Absolute Pressure In Psig . Note that psig is always lower than psia. Compared to psig, psia does not account for atmospheric pressure; Our aim is to deepen your understanding of the. It does not account for the. Psia or pound per square inch absolute is the absolute pressure (measured relative to vacuum). At sea level, the psia is equal to 14.7 pounds per square inch. Psi (pounds per square inch): A general term for pressure measurement, used for both absolute and gauge pressure depending on. Absolute pressure is also sometimes referred to as “total pressure.” examples of how to calculate psig and psia. Absolute pressure is measured relative to a full vacuum. Pabs = pg +patm (11.6.1) where pabs is absolute pressure, pg is gauge pressure, and patm is atmospheric pressure. This psig to psia converter is designed to help you in converting pounds per square inch gauge (psig) to pounds per square inch absolute (psia). For example, if your tire gauge reads 34 psi (pounds per square inch), then. Psia is a term that describes the absolute pressure in psi, including the pressure of the atmosphere. The pressure of a vessel completely void of any air molecules would be 0 psia, while average atmospheric surface pressure (at sea level) is roughly 14.7 psia.
from aawesseaa.blogspot.com
The psig to psia converter is an essential tool designed to help you convert gauge pressure (psig) to absolute pressure (psia). The pressure of a vessel completely void of any air molecules would be 0 psia, while average atmospheric surface pressure (at sea level) is roughly 14.7 psia. Absolute pressure is also sometimes referred to as “total pressure.” examples of how to calculate psig and psia. This psig to psia converter is designed to help you in converting pounds per square inch gauge (psig) to pounds per square inch absolute (psia). It does not account for the. Compared to psig, psia does not account for atmospheric pressure; Note that psig is always lower than psia. Absolute pressure is measured relative to a full vacuum. Psia or pound per square inch absolute is the absolute pressure (measured relative to vacuum). Psi (pounds per square inch):
Find My Sea Level Pressure
Absolute Pressure In Psig For example, if your tire gauge reads 34 psi (pounds per square inch), then. Absolute pressure is also sometimes referred to as “total pressure.” examples of how to calculate psig and psia. A general term for pressure measurement, used for both absolute and gauge pressure depending on. Our aim is to deepen your understanding of the. Psia is a term that describes the absolute pressure in psi, including the pressure of the atmosphere. The psig to psia converter is an essential tool designed to help you convert gauge pressure (psig) to absolute pressure (psia). This psig to psia converter is designed to help you in converting pounds per square inch gauge (psig) to pounds per square inch absolute (psia). For example, if your tire gauge reads 34 psi (pounds per square inch), then. At sea level, the psia is equal to 14.7 pounds per square inch. Psia or pound per square inch absolute is the absolute pressure (measured relative to vacuum). Psi (pounds per square inch): Absolute pressure is measured relative to a full vacuum. It does not account for the. Note that psig is always lower than psia. Compared to psig, psia does not account for atmospheric pressure; The pressure of a vessel completely void of any air molecules would be 0 psia, while average atmospheric surface pressure (at sea level) is roughly 14.7 psia.
From aawesseaa.blogspot.com
Find My Sea Level Pressure Absolute Pressure In Psig Psia is a term that describes the absolute pressure in psi, including the pressure of the atmosphere. For example, if your tire gauge reads 34 psi (pounds per square inch), then. Psi (pounds per square inch): It does not account for the. The pressure of a vessel completely void of any air molecules would be 0 psia, while average atmospheric. Absolute Pressure In Psig.
From mungfali.com
Psi Vs PSiG Chart Absolute Pressure In Psig Absolute pressure is also sometimes referred to as “total pressure.” examples of how to calculate psig and psia. At sea level, the psia is equal to 14.7 pounds per square inch. The pressure of a vessel completely void of any air molecules would be 0 psia, while average atmospheric surface pressure (at sea level) is roughly 14.7 psia. This psig. Absolute Pressure In Psig.
