Illinois Farm Rental Agreement . Suggestions for completing and using this lease form are available from your county extension adviser and from illinois extension circular. Fixed cash rent (with option for indexing) tenant agrees to pay landowner an annual fixed cash rent as. One way to better understand cash rent is by consulting a county average survey. The national agriculture statistical service at the united states department of. This draft document is intended. Before farmland owners and tenant operators can begin negotiating cash rents for 2025, they must understand the projections for. This draft of a farm lease agreement is intended for educational and general informational purposes only. To use this lease form:
from www.simplifyem.com
This draft document is intended. Fixed cash rent (with option for indexing) tenant agrees to pay landowner an annual fixed cash rent as. Suggestions for completing and using this lease form are available from your county extension adviser and from illinois extension circular. Before farmland owners and tenant operators can begin negotiating cash rents for 2025, they must understand the projections for. The national agriculture statistical service at the united states department of. To use this lease form: This draft of a farm lease agreement is intended for educational and general informational purposes only. One way to better understand cash rent is by consulting a county average survey.
Illinois Lease Termination
Illinois Farm Rental Agreement Fixed cash rent (with option for indexing) tenant agrees to pay landowner an annual fixed cash rent as. To use this lease form: Before farmland owners and tenant operators can begin negotiating cash rents for 2025, they must understand the projections for. The national agriculture statistical service at the united states department of. This draft of a farm lease agreement is intended for educational and general informational purposes only. This draft document is intended. Fixed cash rent (with option for indexing) tenant agrees to pay landowner an annual fixed cash rent as. Suggestions for completing and using this lease form are available from your county extension adviser and from illinois extension circular. One way to better understand cash rent is by consulting a county average survey.
From rentagreementform.com
Free Illinois (IL) Rental Lease Agreement Form PDF & Word Illinois Farm Rental Agreement One way to better understand cash rent is by consulting a county average survey. To use this lease form: This draft of a farm lease agreement is intended for educational and general informational purposes only. Suggestions for completing and using this lease form are available from your county extension adviser and from illinois extension circular. Before farmland owners and tenant. Illinois Farm Rental Agreement.
From projectopenletter.com
Free Printable Residential Lease Agreement Illinois Printable Form Illinois Farm Rental Agreement Suggestions for completing and using this lease form are available from your county extension adviser and from illinois extension circular. Fixed cash rent (with option for indexing) tenant agrees to pay landowner an annual fixed cash rent as. This draft of a farm lease agreement is intended for educational and general informational purposes only. This draft document is intended. One. Illinois Farm Rental Agreement.
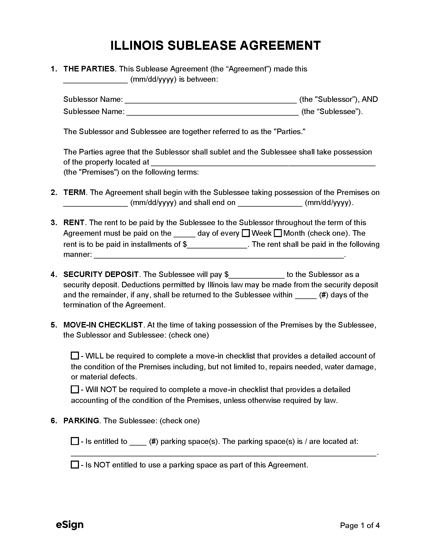
From esign.com
Free Illinois Sublease Agreement Template PDF Word Illinois Farm Rental Agreement This draft document is intended. Suggestions for completing and using this lease form are available from your county extension adviser and from illinois extension circular. One way to better understand cash rent is by consulting a county average survey. This draft of a farm lease agreement is intended for educational and general informational purposes only. Before farmland owners and tenant. Illinois Farm Rental Agreement.
From www.dexform.com
Illinois Residential Lease Agreement in Word and Pdf formats Illinois Farm Rental Agreement Fixed cash rent (with option for indexing) tenant agrees to pay landowner an annual fixed cash rent as. To use this lease form: This draft of a farm lease agreement is intended for educational and general informational purposes only. Suggestions for completing and using this lease form are available from your county extension adviser and from illinois extension circular. This. Illinois Farm Rental Agreement.
