, to 78.9 years in 2020. Chronic illness including heart disease,. In the united states, life expectancy at birth has dramatically improved in the past several. That is, between the ages of 81 years and 97 years. Provisional 2021 life expectancy estimates are compared with final estimates for years 2019 and 2020 to describe changes in life expectancy in. One of the major reasons for the overall. Life expectancy at birth, age 65, and age 75, by sex, race, and hispanic origin:
from www.researchgate.net
Over the past 160 years, life expectancy (from birth) in the united states has risen from 39.4 years in 1860, to 78.9 years in 2020. One of the major reasons for the overall. As shown in the chart above, 71% of these women are projected to have a lifespan within 8 years of the mean when they die. That is, between the ages of 81 years and 97 years. Longevity in the united states. Provisional 2021 life expectancy estimates are compared with final estimates for years 2019 and 2020 to describe changes in life expectancy in. In the united states, life expectancy at birth has dramatically improved in the past several. Life expectancy at birth, age 65, and age 75, by sex, race, and hispanic origin: The pandemic contributed to the decline in life expectancy, but there were other causes: Chronic illness including heart disease,.
Life expectancy and lifespan inequality (standard deviation of ages at
Life Expectancy In Us Standard Deviation As shown in the chart above, 71% of these women are projected to have a lifespan within 8 years of the mean when they die. Longevity in the united states. Provisional 2021 life expectancy estimates are compared with final estimates for years 2019 and 2020 to describe changes in life expectancy in. As shown in the chart above, 71% of these women are projected to have a lifespan within 8 years of the mean when they die. That is, between the ages of 81 years and 97 years. In the united states, life expectancy at birth has dramatically improved in the past several. Over the past 160 years, life expectancy (from birth) in the united states has risen from 39.4 years in 1860, to 78.9 years in 2020. One of the major reasons for the overall. Chronic illness including heart disease,. Life expectancy at birth, age 65, and age 75, by sex, race, and hispanic origin: The pandemic contributed to the decline in life expectancy, but there were other causes:
From www.statista.com
Chart U.S. Life Expectancy Hits Lowest Point Since 1996 Statista Life Expectancy In Us Standard Deviation Provisional 2021 life expectancy estimates are compared with final estimates for years 2019 and 2020 to describe changes in life expectancy in. The pandemic contributed to the decline in life expectancy, but there were other causes: Over the past 160 years, life expectancy (from birth) in the united states has risen from 39.4 years in 1860, to 78.9 years in. Life Expectancy In Us Standard Deviation.
From www.scientificamerican.com
Why Life Expectancy Keeps Dropping in the U.S. as Other Countries Life Expectancy In Us Standard Deviation Over the past 160 years, life expectancy (from birth) in the united states has risen from 39.4 years in 1860, to 78.9 years in 2020. Life expectancy at birth, age 65, and age 75, by sex, race, and hispanic origin: One of the major reasons for the overall. The pandemic contributed to the decline in life expectancy, but there were. Life Expectancy In Us Standard Deviation.
From www.washingtonpost.com
U.S. life expectancy declines for the first time since 1993 The Life Expectancy In Us Standard Deviation Provisional 2021 life expectancy estimates are compared with final estimates for years 2019 and 2020 to describe changes in life expectancy in. In the united states, life expectancy at birth has dramatically improved in the past several. Life expectancy at birth, age 65, and age 75, by sex, race, and hispanic origin: Longevity in the united states. That is, between. Life Expectancy In Us Standard Deviation.
From www.thelancet.com
Life expectancy by county, race, and ethnicity in the USA, 200019 a Life Expectancy In Us Standard Deviation As shown in the chart above, 71% of these women are projected to have a lifespan within 8 years of the mean when they die. Chronic illness including heart disease,. In the united states, life expectancy at birth has dramatically improved in the past several. The pandemic contributed to the decline in life expectancy, but there were other causes: One. Life Expectancy In Us Standard Deviation.
From www.researchgate.net
Life expectancy trends in the U.S. and Washington D.C. for nonHispanic Life Expectancy In Us Standard Deviation Life expectancy at birth, age 65, and age 75, by sex, race, and hispanic origin: Provisional 2021 life expectancy estimates are compared with final estimates for years 2019 and 2020 to describe changes in life expectancy in. Longevity in the united states. The pandemic contributed to the decline in life expectancy, but there were other causes: As shown in the. Life Expectancy In Us Standard Deviation.