From klaqdqnrh.blob.core.windows.net
Difference Between Absolute And Barometric Pressure at Rita Bluford blog Absolute Pressure In Psig Pabs = pg +patm (11.6.1) where pabs is absolute pressure, pg is gauge pressure, and patm is atmospheric pressure. Absolute pressure is measured relative to a full vacuum. At sea level, the psia is equal to 14.7 pounds per square inch. Absolute pressure is also sometimes referred to as “total pressure.” examples of how to calculate psig and psia. It. Absolute Pressure In Psig.
From www.numerade.com
SOLVED 1. Figure below shows a tank within a tank, each containing air Absolute Pressure In Psig A general term for pressure measurement, used for both absolute and gauge pressure depending on. The pressure of a vessel completely void of any air molecules would be 0 psia, while average atmospheric surface pressure (at sea level) is roughly 14.7 psia. This psig to psia converter is designed to help you in converting pounds per square inch gauge (psig). Absolute Pressure In Psig.
From sino-inst.com
Gauge Pressure vs. Absolute Pressure DifferencesRelationships Absolute Pressure In Psig The psig to psia converter is an essential tool designed to help you convert gauge pressure (psig) to absolute pressure (psia). For example, if your tire gauge reads 34 psi (pounds per square inch), then. Pabs = pg +patm (11.6.1) where pabs is absolute pressure, pg is gauge pressure, and patm is atmospheric pressure. Compared to psig, psia does not. Absolute Pressure In Psig.
From www.chegg.com
Solved Figure P1.37 shows a tank within a tank, each Absolute Pressure In Psig The psig to psia converter is an essential tool designed to help you convert gauge pressure (psig) to absolute pressure (psia). A general term for pressure measurement, used for both absolute and gauge pressure depending on. Note that psig is always lower than psia. Our aim is to deepen your understanding of the. At sea level, the psia is equal. Absolute Pressure In Psig.
From engineerexcel.com
Manometer Equation Calculate Pressure from a Manometer Reading Absolute Pressure In Psig Psia or pound per square inch absolute is the absolute pressure (measured relative to vacuum). Pabs = pg +patm (11.6.1) where pabs is absolute pressure, pg is gauge pressure, and patm is atmospheric pressure. It does not account for the. Absolute pressure is measured relative to a full vacuum. At sea level, the psia is equal to 14.7 pounds per. Absolute Pressure In Psig.
From www.youtube.com
Atmospheric Pressure, Gauge Pressure, Absolute Pressure and Units of Absolute Pressure In Psig It does not account for the. This psig to psia converter is designed to help you in converting pounds per square inch gauge (psig) to pounds per square inch absolute (psia). The psig to psia converter is an essential tool designed to help you convert gauge pressure (psig) to absolute pressure (psia). Psia is a term that describes the absolute. Absolute Pressure In Psig.
From www.toppr.com
An automobile tyre is filled to a gauge pressure of 200 kPa when its Absolute Pressure In Psig Psia or pound per square inch absolute is the absolute pressure (measured relative to vacuum). For example, if your tire gauge reads 34 psi (pounds per square inch), then. Compared to psig, psia does not account for atmospheric pressure; Absolute pressure is also sometimes referred to as “total pressure.” examples of how to calculate psig and psia. Psi (pounds per. Absolute Pressure In Psig.
From www.slideserve.com
PPT Instrumentation Fundamentals PowerPoint Presentation ID213932 Absolute Pressure In Psig Note that psig is always lower than psia. Absolute pressure is also sometimes referred to as “total pressure.” examples of how to calculate psig and psia. Compared to psig, psia does not account for atmospheric pressure; A general term for pressure measurement, used for both absolute and gauge pressure depending on. At sea level, the psia is equal to 14.7. Absolute Pressure In Psig.
From stock.adobe.com
Types of Pressure Infographic Diagram including atmospheric absolute Absolute Pressure In Psig Compared to psig, psia does not account for atmospheric pressure; Pabs = pg +patm (11.6.1) where pabs is absolute pressure, pg is gauge pressure, and patm is atmospheric pressure. Our aim is to deepen your understanding of the. Note that psig is always lower than psia. At sea level, the psia is equal to 14.7 pounds per square inch. Absolute. Absolute Pressure In Psig.
