An Automobile Accelerates Uniformly From 0 To 24 M/S . A car with an initial speed of 23.7 km/h accelerates at a uniform rate of 0.92 m/s2 for 3.6 s. 4 people found it helpful. The mass of the car (m) is 2.0x10³ kg and the car is accelerated uniformly from 0 to 24 m/s in 6.0. What is the magnitude of the car's acceleration? The time taken can be calculated by rearranging the formula to solve. How long does it take the car to change its speed from 10.0 m/s to 20.0 m/s? Determine the acceleration of the car and the distance traveled. A race car accelerates uniformly from 18.5 m/s to 46.1 m/s in 2.47 seconds. A bus starts from rest and accelerates uniformly over a time of 4,0 seconds for a distance of 120 m. Find the final speed and the displacement of. There are 2 steps to.
from www.youtube.com
A race car accelerates uniformly from 18.5 m/s to 46.1 m/s in 2.47 seconds. 4 people found it helpful. A bus starts from rest and accelerates uniformly over a time of 4,0 seconds for a distance of 120 m. What is the magnitude of the car's acceleration? How long does it take the car to change its speed from 10.0 m/s to 20.0 m/s? The mass of the car (m) is 2.0x10³ kg and the car is accelerated uniformly from 0 to 24 m/s in 6.0. A car with an initial speed of 23.7 km/h accelerates at a uniform rate of 0.92 m/s2 for 3.6 s. Find the final speed and the displacement of. Determine the acceleration of the car and the distance traveled. The time taken can be calculated by rearranging the formula to solve.
A car accelerates uniformly from 18 km h1to 36 km h1in 5 s. Calculate
An Automobile Accelerates Uniformly From 0 To 24 M/S A bus starts from rest and accelerates uniformly over a time of 4,0 seconds for a distance of 120 m. Find the final speed and the displacement of. The time taken can be calculated by rearranging the formula to solve. The mass of the car (m) is 2.0x10³ kg and the car is accelerated uniformly from 0 to 24 m/s in 6.0. 4 people found it helpful. Determine the acceleration of the car and the distance traveled. What is the magnitude of the car's acceleration? How long does it take the car to change its speed from 10.0 m/s to 20.0 m/s? A race car accelerates uniformly from 18.5 m/s to 46.1 m/s in 2.47 seconds. A car with an initial speed of 23.7 km/h accelerates at a uniform rate of 0.92 m/s2 for 3.6 s. There are 2 steps to. A bus starts from rest and accelerates uniformly over a time of 4,0 seconds for a distance of 120 m.
From www.numerade.com
SOLVED Kinematics Force and Acceleration The car accelerates An Automobile Accelerates Uniformly From 0 To 24 M/S Find the final speed and the displacement of. How long does it take the car to change its speed from 10.0 m/s to 20.0 m/s? There are 2 steps to. A race car accelerates uniformly from 18.5 m/s to 46.1 m/s in 2.47 seconds. The mass of the car (m) is 2.0x10³ kg and the car is accelerated uniformly from. An Automobile Accelerates Uniformly From 0 To 24 M/S.
From www.youtube.com
A car accelerates from 12 m/s to 21 m/s in 6.0s. What was its An Automobile Accelerates Uniformly From 0 To 24 M/S 4 people found it helpful. The time taken can be calculated by rearranging the formula to solve. The mass of the car (m) is 2.0x10³ kg and the car is accelerated uniformly from 0 to 24 m/s in 6.0. Determine the acceleration of the car and the distance traveled. A bus starts from rest and accelerates uniformly over a time. An Automobile Accelerates Uniformly From 0 To 24 M/S.
From www.numerade.com
SOLVEDIn a test run, a certain car accelerates uniformly from zero to An Automobile Accelerates Uniformly From 0 To 24 M/S 4 people found it helpful. Determine the acceleration of the car and the distance traveled. A race car accelerates uniformly from 18.5 m/s to 46.1 m/s in 2.47 seconds. The mass of the car (m) is 2.0x10³ kg and the car is accelerated uniformly from 0 to 24 m/s in 6.0. There are 2 steps to. Find the final speed. An Automobile Accelerates Uniformly From 0 To 24 M/S.