From esign.com
Free Illinois Commercial Lease Agreement Template PDF Word Illinois Farm Rental Agreement One way to better understand cash rent is by consulting a county average survey. Before farmland owners and tenant operators can begin negotiating cash rents for 2025, they must understand the projections for. This draft of a farm lease agreement is intended for educational and general informational purposes only. Fixed cash rent (with option for indexing) tenant agrees to pay. Illinois Farm Rental Agreement.
From www.template.net
14+ Farm Lease Agreement Templates PDF, Word Illinois Farm Rental Agreement Before farmland owners and tenant operators can begin negotiating cash rents for 2025, they must understand the projections for. This draft of a farm lease agreement is intended for educational and general informational purposes only. To use this lease form: Suggestions for completing and using this lease form are available from your county extension adviser and from illinois extension circular.. Illinois Farm Rental Agreement.
From www.templateroller.com
Illinois Land Rental Agreement Template Fill Out, Sign Online and Illinois Farm Rental Agreement Suggestions for completing and using this lease form are available from your county extension adviser and from illinois extension circular. Before farmland owners and tenant operators can begin negotiating cash rents for 2025, they must understand the projections for. To use this lease form: This draft of a farm lease agreement is intended for educational and general informational purposes only.. Illinois Farm Rental Agreement.
From formspal.com
Free Illinois Lease Termination Form IL 30day Notice Illinois Farm Rental Agreement Fixed cash rent (with option for indexing) tenant agrees to pay landowner an annual fixed cash rent as. Suggestions for completing and using this lease form are available from your county extension adviser and from illinois extension circular. To use this lease form: This draft document is intended. One way to better understand cash rent is by consulting a county. Illinois Farm Rental Agreement.
From tabitaroach.blogspot.com
free illinois residential lease agreement template pdf word doc free Illinois Farm Rental Agreement Suggestions for completing and using this lease form are available from your county extension adviser and from illinois extension circular. To use this lease form: The national agriculture statistical service at the united states department of. This draft document is intended. One way to better understand cash rent is by consulting a county average survey. This draft of a farm. Illinois Farm Rental Agreement.
From rentallease.net
Free Illinois SubLease Agreement PDF Word (.doc) Illinois Farm Rental Agreement This draft document is intended. Suggestions for completing and using this lease form are available from your county extension adviser and from illinois extension circular. Fixed cash rent (with option for indexing) tenant agrees to pay landowner an annual fixed cash rent as. To use this lease form: The national agriculture statistical service at the united states department of. One. Illinois Farm Rental Agreement.
From legaltemplates.net
Free Farm Purchase Agreement Template PDF & Word Illinois Farm Rental Agreement Fixed cash rent (with option for indexing) tenant agrees to pay landowner an annual fixed cash rent as. One way to better understand cash rent is by consulting a county average survey. The national agriculture statistical service at the united states department of. This draft of a farm lease agreement is intended for educational and general informational purposes only. To. Illinois Farm Rental Agreement.
From www.template.net
7+ Farm Lease Agreement Templates PDF, DOC Illinois Farm Rental Agreement Suggestions for completing and using this lease form are available from your county extension adviser and from illinois extension circular. To use this lease form: This draft of a farm lease agreement is intended for educational and general informational purposes only. One way to better understand cash rent is by consulting a county average survey. The national agriculture statistical service. Illinois Farm Rental Agreement.
From www.dexform.com
Farm lease agreement sample in Word and Pdf formats Illinois Farm Rental Agreement The national agriculture statistical service at the united states department of. Before farmland owners and tenant operators can begin negotiating cash rents for 2025, they must understand the projections for. This draft of a farm lease agreement is intended for educational and general informational purposes only. One way to better understand cash rent is by consulting a county average survey.. Illinois Farm Rental Agreement.
From frenchmarjorier.blogspot.com
free illinois residential lease agreement template pdf word doc free Illinois Farm Rental Agreement To use this lease form: One way to better understand cash rent is by consulting a county average survey. Suggestions for completing and using this lease form are available from your county extension adviser and from illinois extension circular. Before farmland owners and tenant operators can begin negotiating cash rents for 2025, they must understand the projections for. Fixed cash. Illinois Farm Rental Agreement.
From www.templateroller.com
Illinois Residential Lease Agreement Template Fill Out, Sign Online Illinois Farm Rental Agreement This draft document is intended. Before farmland owners and tenant operators can begin negotiating cash rents for 2025, they must understand the projections for. One way to better understand cash rent is by consulting a county average survey. Suggestions for completing and using this lease form are available from your county extension adviser and from illinois extension circular. To use. Illinois Farm Rental Agreement.