From www.reddit.com
[4370x2750] Life Expectancy by US State MapPorn Life Expectancy In Us Standard Deviation That is, between the ages of 81 years and 97 years. In the united states, life expectancy at birth has dramatically improved in the past several. Over the past 160 years, life expectancy (from birth) in the united states has risen from 39.4 years in 1860, to 78.9 years in 2020. As shown in the chart above, 71% of these. Life Expectancy In Us Standard Deviation.
From www.researchgate.net
Life expectancy and lifespan inequality (standard deviation of ages at Life Expectancy In Us Standard Deviation Chronic illness including heart disease,. Longevity in the united states. The pandemic contributed to the decline in life expectancy, but there were other causes: That is, between the ages of 81 years and 97 years. One of the major reasons for the overall. Provisional 2021 life expectancy estimates are compared with final estimates for years 2019 and 2020 to describe. Life Expectancy In Us Standard Deviation.
From mavink.com
Life Expectancy Chart For Men Life Expectancy In Us Standard Deviation That is, between the ages of 81 years and 97 years. As shown in the chart above, 71% of these women are projected to have a lifespan within 8 years of the mean when they die. The pandemic contributed to the decline in life expectancy, but there were other causes: Longevity in the united states. In the united states, life. Life Expectancy In Us Standard Deviation.
From www.breezyscroll.com
The real reason behind the US's massive drop in life expectancy Life Expectancy In Us Standard Deviation In the united states, life expectancy at birth has dramatically improved in the past several. Over the past 160 years, life expectancy (from birth) in the united states has risen from 39.4 years in 1860, to 78.9 years in 2020. The pandemic contributed to the decline in life expectancy, but there were other causes: As shown in the chart above,. Life Expectancy In Us Standard Deviation.
From ourworldindata.org
Life Expectancy Our World in Data Life Expectancy In Us Standard Deviation Over the past 160 years, life expectancy (from birth) in the united states has risen from 39.4 years in 1860, to 78.9 years in 2020. Longevity in the united states. Life expectancy at birth, age 65, and age 75, by sex, race, and hispanic origin: Provisional 2021 life expectancy estimates are compared with final estimates for years 2019 and 2020. Life Expectancy In Us Standard Deviation.
From www.scientificamerican.com
The U.S. Just Lost 26 Years' Worth of Progress on Life Expectancy Life Expectancy In Us Standard Deviation Chronic illness including heart disease,. Longevity in the united states. As shown in the chart above, 71% of these women are projected to have a lifespan within 8 years of the mean when they die. In the united states, life expectancy at birth has dramatically improved in the past several. That is, between the ages of 81 years and 97. Life Expectancy In Us Standard Deviation.
From www.researchgate.net
Standard deviation of life expectancy, males and females, 19852010 Life Expectancy In Us Standard Deviation One of the major reasons for the overall. Longevity in the united states. That is, between the ages of 81 years and 97 years. In the united states, life expectancy at birth has dramatically improved in the past several. Over the past 160 years, life expectancy (from birth) in the united states has risen from 39.4 years in 1860, to. Life Expectancy In Us Standard Deviation.
From www.researchgate.net
Trends in life expectancy (a) and standard deviation of age at death Life Expectancy In Us Standard Deviation In the united states, life expectancy at birth has dramatically improved in the past several. Longevity in the united states. Life expectancy at birth, age 65, and age 75, by sex, race, and hispanic origin: One of the major reasons for the overall. Over the past 160 years, life expectancy (from birth) in the united states has risen from 39.4. Life Expectancy In Us Standard Deviation.
From libraryguides.ccbcmd.edu
General Information Life Expectancy Gaps US and Baltimore Research Life Expectancy In Us Standard Deviation The pandemic contributed to the decline in life expectancy, but there were other causes: Life expectancy at birth, age 65, and age 75, by sex, race, and hispanic origin: Chronic illness including heart disease,. In the united states, life expectancy at birth has dramatically improved in the past several. Over the past 160 years, life expectancy (from birth) in the. Life Expectancy In Us Standard Deviation.