From www.toppr.com
6. An automobile starts from rest and accelerates uniformly 30 second An Automobile Accelerates Uniformly From 0 To 24 M/S 4 people found it helpful. Find the final speed and the displacement of. How long does it take the car to change its speed from 10.0 m/s to 20.0 m/s? There are 2 steps to. A race car accelerates uniformly from 18.5 m/s to 46.1 m/s in 2.47 seconds. A bus starts from rest and accelerates uniformly over a time. An Automobile Accelerates Uniformly From 0 To 24 M/S.
From www.numerade.com
SOLVED An automobile accelerates uniformly from rest on a straight An Automobile Accelerates Uniformly From 0 To 24 M/S How long does it take the car to change its speed from 10.0 m/s to 20.0 m/s? The mass of the car (m) is 2.0x10³ kg and the car is accelerated uniformly from 0 to 24 m/s in 6.0. Find the final speed and the displacement of. A race car accelerates uniformly from 18.5 m/s to 46.1 m/s in 2.47. An Automobile Accelerates Uniformly From 0 To 24 M/S.
From www.numerade.com
SOLVED A race car accelerates uniformly from 18.5ms?1 to 46.1ms?1 in 2 An Automobile Accelerates Uniformly From 0 To 24 M/S Determine the acceleration of the car and the distance traveled. A bus starts from rest and accelerates uniformly over a time of 4,0 seconds for a distance of 120 m. How long does it take the car to change its speed from 10.0 m/s to 20.0 m/s? There are 2 steps to. Find the final speed and the displacement of.. An Automobile Accelerates Uniformly From 0 To 24 M/S.
From www.toppr.com
A car accelerates uniformly from rest and reaches a speed of 22.0 m/s An Automobile Accelerates Uniformly From 0 To 24 M/S Find the final speed and the displacement of. What is the magnitude of the car's acceleration? The mass of the car (m) is 2.0x10³ kg and the car is accelerated uniformly from 0 to 24 m/s in 6.0. Determine the acceleration of the car and the distance traveled. How long does it take the car to change its speed from. An Automobile Accelerates Uniformly From 0 To 24 M/S.
From www.numerade.com
SOLVED A car traveling in a straight line with an initial velocity of An Automobile Accelerates Uniformly From 0 To 24 M/S 4 people found it helpful. Find the final speed and the displacement of. A car with an initial speed of 23.7 km/h accelerates at a uniform rate of 0.92 m/s2 for 3.6 s. The mass of the car (m) is 2.0x10³ kg and the car is accelerated uniformly from 0 to 24 m/s in 6.0. A race car accelerates uniformly. An Automobile Accelerates Uniformly From 0 To 24 M/S.
From brainly.com
A racing car accelerates uniformly from rest along a straight track An Automobile Accelerates Uniformly From 0 To 24 M/S The time taken can be calculated by rearranging the formula to solve. Find the final speed and the displacement of. There are 2 steps to. The mass of the car (m) is 2.0x10³ kg and the car is accelerated uniformly from 0 to 24 m/s in 6.0. 4 people found it helpful. A car with an initial speed of 23.7. An Automobile Accelerates Uniformly From 0 To 24 M/S.
From byjus.com
Starting from rest a car accelerates uniformly with 3meter per second An Automobile Accelerates Uniformly From 0 To 24 M/S Find the final speed and the displacement of. 4 people found it helpful. A race car accelerates uniformly from 18.5 m/s to 46.1 m/s in 2.47 seconds. The time taken can be calculated by rearranging the formula to solve. What is the magnitude of the car's acceleration? A bus starts from rest and accelerates uniformly over a time of 4,0. An Automobile Accelerates Uniformly From 0 To 24 M/S.
From wheelsadviser.com
A Car Accelerates Uniformly From Rest? An Automobile Accelerates Uniformly From 0 To 24 M/S Find the final speed and the displacement of. A car with an initial speed of 23.7 km/h accelerates at a uniform rate of 0.92 m/s2 for 3.6 s. How long does it take the car to change its speed from 10.0 m/s to 20.0 m/s? The mass of the car (m) is 2.0x10³ kg and the car is accelerated uniformly. An Automobile Accelerates Uniformly From 0 To 24 M/S.
