House Rule Xi Clause 3 . The committee shall be entitled to file such views following house rule xi, clause 2(l) and rule xiii, clause 3(a)(1). The house rules and manual contains the fundamental source material for parliamentary procedure used in the house of representatives:. Such standards shall specify procedures for orders of the committee under clause 3 (b) (3) and clause 4 (b) of rule vii, including a requirement that. (1) by the chair and the ranking minority member of the. Rule 5—record votes (a) request. Pursuant to clause 2(j)(2)(c) of rule xi of the rules of the house of representatives, committee may adopt a motion permitting committee staff for its. All committee and subcommittee meetings or hearings which are open to the public may be covered, in whole or in part, by television.
from www.pinterest.co.uk
All committee and subcommittee meetings or hearings which are open to the public may be covered, in whole or in part, by television. Such standards shall specify procedures for orders of the committee under clause 3 (b) (3) and clause 4 (b) of rule vii, including a requirement that. Pursuant to clause 2(j)(2)(c) of rule xi of the rules of the house of representatives, committee may adopt a motion permitting committee staff for its. Rule 5—record votes (a) request. The committee shall be entitled to file such views following house rule xi, clause 2(l) and rule xiii, clause 3(a)(1). (1) by the chair and the ranking minority member of the. The house rules and manual contains the fundamental source material for parliamentary procedure used in the house of representatives:.
kids2learn A4 House Rules Poster Sign Educational Nursery SEN Children
House Rule Xi Clause 3 (1) by the chair and the ranking minority member of the. Such standards shall specify procedures for orders of the committee under clause 3 (b) (3) and clause 4 (b) of rule vii, including a requirement that. Rule 5—record votes (a) request. The house rules and manual contains the fundamental source material for parliamentary procedure used in the house of representatives:. (1) by the chair and the ranking minority member of the. Pursuant to clause 2(j)(2)(c) of rule xi of the rules of the house of representatives, committee may adopt a motion permitting committee staff for its. The committee shall be entitled to file such views following house rule xi, clause 2(l) and rule xiii, clause 3(a)(1). All committee and subcommittee meetings or hearings which are open to the public may be covered, in whole or in part, by television.
From englishgrammarhere.com
If Clause Type 3, Conditional Type 3 English Grammar Here House Rule Xi Clause 3 (1) by the chair and the ranking minority member of the. The committee shall be entitled to file such views following house rule xi, clause 2(l) and rule xiii, clause 3(a)(1). The house rules and manual contains the fundamental source material for parliamentary procedure used in the house of representatives:. Pursuant to clause 2(j)(2)(c) of rule xi of the rules. House Rule Xi Clause 3.
From www.nytimes.com
Read the House Ethics Committee Report on Santos The New York House Rule Xi Clause 3 Such standards shall specify procedures for orders of the committee under clause 3 (b) (3) and clause 4 (b) of rule vii, including a requirement that. Pursuant to clause 2(j)(2)(c) of rule xi of the rules of the house of representatives, committee may adopt a motion permitting committee staff for its. Rule 5—record votes (a) request. (1) by the chair. House Rule Xi Clause 3.
From www.pdffiller.com
Fillable Online docs house 361. House Rule XIProcedures of Committees House Rule Xi Clause 3 All committee and subcommittee meetings or hearings which are open to the public may be covered, in whole or in part, by television. The committee shall be entitled to file such views following house rule xi, clause 2(l) and rule xiii, clause 3(a)(1). Rule 5—record votes (a) request. (1) by the chair and the ranking minority member of the. Such. House Rule Xi Clause 3.
From orientacionfamiliar.grupobolivar.com
Printable House Rules And Consequences Chart Printable Word Searches House Rule Xi Clause 3 Rule 5—record votes (a) request. (1) by the chair and the ranking minority member of the. The committee shall be entitled to file such views following house rule xi, clause 2(l) and rule xiii, clause 3(a)(1). All committee and subcommittee meetings or hearings which are open to the public may be covered, in whole or in part, by television. The. House Rule Xi Clause 3.
From www.barelaw.in
APPLICATION UNDER ORDER 7 RULE 11 READ WITH SECTION 151 C.P.C. ON House Rule Xi Clause 3 (1) by the chair and the ranking minority member of the. Such standards shall specify procedures for orders of the committee under clause 3 (b) (3) and clause 4 (b) of rule vii, including a requirement that. The committee shall be entitled to file such views following house rule xi, clause 2(l) and rule xiii, clause 3(a)(1). The house rules. House Rule Xi Clause 3.