From www.researchgate.net
Average life expectancy given current age Download Table Life Expectancy In Us Standard Deviation Over the past 160 years, life expectancy (from birth) in the united states has risen from 39.4 years in 1860, to 78.9 years in 2020. As shown in the chart above, 71% of these women are projected to have a lifespan within 8 years of the mean when they die. Life expectancy at birth, age 65, and age 75, by. Life Expectancy In Us Standard Deviation.
From wrrv.com
US Life Expectancy Falls to Lowest Rates in Over 25 Years Life Expectancy In Us Standard Deviation Chronic illness including heart disease,. Longevity in the united states. Provisional 2021 life expectancy estimates are compared with final estimates for years 2019 and 2020 to describe changes in life expectancy in. The pandemic contributed to the decline in life expectancy, but there were other causes: One of the major reasons for the overall. That is, between the ages of. Life Expectancy In Us Standard Deviation.
From www.vrogue.co
What Is Bell Curve Explained Bell Curve With Standard Deviation Vrogue Life Expectancy In Us Standard Deviation Life expectancy at birth, age 65, and age 75, by sex, race, and hispanic origin: Over the past 160 years, life expectancy (from birth) in the united states has risen from 39.4 years in 1860, to 78.9 years in 2020. Chronic illness including heart disease,. In the united states, life expectancy at birth has dramatically improved in the past several.. Life Expectancy In Us Standard Deviation.
From thesoundingline.com
US Life Expectancy Increases for the First Time Since 2014 The Life Expectancy In Us Standard Deviation In the united states, life expectancy at birth has dramatically improved in the past several. Chronic illness including heart disease,. One of the major reasons for the overall. As shown in the chart above, 71% of these women are projected to have a lifespan within 8 years of the mean when they die. Longevity in the united states. Over the. Life Expectancy In Us Standard Deviation.
From www.reddit.com
U.S. Life Expectancy by Age [OC] r/dataisbeautiful Life Expectancy In Us Standard Deviation In the united states, life expectancy at birth has dramatically improved in the past several. That is, between the ages of 81 years and 97 years. Life expectancy at birth, age 65, and age 75, by sex, race, and hispanic origin: Longevity in the united states. Over the past 160 years, life expectancy (from birth) in the united states has. Life Expectancy In Us Standard Deviation.
From www.numerade.com
SOLVED Name The average life expectancy of people in the United Life Expectancy In Us Standard Deviation That is, between the ages of 81 years and 97 years. Chronic illness including heart disease,. Over the past 160 years, life expectancy (from birth) in the united states has risen from 39.4 years in 1860, to 78.9 years in 2020. One of the major reasons for the overall. The pandemic contributed to the decline in life expectancy, but there. Life Expectancy In Us Standard Deviation.
From www.statnews.com
U.S. life expectancy fell by a year in the first half of 2020, CDC Life Expectancy In Us Standard Deviation As shown in the chart above, 71% of these women are projected to have a lifespan within 8 years of the mean when they die. The pandemic contributed to the decline in life expectancy, but there were other causes: In the united states, life expectancy at birth has dramatically improved in the past several. That is, between the ages of. Life Expectancy In Us Standard Deviation.
From www.researchgate.net
Life expectancy and lifespan inequality (standard deviation of ages at Life Expectancy In Us Standard Deviation One of the major reasons for the overall. Provisional 2021 life expectancy estimates are compared with final estimates for years 2019 and 2020 to describe changes in life expectancy in. Over the past 160 years, life expectancy (from birth) in the united states has risen from 39.4 years in 1860, to 78.9 years in 2020. Chronic illness including heart disease,.. Life Expectancy In Us Standard Deviation.
From www.researchgate.net
Life expectancy and lifespan inequality (standard deviation of ages at Life Expectancy In Us Standard Deviation Over the past 160 years, life expectancy (from birth) in the united states has risen from 39.4 years in 1860, to 78.9 years in 2020. Longevity in the united states. Chronic illness including heart disease,. Life expectancy at birth, age 65, and age 75, by sex, race, and hispanic origin: One of the major reasons for the overall. As shown. Life Expectancy In Us Standard Deviation.