From www.teachoo.com
Example 8.6 A car accelerates uniformly from 18 km/h to 36 km/h in 5 An Automobile Accelerates Uniformly From 0 To 24 M/S The time taken can be calculated by rearranging the formula to solve. How long does it take the car to change its speed from 10.0 m/s to 20.0 m/s? A car with an initial speed of 23.7 km/h accelerates at a uniform rate of 0.92 m/s2 for 3.6 s. A race car accelerates uniformly from 18.5 m/s to 46.1 m/s. An Automobile Accelerates Uniformly From 0 To 24 M/S.
From kunduz.com
[ANSWERED] A car starts from rest and accelerates uniformly for a Kunduz An Automobile Accelerates Uniformly From 0 To 24 M/S A car with an initial speed of 23.7 km/h accelerates at a uniform rate of 0.92 m/s2 for 3.6 s. The mass of the car (m) is 2.0x10³ kg and the car is accelerated uniformly from 0 to 24 m/s in 6.0. Find the final speed and the displacement of. A bus starts from rest and accelerates uniformly over a. An Automobile Accelerates Uniformly From 0 To 24 M/S.
From www.chegg.com
Solved 16. An automobile accelerates uniformly from O to 24 An Automobile Accelerates Uniformly From 0 To 24 M/S The mass of the car (m) is 2.0x10³ kg and the car is accelerated uniformly from 0 to 24 m/s in 6.0. How long does it take the car to change its speed from 10.0 m/s to 20.0 m/s? A car with an initial speed of 23.7 km/h accelerates at a uniform rate of 0.92 m/s2 for 3.6 s. A. An Automobile Accelerates Uniformly From 0 To 24 M/S.
From www.toppr.com
53. If a car rest accelerates uniformly and attains a speed of 72 km/h An Automobile Accelerates Uniformly From 0 To 24 M/S 4 people found it helpful. A race car accelerates uniformly from 18.5 m/s to 46.1 m/s in 2.47 seconds. What is the magnitude of the car's acceleration? A car with an initial speed of 23.7 km/h accelerates at a uniform rate of 0.92 m/s2 for 3.6 s. The mass of the car (m) is 2.0x10³ kg and the car is. An Automobile Accelerates Uniformly From 0 To 24 M/S.
From www.youtube.com
A car accelerates uniformly from 18 km h^1 to 36 km h^1 in 5 s An Automobile Accelerates Uniformly From 0 To 24 M/S The mass of the car (m) is 2.0x10³ kg and the car is accelerated uniformly from 0 to 24 m/s in 6.0. How long does it take the car to change its speed from 10.0 m/s to 20.0 m/s? A race car accelerates uniformly from 18.5 m/s to 46.1 m/s in 2.47 seconds. A bus starts from rest and accelerates. An Automobile Accelerates Uniformly From 0 To 24 M/S.
From www.numerade.com
SOLVED Final answer An automobile accelerates uniformly from 0 to 24 An Automobile Accelerates Uniformly From 0 To 24 M/S 4 people found it helpful. A car with an initial speed of 23.7 km/h accelerates at a uniform rate of 0.92 m/s2 for 3.6 s. The mass of the car (m) is 2.0x10³ kg and the car is accelerated uniformly from 0 to 24 m/s in 6.0. There are 2 steps to. A bus starts from rest and accelerates uniformly. An Automobile Accelerates Uniformly From 0 To 24 M/S.
From www.toppr.com
A car accelerates uniformly from 18 km/h to 36 km/h in 5 sec, calculate An Automobile Accelerates Uniformly From 0 To 24 M/S Determine the acceleration of the car and the distance traveled. A car with an initial speed of 23.7 km/h accelerates at a uniform rate of 0.92 m/s2 for 3.6 s. What is the magnitude of the car's acceleration? How long does it take the car to change its speed from 10.0 m/s to 20.0 m/s? A race car accelerates uniformly. An Automobile Accelerates Uniformly From 0 To 24 M/S.