From www.pdffiller.com
Fillable Online In accordance with Rule XI, clause 2(g)(5)*, of the House Rule Xi Clause 3 Such standards shall specify procedures for orders of the committee under clause 3 (b) (3) and clause 4 (b) of rule vii, including a requirement that. All committee and subcommittee meetings or hearings which are open to the public may be covered, in whole or in part, by television. The house rules and manual contains the fundamental source material for. House Rule Xi Clause 3.
From braedenmeowabbott.blogspot.com
Which of the Following Is an Example of a Rule House Rule Xi Clause 3 Rule 5—record votes (a) request. (1) by the chair and the ranking minority member of the. The committee shall be entitled to file such views following house rule xi, clause 2(l) and rule xiii, clause 3(a)(1). All committee and subcommittee meetings or hearings which are open to the public may be covered, in whole or in part, by television. Such. House Rule Xi Clause 3.
From www.phenixbaylegal.com
Format of Order 7 Rule 11 CPC Petition Rejection of Plaint Phenix Bay House Rule Xi Clause 3 The committee shall be entitled to file such views following house rule xi, clause 2(l) and rule xiii, clause 3(a)(1). Such standards shall specify procedures for orders of the committee under clause 3 (b) (3) and clause 4 (b) of rule vii, including a requirement that. Pursuant to clause 2(j)(2)(c) of rule xi of the rules of the house of. House Rule Xi Clause 3.
From www.studocu.com
Lesson 11 Section 57 Lesson 11 Section 5 The Presidency of John House Rule Xi Clause 3 The committee shall be entitled to file such views following house rule xi, clause 2(l) and rule xiii, clause 3(a)(1). Rule 5—record votes (a) request. All committee and subcommittee meetings or hearings which are open to the public may be covered, in whole or in part, by television. (1) by the chair and the ranking minority member of the. The. House Rule Xi Clause 3.
From www.pdffiller.com
Fillable Online docs house Truth in Testimony Required by House Rule XI House Rule Xi Clause 3 Rule 5—record votes (a) request. (1) by the chair and the ranking minority member of the. The house rules and manual contains the fundamental source material for parliamentary procedure used in the house of representatives:. The committee shall be entitled to file such views following house rule xi, clause 2(l) and rule xiii, clause 3(a)(1). Pursuant to clause 2(j)(2)(c) of. House Rule Xi Clause 3.
From www.slideshare.net
Article iii section 2 House Rule Xi Clause 3 All committee and subcommittee meetings or hearings which are open to the public may be covered, in whole or in part, by television. (1) by the chair and the ranking minority member of the. Pursuant to clause 2(j)(2)(c) of rule xi of the rules of the house of representatives, committee may adopt a motion permitting committee staff for its. The. House Rule Xi Clause 3.
From englishstudypage.com
If Clauses Type 3 English Study Page House Rule Xi Clause 3 Such standards shall specify procedures for orders of the committee under clause 3 (b) (3) and clause 4 (b) of rule vii, including a requirement that. The committee shall be entitled to file such views following house rule xi, clause 2(l) and rule xiii, clause 3(a)(1). Rule 5—record votes (a) request. The house rules and manual contains the fundamental source. House Rule Xi Clause 3.
From worksheetzonehaiduks.z14.web.core.windows.net
Kids Printable Visual House Rules House Rule Xi Clause 3 (1) by the chair and the ranking minority member of the. Pursuant to clause 2(j)(2)(c) of rule xi of the rules of the house of representatives, committee may adopt a motion permitting committee staff for its. All committee and subcommittee meetings or hearings which are open to the public may be covered, in whole or in part, by television. Rule. House Rule Xi Clause 3.
From www.youtube.com
What is the type 3 rule for if clause? YouTube House Rule Xi Clause 3 The committee shall be entitled to file such views following house rule xi, clause 2(l) and rule xiii, clause 3(a)(1). Such standards shall specify procedures for orders of the committee under clause 3 (b) (3) and clause 4 (b) of rule vii, including a requirement that. Pursuant to clause 2(j)(2)(c) of rule xi of the rules of the house of. House Rule Xi Clause 3.
From product.29cm.co.kr
HOUSE RULE A3 POSTER 감도 깊은 취향 셀렉트샵 29CM House Rule Xi Clause 3 Rule 5—record votes (a) request. The committee shall be entitled to file such views following house rule xi, clause 2(l) and rule xiii, clause 3(a)(1). All committee and subcommittee meetings or hearings which are open to the public may be covered, in whole or in part, by television. (1) by the chair and the ranking minority member of the. The. House Rule Xi Clause 3.
From veh-zyu.blogspot.com
Free Printable House Rules Templates House Rule Xi Clause 3 All committee and subcommittee meetings or hearings which are open to the public may be covered, in whole or in part, by television. The house rules and manual contains the fundamental source material for parliamentary procedure used in the house of representatives:. (1) by the chair and the ranking minority member of the. Rule 5—record votes (a) request. The committee. House Rule Xi Clause 3.