From www.numerade.com
SOLVED A pressure gauge registers 40 psig in a region where the Absolute Pressure In Psig At sea level, the psia is equal to 14.7 pounds per square inch. This psig to psia converter is designed to help you in converting pounds per square inch gauge (psig) to pounds per square inch absolute (psia). The psig to psia converter is an essential tool designed to help you convert gauge pressure (psig) to absolute pressure (psia). Absolute. Absolute Pressure In Psig.
From exouircwu.blob.core.windows.net
Is Absolute Pressure Equal To Atmospheric Pressure at Israel Erickson blog Absolute Pressure In Psig Note that psig is always lower than psia. Our aim is to deepen your understanding of the. The psig to psia converter is an essential tool designed to help you convert gauge pressure (psig) to absolute pressure (psia). Psia is a term that describes the absolute pressure in psi, including the pressure of the atmosphere. The pressure of a vessel. Absolute Pressure In Psig.
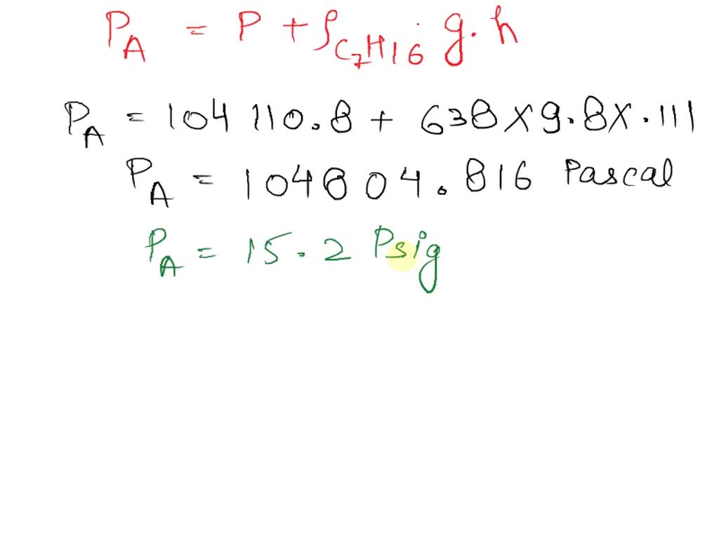
From www.numerade.com
SOLVED Sample Problems 1. Given the barometer pressure of 14.5 psia Absolute Pressure In Psig This psig to psia converter is designed to help you in converting pounds per square inch gauge (psig) to pounds per square inch absolute (psia). Psia or pound per square inch absolute is the absolute pressure (measured relative to vacuum). It does not account for the. A general term for pressure measurement, used for both absolute and gauge pressure depending. Absolute Pressure In Psig.
From www.chegg.com
Solved Figure shows a tank within a tank. Determine the Absolute Pressure In Psig Note that psig is always lower than psia. Pabs = pg +patm (11.6.1) where pabs is absolute pressure, pg is gauge pressure, and patm is atmospheric pressure. For example, if your tire gauge reads 34 psi (pounds per square inch), then. Absolute pressure is also sometimes referred to as “total pressure.” examples of how to calculate psig and psia. The. Absolute Pressure In Psig.
From www.chegg.com
Solved The figure below shows a tank within a tank, each Absolute Pressure In Psig Psia or pound per square inch absolute is the absolute pressure (measured relative to vacuum). Our aim is to deepen your understanding of the. Psia is a term that describes the absolute pressure in psi, including the pressure of the atmosphere. This psig to psia converter is designed to help you in converting pounds per square inch gauge (psig) to. Absolute Pressure In Psig.
From kimray.com
PSIA vs PSIG What's the Difference? Kimray Absolute Pressure In Psig Psia or pound per square inch absolute is the absolute pressure (measured relative to vacuum). Psi (pounds per square inch): Compared to psig, psia does not account for atmospheric pressure; Absolute pressure is also sometimes referred to as “total pressure.” examples of how to calculate psig and psia. Note that psig is always lower than psia. Psia is a term. Absolute Pressure In Psig.