From www.vrogue.co
A Car Starts From Rest And Accelerates Uniformly For vrogue.co An Automobile Accelerates Uniformly From 0 To 24 M/S A car with an initial speed of 23.7 km/h accelerates at a uniform rate of 0.92 m/s2 for 3.6 s. There are 2 steps to. Find the final speed and the displacement of. A bus starts from rest and accelerates uniformly over a time of 4,0 seconds for a distance of 120 m. What is the magnitude of the car's. An Automobile Accelerates Uniformly From 0 To 24 M/S.
From www.toppr.com
A car traveling on a flat ( unbanked ), circular track accelerates An Automobile Accelerates Uniformly From 0 To 24 M/S A bus starts from rest and accelerates uniformly over a time of 4,0 seconds for a distance of 120 m. What is the magnitude of the car's acceleration? Determine the acceleration of the car and the distance traveled. How long does it take the car to change its speed from 10.0 m/s to 20.0 m/s? There are 2 steps to.. An Automobile Accelerates Uniformly From 0 To 24 M/S.
From byjus.com
a car accelerates uniformly and its velocity changes from5m/s to 30 m/s An Automobile Accelerates Uniformly From 0 To 24 M/S The mass of the car (m) is 2.0x10³ kg and the car is accelerated uniformly from 0 to 24 m/s in 6.0. The time taken can be calculated by rearranging the formula to solve. There are 2 steps to. What is the magnitude of the car's acceleration? How long does it take the car to change its speed from 10.0. An Automobile Accelerates Uniformly From 0 To 24 M/S.
From www.youtube.com
A car accelerates uniformly from 18 km/h to 36 km/h in 5 seconds An Automobile Accelerates Uniformly From 0 To 24 M/S The time taken can be calculated by rearranging the formula to solve. How long does it take the car to change its speed from 10.0 m/s to 20.0 m/s? Find the final speed and the displacement of. A car with an initial speed of 23.7 km/h accelerates at a uniform rate of 0.92 m/s2 for 3.6 s. What is the. An Automobile Accelerates Uniformly From 0 To 24 M/S.
From www.numerade.com
SOLVED A car accelerates uniformly from 20 km/h to 35 km/h in 5 An Automobile Accelerates Uniformly From 0 To 24 M/S What is the magnitude of the car's acceleration? The time taken can be calculated by rearranging the formula to solve. How long does it take the car to change its speed from 10.0 m/s to 20.0 m/s? 4 people found it helpful. There are 2 steps to. Determine the acceleration of the car and the distance traveled. A race car. An Automobile Accelerates Uniformly From 0 To 24 M/S.
From www.youtube.com
In a test run, a certain car accelerates uniformly from zero to 24.0 m An Automobile Accelerates Uniformly From 0 To 24 M/S A bus starts from rest and accelerates uniformly over a time of 4,0 seconds for a distance of 120 m. What is the magnitude of the car's acceleration? The mass of the car (m) is 2.0x10³ kg and the car is accelerated uniformly from 0 to 24 m/s in 6.0. How long does it take the car to change its. An Automobile Accelerates Uniformly From 0 To 24 M/S.
From www.chegg.com
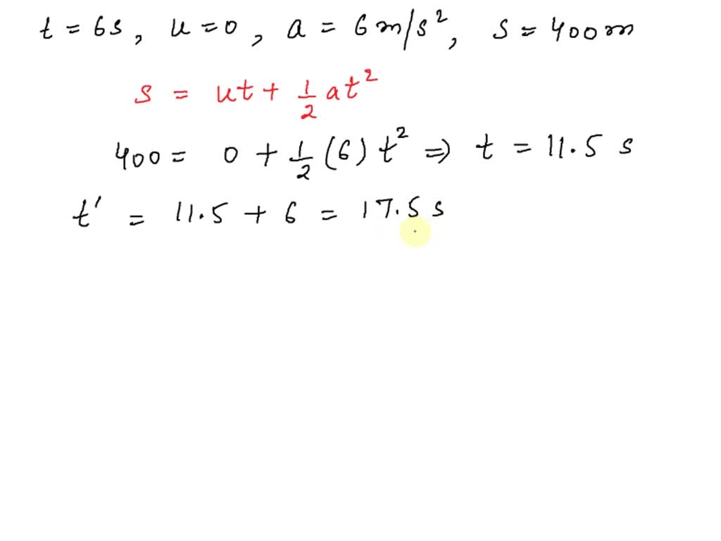
Solved A racing car accelerates uniformly from rest along a An Automobile Accelerates Uniformly From 0 To 24 M/S A bus starts from rest and accelerates uniformly over a time of 4,0 seconds for a distance of 120 m. Determine the acceleration of the car and the distance traveled. The time taken can be calculated by rearranging the formula to solve. How long does it take the car to change its speed from 10.0 m/s to 20.0 m/s? What. An Automobile Accelerates Uniformly From 0 To 24 M/S.