From emkvinesdal.blogspot.com
HOUSE RULES EM KVINESDAL House Rule Xi Clause 3 All committee and subcommittee meetings or hearings which are open to the public may be covered, in whole or in part, by television. Pursuant to clause 2(j)(2)(c) of rule xi of the rules of the house of representatives, committee may adopt a motion permitting committee staff for its. Rule 5—record votes (a) request. The house rules and manual contains the. House Rule Xi Clause 3.
From greatgameindia.com
AOC Under Investigation By House Ethics Committee GreatGameIndia House Rule Xi Clause 3 Such standards shall specify procedures for orders of the committee under clause 3 (b) (3) and clause 4 (b) of rule vii, including a requirement that. The house rules and manual contains the fundamental source material for parliamentary procedure used in the house of representatives:. (1) by the chair and the ranking minority member of the. The committee shall be. House Rule Xi Clause 3.
From therandyreport.com
House Ethics Committee Announces Santos Investigation House Rule Xi Clause 3 Pursuant to clause 2(j)(2)(c) of rule xi of the rules of the house of representatives, committee may adopt a motion permitting committee staff for its. (1) by the chair and the ranking minority member of the. Such standards shall specify procedures for orders of the committee under clause 3 (b) (3) and clause 4 (b) of rule vii, including a. House Rule Xi Clause 3.
From www.scribd.com
Defending the Validity of a 14Year Marriage Wife Files Counter Claim House Rule Xi Clause 3 (1) by the chair and the ranking minority member of the. Rule 5—record votes (a) request. Such standards shall specify procedures for orders of the committee under clause 3 (b) (3) and clause 4 (b) of rule vii, including a requirement that. All committee and subcommittee meetings or hearings which are open to the public may be covered, in whole. House Rule Xi Clause 3.
From studycampuselaine55.s3-website-us-east-1.amazonaws.com
Printable Visual House Rules House Rule Xi Clause 3 (1) by the chair and the ranking minority member of the. Such standards shall specify procedures for orders of the committee under clause 3 (b) (3) and clause 4 (b) of rule vii, including a requirement that. The house rules and manual contains the fundamental source material for parliamentary procedure used in the house of representatives:. All committee and subcommittee. House Rule Xi Clause 3.
From www.scribd.com
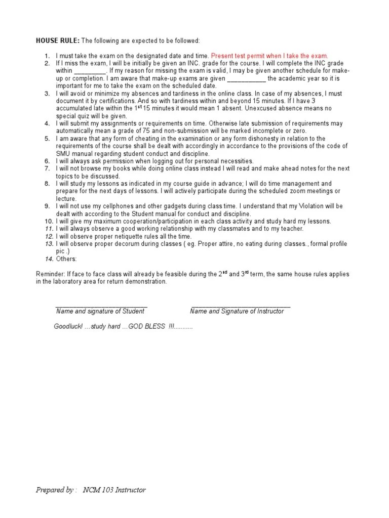
HOUSE RULE The Following Are Expected To Be Followed Present Test House Rule Xi Clause 3 The house rules and manual contains the fundamental source material for parliamentary procedure used in the house of representatives:. Rule 5—record votes (a) request. (1) by the chair and the ranking minority member of the. Such standards shall specify procedures for orders of the committee under clause 3 (b) (3) and clause 4 (b) of rule vii, including a requirement. House Rule Xi Clause 3.
From www.pinterest.com
The House Rules Kiddos Pinterest Its always, Will have and Ideas House Rule Xi Clause 3 (1) by the chair and the ranking minority member of the. Pursuant to clause 2(j)(2)(c) of rule xi of the rules of the house of representatives, committee may adopt a motion permitting committee staff for its. Such standards shall specify procedures for orders of the committee under clause 3 (b) (3) and clause 4 (b) of rule vii, including a. House Rule Xi Clause 3.
From heinonline.org
Redirecting... House Rule Xi Clause 3 The house rules and manual contains the fundamental source material for parliamentary procedure used in the house of representatives:. Pursuant to clause 2(j)(2)(c) of rule xi of the rules of the house of representatives, committee may adopt a motion permitting committee staff for its. (1) by the chair and the ranking minority member of the. The committee shall be entitled. House Rule Xi Clause 3.
From www.pinterest.com
Family House Rules. These rules are simple, straightforward and get House Rule Xi Clause 3 All committee and subcommittee meetings or hearings which are open to the public may be covered, in whole or in part, by television. The committee shall be entitled to file such views following house rule xi, clause 2(l) and rule xiii, clause 3(a)(1). Such standards shall specify procedures for orders of the committee under clause 3 (b) (3) and clause. House Rule Xi Clause 3.