From kottke.org
CDC Report Shows Steep Drop in US Life Expectancy in 2020 Life Expectancy In Us Standard Deviation That is, between the ages of 81 years and 97 years. Provisional 2021 life expectancy estimates are compared with final estimates for years 2019 and 2020 to describe changes in life expectancy in. As shown in the chart above, 71% of these women are projected to have a lifespan within 8 years of the mean when they die. In the. Life Expectancy In Us Standard Deviation.
From siepr.stanford.edu
Life Expectancy and Inequality in Life Expectancy in the United States Life Expectancy In Us Standard Deviation Over the past 160 years, life expectancy (from birth) in the united states has risen from 39.4 years in 1860, to 78.9 years in 2020. Provisional 2021 life expectancy estimates are compared with final estimates for years 2019 and 2020 to describe changes in life expectancy in. Chronic illness including heart disease,. Life expectancy at birth, age 65, and age. Life Expectancy In Us Standard Deviation.
From www.jlcatj.gob.mx
Table Of Standard Deviation Online Buy, Save 58 jlcatj.gob.mx Life Expectancy In Us Standard Deviation In the united states, life expectancy at birth has dramatically improved in the past several. As shown in the chart above, 71% of these women are projected to have a lifespan within 8 years of the mean when they die. Chronic illness including heart disease,. Life expectancy at birth, age 65, and age 75, by sex, race, and hispanic origin:. Life Expectancy In Us Standard Deviation.
From www.demogr.mpg.de
MPIDR Low Regional Inequalities in Life Expectancy by International Life Expectancy In Us Standard Deviation Provisional 2021 life expectancy estimates are compared with final estimates for years 2019 and 2020 to describe changes in life expectancy in. The pandemic contributed to the decline in life expectancy, but there were other causes: In the united states, life expectancy at birth has dramatically improved in the past several. As shown in the chart above, 71% of these. Life Expectancy In Us Standard Deviation.
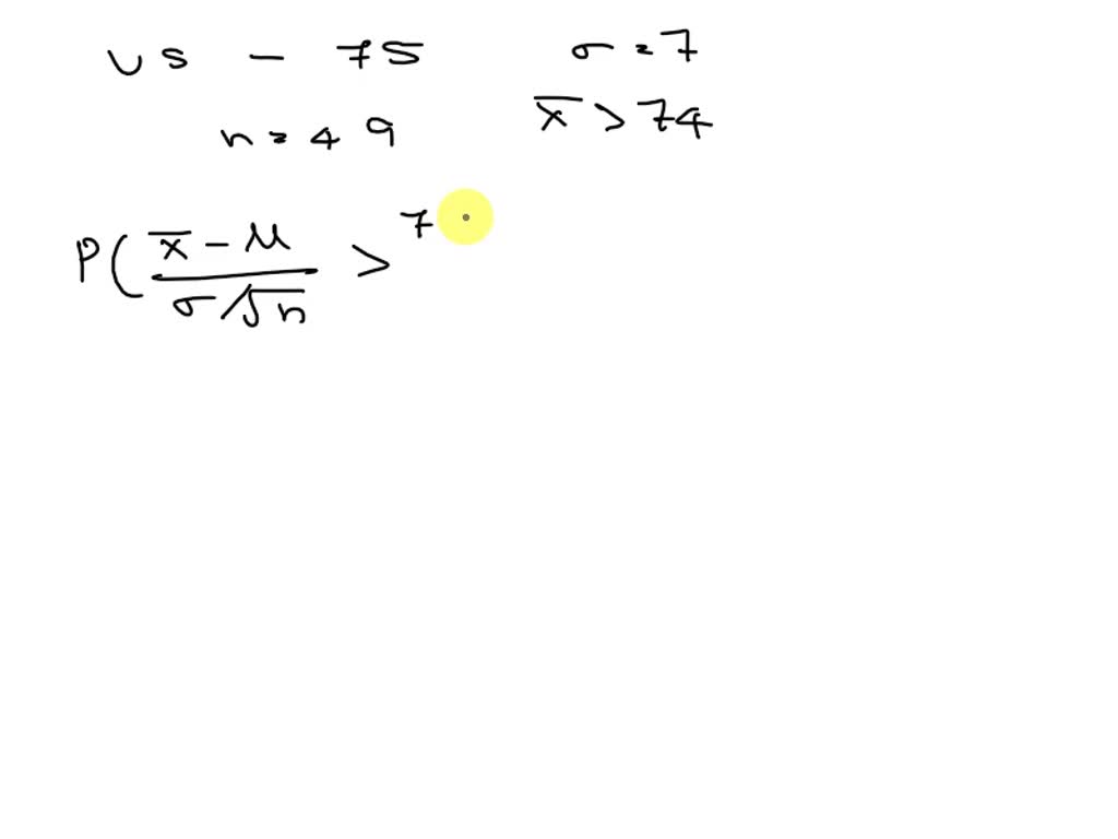
From www.numerade.com
SOLVED The life expectancy in the United States is 75 with a standard Life Expectancy In Us Standard Deviation Chronic illness including heart disease,. Over the past 160 years, life expectancy (from birth) in the united states has risen from 39.4 years in 1860, to 78.9 years in 2020. Longevity in the united states. As shown in the chart above, 71% of these women are projected to have a lifespan within 8 years of the mean when they die.. Life Expectancy In Us Standard Deviation.