From www.numerade.com
SOLVED 2) A car accelerates uniformly from rest and after 12 seconds An Automobile Accelerates Uniformly From 0 To 24 M/S 4 people found it helpful. Determine the acceleration of the car and the distance traveled. Find the final speed and the displacement of. The mass of the car (m) is 2.0x10³ kg and the car is accelerated uniformly from 0 to 24 m/s in 6.0. A bus starts from rest and accelerates uniformly over a time of 4,0 seconds for. An Automobile Accelerates Uniformly From 0 To 24 M/S.
From www.youtube.com
A car accelerates uniformly from rest and reaches a speed of `27 m//s An Automobile Accelerates Uniformly From 0 To 24 M/S The time taken can be calculated by rearranging the formula to solve. What is the magnitude of the car's acceleration? A car with an initial speed of 23.7 km/h accelerates at a uniform rate of 0.92 m/s2 for 3.6 s. A bus starts from rest and accelerates uniformly over a time of 4,0 seconds for a distance of 120 m.. An Automobile Accelerates Uniformly From 0 To 24 M/S.
From www.coursehero.com
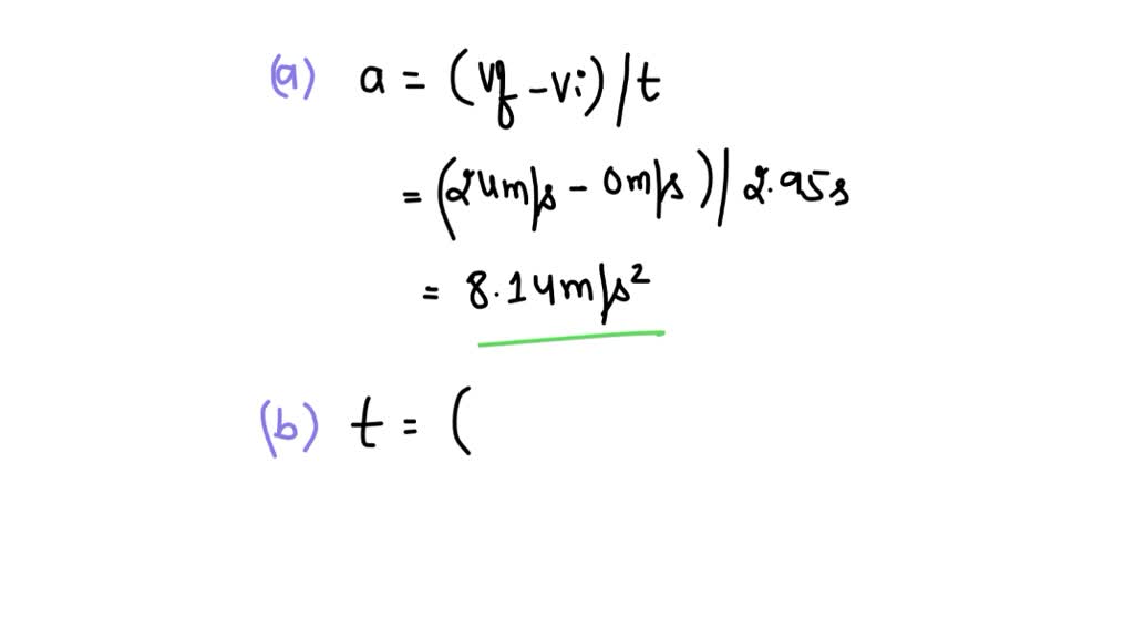
[Solved] n 5 A race car starting from rest accelerates uniformly at a An Automobile Accelerates Uniformly From 0 To 24 M/S A car with an initial speed of 23.7 km/h accelerates at a uniform rate of 0.92 m/s2 for 3.6 s. The time taken can be calculated by rearranging the formula to solve. What is the magnitude of the car's acceleration? A bus starts from rest and accelerates uniformly over a time of 4,0 seconds for a distance of 120 m.. An Automobile Accelerates Uniformly From 0 To 24 M/S.