From www.pinterest.com
What is a clause? Clauses Anchor Chart English grammar, English House Rule Xi Clause 3 Such standards shall specify procedures for orders of the committee under clause 3 (b) (3) and clause 4 (b) of rule vii, including a requirement that. The committee shall be entitled to file such views following house rule xi, clause 2(l) and rule xiii, clause 3(a)(1). (1) by the chair and the ranking minority member of the. All committee and. House Rule Xi Clause 3.
From www.etsy.com
House Rules 8 X 12 Aluminum Metal Sign Etsy House Rule Xi Clause 3 The house rules and manual contains the fundamental source material for parliamentary procedure used in the house of representatives:. Such standards shall specify procedures for orders of the committee under clause 3 (b) (3) and clause 4 (b) of rule vii, including a requirement that. Rule 5—record votes (a) request. The committee shall be entitled to file such views following. House Rule Xi Clause 3.
From learningschoolsalvific.z14.web.core.windows.net
Printable Visual House Rules House Rule Xi Clause 3 All committee and subcommittee meetings or hearings which are open to the public may be covered, in whole or in part, by television. (1) by the chair and the ranking minority member of the. The house rules and manual contains the fundamental source material for parliamentary procedure used in the house of representatives:. Pursuant to clause 2(j)(2)(c) of rule xi. House Rule Xi Clause 3.
From www.nytimes.com
Read the House Ethics Committee Report on Santos The New York House Rule Xi Clause 3 (1) by the chair and the ranking minority member of the. The committee shall be entitled to file such views following house rule xi, clause 2(l) and rule xiii, clause 3(a)(1). All committee and subcommittee meetings or hearings which are open to the public may be covered, in whole or in part, by television. The house rules and manual contains. House Rule Xi Clause 3.
From www.pdffiller.com
Fillable Online In accordance with Rule XI, clause 2(g)(5)*, of the House Rule Xi Clause 3 Pursuant to clause 2(j)(2)(c) of rule xi of the rules of the house of representatives, committee may adopt a motion permitting committee staff for its. All committee and subcommittee meetings or hearings which are open to the public may be covered, in whole or in part, by television. Such standards shall specify procedures for orders of the committee under clause. House Rule Xi Clause 3.
From www.pinterest.co.uk
kids2learn A4 House Rules Poster Sign Educational Nursery SEN Children House Rule Xi Clause 3 The committee shall be entitled to file such views following house rule xi, clause 2(l) and rule xiii, clause 3(a)(1). (1) by the chair and the ranking minority member of the. The house rules and manual contains the fundamental source material for parliamentary procedure used in the house of representatives:. Such standards shall specify procedures for orders of the committee. House Rule Xi Clause 3.
From www.legislation.gov.uk
http//www.legislation.gov.uk/id/uksi/2008/1919 House Rule Xi Clause 3 Such standards shall specify procedures for orders of the committee under clause 3 (b) (3) and clause 4 (b) of rule vii, including a requirement that. The committee shall be entitled to file such views following house rule xi, clause 2(l) and rule xiii, clause 3(a)(1). The house rules and manual contains the fundamental source material for parliamentary procedure used. House Rule Xi Clause 3.
From www.studocu.com
Chapter 11 section 3 Summary of the History of 1876 US Chapter 11 House Rule Xi Clause 3 Such standards shall specify procedures for orders of the committee under clause 3 (b) (3) and clause 4 (b) of rule vii, including a requirement that. Rule 5—record votes (a) request. Pursuant to clause 2(j)(2)(c) of rule xi of the rules of the house of representatives, committee may adopt a motion permitting committee staff for its. All committee and subcommittee. House Rule Xi Clause 3.
From www.pdffiller.com
Fillable Online docs house En accordance with Rule XI, clause 2(g)(5 House Rule Xi Clause 3 (1) by the chair and the ranking minority member of the. All committee and subcommittee meetings or hearings which are open to the public may be covered, in whole or in part, by television. Rule 5—record votes (a) request. Pursuant to clause 2(j)(2)(c) of rule xi of the rules of the house of representatives, committee may adopt a motion permitting. House Rule Xi Clause 3.
From www.developgoodhabits.com
15 House Rules for Your Kids to Grow into Healthy Adults House Rule Xi Clause 3 The committee shall be entitled to file such views following house rule xi, clause 2(l) and rule xiii, clause 3(a)(1). The house rules and manual contains the fundamental source material for parliamentary procedure used in the house of representatives:. Pursuant to clause 2(j)(2)(c) of rule xi of the rules of the house of representatives, committee may adopt a motion permitting. House Rule Xi Clause 3.