From www.printablesample.com
12 Free Sample Professional Farm Land Lease Agreement Templates Illinois Farm Rental Agreement Suggestions for completing and using this lease form are available from your county extension adviser and from illinois extension circular. Before farmland owners and tenant operators can begin negotiating cash rents for 2025, they must understand the projections for. This draft of a farm lease agreement is intended for educational and general informational purposes only. The national agriculture statistical service. Illinois Farm Rental Agreement.
From rentallease.com
Free Illinois Rental Lease Agreement Templates PDF Word Illinois Farm Rental Agreement Suggestions for completing and using this lease form are available from your county extension adviser and from illinois extension circular. Fixed cash rent (with option for indexing) tenant agrees to pay landowner an annual fixed cash rent as. To use this lease form: This draft of a farm lease agreement is intended for educational and general informational purposes only. This. Illinois Farm Rental Agreement.
From www.sampletemplatess.com
Farm Rental Agreement Template SampleTemplatess SampleTemplatess Illinois Farm Rental Agreement Before farmland owners and tenant operators can begin negotiating cash rents for 2025, they must understand the projections for. The national agriculture statistical service at the united states department of. Fixed cash rent (with option for indexing) tenant agrees to pay landowner an annual fixed cash rent as. This draft of a farm lease agreement is intended for educational and. Illinois Farm Rental Agreement.
From eforms.com
Free Pasture (Grazing) Rental Lease Agreement Template PDF Word Illinois Farm Rental Agreement To use this lease form: Fixed cash rent (with option for indexing) tenant agrees to pay landowner an annual fixed cash rent as. This draft of a farm lease agreement is intended for educational and general informational purposes only. Before farmland owners and tenant operators can begin negotiating cash rents for 2025, they must understand the projections for. One way. Illinois Farm Rental Agreement.
From www.template.net
8+ Farm Lease Agreement Templates PDF, Word Illinois Farm Rental Agreement The national agriculture statistical service at the united states department of. Before farmland owners and tenant operators can begin negotiating cash rents for 2025, they must understand the projections for. One way to better understand cash rent is by consulting a county average survey. This draft of a farm lease agreement is intended for educational and general informational purposes only.. Illinois Farm Rental Agreement.
From www.template.net
14+ Farm Lease Agreement Templates PDF, Word Illinois Farm Rental Agreement Fixed cash rent (with option for indexing) tenant agrees to pay landowner an annual fixed cash rent as. The national agriculture statistical service at the united states department of. This draft of a farm lease agreement is intended for educational and general informational purposes only. One way to better understand cash rent is by consulting a county average survey. To. Illinois Farm Rental Agreement.
From ipropertymanagement.com
Illinois Rental Lease Agreement Template [2024 ] PDF & DOC Illinois Farm Rental Agreement The national agriculture statistical service at the united states department of. Suggestions for completing and using this lease form are available from your county extension adviser and from illinois extension circular. One way to better understand cash rent is by consulting a county average survey. This draft document is intended. This draft of a farm lease agreement is intended for. Illinois Farm Rental Agreement.
From rentalleaseagreements.com
Free Illinois Residential Lease Agreement PDF Illinois Farm Rental Agreement Before farmland owners and tenant operators can begin negotiating cash rents for 2025, they must understand the projections for. This draft document is intended. This draft of a farm lease agreement is intended for educational and general informational purposes only. To use this lease form: Fixed cash rent (with option for indexing) tenant agrees to pay landowner an annual fixed. Illinois Farm Rental Agreement.
From www.template.net
14+ Farm Lease Agreement Templates PDF, Word Illinois Farm Rental Agreement Fixed cash rent (with option for indexing) tenant agrees to pay landowner an annual fixed cash rent as. To use this lease form: The national agriculture statistical service at the united states department of. One way to better understand cash rent is by consulting a county average survey. This draft document is intended. This draft of a farm lease agreement. Illinois Farm Rental Agreement.
From freeforms.com
Free Illinois Standard Residential Lease Agreement Template PDF WORD Illinois Farm Rental Agreement This draft of a farm lease agreement is intended for educational and general informational purposes only. Before farmland owners and tenant operators can begin negotiating cash rents for 2025, they must understand the projections for. Suggestions for completing and using this lease form are available from your county extension adviser and from illinois extension circular. The national agriculture statistical service. Illinois Farm Rental Agreement.