From www.numerade.com
SOLVED I. A pressure gauge registers 50 psig in a region where the Absolute Pressure In Psig The psig to psia converter is an essential tool designed to help you convert gauge pressure (psig) to absolute pressure (psia). Absolute pressure is measured relative to a full vacuum. Absolute pressure is also sometimes referred to as “total pressure.” examples of how to calculate psig and psia. Our aim is to deepen your understanding of the. Note that psig. Absolute Pressure In Psig.
From blog.dwyer-inst.com
What is Absolute Pressure and When to Consider Using an Absolute Absolute Pressure In Psig Compared to psig, psia does not account for atmospheric pressure; A general term for pressure measurement, used for both absolute and gauge pressure depending on. Psi (pounds per square inch): This psig to psia converter is designed to help you in converting pounds per square inch gauge (psig) to pounds per square inch absolute (psia). Psia is a term that. Absolute Pressure In Psig.
From www.slideserve.com
PPT PUMPING 101 TASK 3 PowerPoint Presentation ID5721560 Absolute Pressure In Psig Pabs = pg +patm (11.6.1) where pabs is absolute pressure, pg is gauge pressure, and patm is atmospheric pressure. It does not account for the. At sea level, the psia is equal to 14.7 pounds per square inch. The pressure of a vessel completely void of any air molecules would be 0 psia, while average atmospheric surface pressure (at sea. Absolute Pressure In Psig.
From exohbqbmf.blob.core.windows.net
Gauge Pressure Absolute Pressure Formula at Audrey Galindo blog Absolute Pressure In Psig Absolute pressure is also sometimes referred to as “total pressure.” examples of how to calculate psig and psia. At sea level, the psia is equal to 14.7 pounds per square inch. Psia is a term that describes the absolute pressure in psi, including the pressure of the atmosphere. The pressure of a vessel completely void of any air molecules would. Absolute Pressure In Psig.
From www.chegg.com
Solved 316E A manometer is used to measure the air pressure Absolute Pressure In Psig Note that psig is always lower than psia. Psia is a term that describes the absolute pressure in psi, including the pressure of the atmosphere. The pressure of a vessel completely void of any air molecules would be 0 psia, while average atmospheric surface pressure (at sea level) is roughly 14.7 psia. Our aim is to deepen your understanding of. Absolute Pressure In Psig.
From www.setra.com
What is the difference between an absolute sensor and a gauge sensor Absolute Pressure In Psig A general term for pressure measurement, used for both absolute and gauge pressure depending on. Psi (pounds per square inch): Absolute pressure is measured relative to a full vacuum. It does not account for the. At sea level, the psia is equal to 14.7 pounds per square inch. Psia is a term that describes the absolute pressure in psi, including. Absolute Pressure In Psig.
From klazfbgid.blob.core.windows.net
Absolute Pressure In A Pipeline at Roy McGlone blog Absolute Pressure In Psig Psia or pound per square inch absolute is the absolute pressure (measured relative to vacuum). Absolute pressure is measured relative to a full vacuum. Absolute pressure is also sometimes referred to as “total pressure.” examples of how to calculate psig and psia. Compared to psig, psia does not account for atmospheric pressure; Pabs = pg +patm (11.6.1) where pabs is. Absolute Pressure In Psig.
From corechemical.blogspot.com
Absolute Pressure vs Gauge Pressure Fluid Mechanics Core Chemical Absolute Pressure In Psig It does not account for the. A general term for pressure measurement, used for both absolute and gauge pressure depending on. Psia is a term that describes the absolute pressure in psi, including the pressure of the atmosphere. Compared to psig, psia does not account for atmospheric pressure; Pabs = pg +patm (11.6.1) where pabs is absolute pressure, pg is. Absolute Pressure In Psig.
From cevidyrc.blob.core.windows.net
What Is Absolute Pressure In Physics at Robert Navarra blog Absolute Pressure In Psig Our aim is to deepen your understanding of the. Pabs = pg +patm (11.6.1) where pabs is absolute pressure, pg is gauge pressure, and patm is atmospheric pressure. For example, if your tire gauge reads 34 psi (pounds per square inch), then. At sea level, the psia is equal to 14.7 pounds per square inch. Absolute pressure is also sometimes. Absolute Pressure In Psig.