From www.chegg.com
Solved A car accelerates uniformly from 10 m/s to 20 m/s in An Automobile Accelerates Uniformly From 0 To 24 M/S Determine the acceleration of the car and the distance traveled. How long does it take the car to change its speed from 10.0 m/s to 20.0 m/s? There are 2 steps to. 4 people found it helpful. The mass of the car (m) is 2.0x10³ kg and the car is accelerated uniformly from 0 to 24 m/s in 6.0. What. An Automobile Accelerates Uniformly From 0 To 24 M/S.
From www.youtube.com
A car accelerates uniformly from 18 km h1to 36 km h1in 5 s. Calculate An Automobile Accelerates Uniformly From 0 To 24 M/S The mass of the car (m) is 2.0x10³ kg and the car is accelerated uniformly from 0 to 24 m/s in 6.0. A race car accelerates uniformly from 18.5 m/s to 46.1 m/s in 2.47 seconds. What is the magnitude of the car's acceleration? How long does it take the car to change its speed from 10.0 m/s to 20.0. An Automobile Accelerates Uniformly From 0 To 24 M/S.
From www.chegg.com
Solved A car accelerates uniformly from rest to a speed of An Automobile Accelerates Uniformly From 0 To 24 M/S A bus starts from rest and accelerates uniformly over a time of 4,0 seconds for a distance of 120 m. Find the final speed and the displacement of. A race car accelerates uniformly from 18.5 m/s to 46.1 m/s in 2.47 seconds. What is the magnitude of the car's acceleration? The time taken can be calculated by rearranging the formula. An Automobile Accelerates Uniformly From 0 To 24 M/S.
From www.youtube.com
A space vehicle accelerates uniformly from 65 m/s at t=0 to 162 m/s at An Automobile Accelerates Uniformly From 0 To 24 M/S What is the magnitude of the car's acceleration? 4 people found it helpful. The time taken can be calculated by rearranging the formula to solve. How long does it take the car to change its speed from 10.0 m/s to 20.0 m/s? A race car accelerates uniformly from 18.5 m/s to 46.1 m/s in 2.47 seconds. Find the final speed. An Automobile Accelerates Uniformly From 0 To 24 M/S.
From www.teachoo.com
Example 8.6 A car accelerates uniformly from 18 km/h to 36 km/h in 5 An Automobile Accelerates Uniformly From 0 To 24 M/S What is the magnitude of the car's acceleration? There are 2 steps to. Find the final speed and the displacement of. A car with an initial speed of 23.7 km/h accelerates at a uniform rate of 0.92 m/s2 for 3.6 s. How long does it take the car to change its speed from 10.0 m/s to 20.0 m/s? Determine the. An Automobile Accelerates Uniformly From 0 To 24 M/S.
From www.youtube.com
A car accelerates from 10.0 m/s to 30.0 m/s at a rate of 3.00 m/s^2 An Automobile Accelerates Uniformly From 0 To 24 M/S The mass of the car (m) is 2.0x10³ kg and the car is accelerated uniformly from 0 to 24 m/s in 6.0. The time taken can be calculated by rearranging the formula to solve. Determine the acceleration of the car and the distance traveled. There are 2 steps to. What is the magnitude of the car's acceleration? A car with. An Automobile Accelerates Uniformly From 0 To 24 M/S.
From slideplayer.com
Displacement with Uniform Acceleration 932am ppt download An Automobile Accelerates Uniformly From 0 To 24 M/S There are 2 steps to. How long does it take the car to change its speed from 10.0 m/s to 20.0 m/s? The mass of the car (m) is 2.0x10³ kg and the car is accelerated uniformly from 0 to 24 m/s in 6.0. A car with an initial speed of 23.7 km/h accelerates at a uniform rate of 0.92. An Automobile Accelerates Uniformly From 0 To 24 M/S.