From www.researchgate.net
Trends in life expectancy (a) and standard deviation of age at death Life Expectancy In Us Standard Deviation As shown in the chart above, 71% of these women are projected to have a lifespan within 8 years of the mean when they die. That is, between the ages of 81 years and 97 years. Over the past 160 years, life expectancy (from birth) in the united states has risen from 39.4 years in 1860, to 78.9 years in. Life Expectancy In Us Standard Deviation.
From anthonywilliamspage.weebly.com
Lets Increase Life Expectancy in America in 2018 A New Year for Opioids Life Expectancy In Us Standard Deviation In the united states, life expectancy at birth has dramatically improved in the past several. One of the major reasons for the overall. Life expectancy at birth, age 65, and age 75, by sex, race, and hispanic origin: As shown in the chart above, 71% of these women are projected to have a lifespan within 8 years of the mean. Life Expectancy In Us Standard Deviation.
From boingboing.net
America's lifeexpectancy widens precipitously Boing Boing Life Expectancy In Us Standard Deviation One of the major reasons for the overall. Life expectancy at birth, age 65, and age 75, by sex, race, and hispanic origin: Chronic illness including heart disease,. The pandemic contributed to the decline in life expectancy, but there were other causes: That is, between the ages of 81 years and 97 years. In the united states, life expectancy at. Life Expectancy In Us Standard Deviation.
From www.actuaries.digital
Standard deviation around life expectancy is eight years What this Life Expectancy In Us Standard Deviation Provisional 2021 life expectancy estimates are compared with final estimates for years 2019 and 2020 to describe changes in life expectancy in. In the united states, life expectancy at birth has dramatically improved in the past several. Life expectancy at birth, age 65, and age 75, by sex, race, and hispanic origin: Longevity in the united states. Over the past. Life Expectancy In Us Standard Deviation.
From www.youtube.com
CDC U.S. life expectancy is declining, with COVID19 a key factor Life Expectancy In Us Standard Deviation Provisional 2021 life expectancy estimates are compared with final estimates for years 2019 and 2020 to describe changes in life expectancy in. Over the past 160 years, life expectancy (from birth) in the united states has risen from 39.4 years in 1860, to 78.9 years in 2020. That is, between the ages of 81 years and 97 years. In the. Life Expectancy In Us Standard Deviation.
From www.reddit.com
Average life expectancy in the united states r/MapPorn Life Expectancy In Us Standard Deviation In the united states, life expectancy at birth has dramatically improved in the past several. Longevity in the united states. Over the past 160 years, life expectancy (from birth) in the united states has risen from 39.4 years in 1860, to 78.9 years in 2020. That is, between the ages of 81 years and 97 years. Provisional 2021 life expectancy. Life Expectancy In Us Standard Deviation.
From vividmaps.com
Life expectancy in the United States Vivid Maps Life Expectancy In Us Standard Deviation Life expectancy at birth, age 65, and age 75, by sex, race, and hispanic origin: As shown in the chart above, 71% of these women are projected to have a lifespan within 8 years of the mean when they die. Provisional 2021 life expectancy estimates are compared with final estimates for years 2019 and 2020 to describe changes in life. Life Expectancy In Us Standard Deviation.