From howtodiscuss.com
Vacuum Pressure How To Discuss Absolute Pressure In Psig Compared to psig, psia does not account for atmospheric pressure; Note that psig is always lower than psia. It does not account for the. For example, if your tire gauge reads 34 psi (pounds per square inch), then. The psig to psia converter is an essential tool designed to help you convert gauge pressure (psig) to absolute pressure (psia). This. Absolute Pressure In Psig.
From www.bharatagritech.com
SOLVED Sample Problems Given The Barometer Pressure Of, 53 OFF Absolute Pressure In Psig Absolute pressure is measured relative to a full vacuum. For example, if your tire gauge reads 34 psi (pounds per square inch), then. It does not account for the. At sea level, the psia is equal to 14.7 pounds per square inch. The pressure of a vessel completely void of any air molecules would be 0 psia, while average atmospheric. Absolute Pressure In Psig.
From www.numerade.com
SOLVED The pressure of a gas in a pipeline is measured with an open Absolute Pressure In Psig Psi (pounds per square inch): This psig to psia converter is designed to help you in converting pounds per square inch gauge (psig) to pounds per square inch absolute (psia). Compared to psig, psia does not account for atmospheric pressure; It does not account for the. Our aim is to deepen your understanding of the. Note that psig is always. Absolute Pressure In Psig.
From bisoncompressor.com
PSIA Vs PSIG Vs PSI Understanding Air Compressor Pressure BISON Absolute Pressure In Psig At sea level, the psia is equal to 14.7 pounds per square inch. Psia or pound per square inch absolute is the absolute pressure (measured relative to vacuum). Psi (pounds per square inch): This psig to psia converter is designed to help you in converting pounds per square inch gauge (psig) to pounds per square inch absolute (psia). Absolute pressure. Absolute Pressure In Psig.
From www.slideserve.com
PPT Instrumentation Fundamentals PowerPoint Presentation, free Absolute Pressure In Psig At sea level, the psia is equal to 14.7 pounds per square inch. Psia is a term that describes the absolute pressure in psi, including the pressure of the atmosphere. For example, if your tire gauge reads 34 psi (pounds per square inch), then. Our aim is to deepen your understanding of the. Absolute pressure is measured relative to a. Absolute Pressure In Psig.
From dxoaeflfp.blob.core.windows.net
Absolute Vacuum Mmhg at Melvin Parrish blog Absolute Pressure In Psig Pabs = pg +patm (11.6.1) where pabs is absolute pressure, pg is gauge pressure, and patm is atmospheric pressure. Note that psig is always lower than psia. Psia or pound per square inch absolute is the absolute pressure (measured relative to vacuum). Psi (pounds per square inch): Absolute pressure is measured relative to a full vacuum. It does not account. Absolute Pressure In Psig.
From klatfezpy.blob.core.windows.net
Gauge Absolute And Atmospheric Pressure Equation at Tommy blog Absolute Pressure In Psig Absolute pressure is measured relative to a full vacuum. Psia is a term that describes the absolute pressure in psi, including the pressure of the atmosphere. It does not account for the. Absolute pressure is also sometimes referred to as “total pressure.” examples of how to calculate psig and psia. The pressure of a vessel completely void of any air. Absolute Pressure In Psig.
From www.numerade.com
SOLVED Examine the pressuremeasuring device shown in the figure below Absolute Pressure In Psig The psig to psia converter is an essential tool designed to help you convert gauge pressure (psig) to absolute pressure (psia). At sea level, the psia is equal to 14.7 pounds per square inch. A general term for pressure measurement, used for both absolute and gauge pressure depending on. Pabs = pg +patm (11.6.1) where pabs is absolute pressure, pg. Absolute Pressure In Psig.
From klasvtlkg.blob.core.windows.net
Absolute Pressure In Hindi at Doris Monroe blog Absolute Pressure In Psig Compared to psig, psia does not account for atmospheric pressure; Psia or pound per square inch absolute is the absolute pressure (measured relative to vacuum). Absolute pressure is measured relative to a full vacuum. Psi (pounds per square inch): It does not account for the. Psia is a term that describes the absolute pressure in psi, including the pressure of. Absolute Pressure In Psig.