From ipropertymanagement.com
Illinois Lease Agreement (Free) 2021 Official PDF & Word Illinois Farm Rental Agreement The national agriculture statistical service at the united states department of. This draft of a farm lease agreement is intended for educational and general informational purposes only. To use this lease form: Suggestions for completing and using this lease form are available from your county extension adviser and from illinois extension circular. This draft document is intended. Fixed cash rent. Illinois Farm Rental Agreement.
From www.simplifyem.com
Illinois Lease Termination Illinois Farm Rental Agreement The national agriculture statistical service at the united states department of. To use this lease form: This draft of a farm lease agreement is intended for educational and general informational purposes only. Before farmland owners and tenant operators can begin negotiating cash rents for 2025, they must understand the projections for. Suggestions for completing and using this lease form are. Illinois Farm Rental Agreement.
From freeforms.com
Free Illinois Rental Lease Agreement Templates PDF WORD Illinois Farm Rental Agreement Suggestions for completing and using this lease form are available from your county extension adviser and from illinois extension circular. One way to better understand cash rent is by consulting a county average survey. To use this lease form: Before farmland owners and tenant operators can begin negotiating cash rents for 2025, they must understand the projections for. Fixed cash. Illinois Farm Rental Agreement.
From forms.legal
Rental Lease Agreement Illinois Free IL Rental Lease Agreement Illinois Farm Rental Agreement Before farmland owners and tenant operators can begin negotiating cash rents for 2025, they must understand the projections for. The national agriculture statistical service at the united states department of. Fixed cash rent (with option for indexing) tenant agrees to pay landowner an annual fixed cash rent as. This draft document is intended. This draft of a farm lease agreement. Illinois Farm Rental Agreement.
From www.simplifyem.com
Illinois Lease Agreement Illinois Farm Rental Agreement Suggestions for completing and using this lease form are available from your county extension adviser and from illinois extension circular. The national agriculture statistical service at the united states department of. Before farmland owners and tenant operators can begin negotiating cash rents for 2025, they must understand the projections for. To use this lease form: Fixed cash rent (with option. Illinois Farm Rental Agreement.
From printablelistarlen.z21.web.core.windows.net
Illinois Rental Lease Agreement Pdf Free Illinois Farm Rental Agreement One way to better understand cash rent is by consulting a county average survey. Suggestions for completing and using this lease form are available from your county extension adviser and from illinois extension circular. Fixed cash rent (with option for indexing) tenant agrees to pay landowner an annual fixed cash rent as. This draft of a farm lease agreement is. Illinois Farm Rental Agreement.
From www.heritagechristiancollege.com
Farm Lease Agreement Template Free Of 15 Land Lease Agreements Illinois Farm Rental Agreement This draft document is intended. To use this lease form: One way to better understand cash rent is by consulting a county average survey. This draft of a farm lease agreement is intended for educational and general informational purposes only. Before farmland owners and tenant operators can begin negotiating cash rents for 2025, they must understand the projections for. Fixed. Illinois Farm Rental Agreement.
From www.template.net
13+ Farm Lease Agreement Templates PDF, Word Free & Premium Templates Illinois Farm Rental Agreement The national agriculture statistical service at the united states department of. Suggestions for completing and using this lease form are available from your county extension adviser and from illinois extension circular. Fixed cash rent (with option for indexing) tenant agrees to pay landowner an annual fixed cash rent as. Before farmland owners and tenant operators can begin negotiating cash rents. Illinois Farm Rental Agreement.
From www.template.net
8+ Farm Lease Agreement Templates PDF, Word Illinois Farm Rental Agreement One way to better understand cash rent is by consulting a county average survey. To use this lease form: The national agriculture statistical service at the united states department of. This draft of a farm lease agreement is intended for educational and general informational purposes only. Before farmland owners and tenant operators can begin negotiating cash rents for 2025, they. Illinois Farm Rental Agreement.
From www.templateroller.com
Illinois Farm Lease Agreement Template Fill Out, Sign Online and Illinois Farm Rental Agreement The national agriculture statistical service at the united states department of. Before farmland owners and tenant operators can begin negotiating cash rents for 2025, they must understand the projections for. This draft of a farm lease agreement is intended for educational and general informational purposes only. Fixed cash rent (with option for indexing) tenant agrees to pay landowner an annual. Illinois Farm Rental Agreement.