Dirac Brackets Latex . To be able to write. Angle brackets and single vertical bar have been used to construct this braket notation. It offers many other goodies for typsetting physics things. The dirac bracket is a generalization of the poisson bracket developed by paul dirac [1] to treat classical systems with second class constraints in. Donald arseneau’s braket package provides commands for set specifications (as above) and for dirac brackets (and bras and kets). There is the physics package: Details can be found in the manul (texdoc physics from. You can use alt+l followed with < to type langle, and alt+r followed with > to type rangle. Besides, to type | inside the dirac braket,. I would have thought the. What's the best way to achieve the dirac slash notation for dirac operators (contraction with gamma matrices)? There are at least three different ways one can write such brackets, using erts or the lyx gui.
from slideplayer.com
The dirac bracket is a generalization of the poisson bracket developed by paul dirac [1] to treat classical systems with second class constraints in. You can use alt+l followed with < to type langle, and alt+r followed with > to type rangle. There are at least three different ways one can write such brackets, using erts or the lyx gui. Details can be found in the manul (texdoc physics from. To be able to write. I would have thought the. What's the best way to achieve the dirac slash notation for dirac operators (contraction with gamma matrices)? Besides, to type | inside the dirac braket,. Donald arseneau’s braket package provides commands for set specifications (as above) and for dirac brackets (and bras and kets). It offers many other goodies for typsetting physics things.
3D (Higher Spin) Gravity Black Holes and Statistical Entropy ppt download
Dirac Brackets Latex Donald arseneau’s braket package provides commands for set specifications (as above) and for dirac brackets (and bras and kets). It offers many other goodies for typsetting physics things. Details can be found in the manul (texdoc physics from. Angle brackets and single vertical bar have been used to construct this braket notation. What's the best way to achieve the dirac slash notation for dirac operators (contraction with gamma matrices)? There is the physics package: Besides, to type | inside the dirac braket,. I would have thought the. The dirac bracket is a generalization of the poisson bracket developed by paul dirac [1] to treat classical systems with second class constraints in. Donald arseneau’s braket package provides commands for set specifications (as above) and for dirac brackets (and bras and kets). To be able to write. There are at least three different ways one can write such brackets, using erts or the lyx gui. You can use alt+l followed with < to type langle, and alt+r followed with > to type rangle.
From klaitdtvm.blob.core.windows.net
Types Of Brackets In Latex at Hudson blog Dirac Brackets Latex Details can be found in the manul (texdoc physics from. There are at least three different ways one can write such brackets, using erts or the lyx gui. What's the best way to achieve the dirac slash notation for dirac operators (contraction with gamma matrices)? Besides, to type | inside the dirac braket,. Donald arseneau’s braket package provides commands for. Dirac Brackets Latex.
From courses.cs.washington.edu
Dirac notation Dirac Brackets Latex You can use alt+l followed with < to type langle, and alt+r followed with > to type rangle. To be able to write. Angle brackets and single vertical bar have been used to construct this braket notation. There is the physics package: The dirac bracket is a generalization of the poisson bracket developed by paul dirac [1] to treat classical. Dirac Brackets Latex.
From tex.stackexchange.com
brackets Lyx Quick way to insert Dirac braket TeX LaTeX Stack Exchange Dirac Brackets Latex Angle brackets and single vertical bar have been used to construct this braket notation. Details can be found in the manul (texdoc physics from. To be able to write. Donald arseneau’s braket package provides commands for set specifications (as above) and for dirac brackets (and bras and kets). It offers many other goodies for typsetting physics things. What's the best. Dirac Brackets Latex.
From www.youtube.com
LaTeX Tutorial 03 Brackets YouTube Dirac Brackets Latex I would have thought the. What's the best way to achieve the dirac slash notation for dirac operators (contraction with gamma matrices)? There is the physics package: Besides, to type | inside the dirac braket,. To be able to write. Angle brackets and single vertical bar have been used to construct this braket notation. Details can be found in the. Dirac Brackets Latex.
From www.researchgate.net
(PDF) Dirac bracket and time dependent constraints Dirac Brackets Latex Donald arseneau’s braket package provides commands for set specifications (as above) and for dirac brackets (and bras and kets). It offers many other goodies for typsetting physics things. There is the physics package: Besides, to type | inside the dirac braket,. To be able to write. What's the best way to achieve the dirac slash notation for dirac operators (contraction. Dirac Brackets Latex.
From tex.stackexchange.com
luatex Plot complete FermiDirac integral in Lualatex TeX LaTeX Stack Exchange Dirac Brackets Latex Besides, to type | inside the dirac braket,. What's the best way to achieve the dirac slash notation for dirac operators (contraction with gamma matrices)? You can use alt+l followed with < to type langle, and alt+r followed with > to type rangle. There are at least three different ways one can write such brackets, using erts or the lyx. Dirac Brackets Latex.
From dokumen.tips
(PDF) Dirac Brackets in Constrained Dynamics DOKUMEN.TIPS Dirac Brackets Latex You can use alt+l followed with < to type langle, and alt+r followed with > to type rangle. There are at least three different ways one can write such brackets, using erts or the lyx gui. To be able to write. Angle brackets and single vertical bar have been used to construct this braket notation. Donald arseneau’s braket package provides. Dirac Brackets Latex.
From www.amazon.co.jp
Amazon.co.jp Dirac Bracket 本 Dirac Brackets Latex Donald arseneau’s braket package provides commands for set specifications (as above) and for dirac brackets (and bras and kets). There are at least three different ways one can write such brackets, using erts or the lyx gui. The dirac bracket is a generalization of the poisson bracket developed by paul dirac [1] to treat classical systems with second class constraints. Dirac Brackets Latex.
From www.researchgate.net
(PDF) Timedependent constrained Hamiltonian systems and Dirac brackets Dirac Brackets Latex There is the physics package: Besides, to type | inside the dirac braket,. It offers many other goodies for typsetting physics things. I would have thought the. To be able to write. You can use alt+l followed with < to type langle, and alt+r followed with > to type rangle. There are at least three different ways one can write. Dirac Brackets Latex.
From www.youtube.com
Dirac Notation Properties and Neat Rules YouTube Dirac Brackets Latex What's the best way to achieve the dirac slash notation for dirac operators (contraction with gamma matrices)? You can use alt+l followed with < to type langle, and alt+r followed with > to type rangle. Donald arseneau’s braket package provides commands for set specifications (as above) and for dirac brackets (and bras and kets). Details can be found in the. Dirac Brackets Latex.
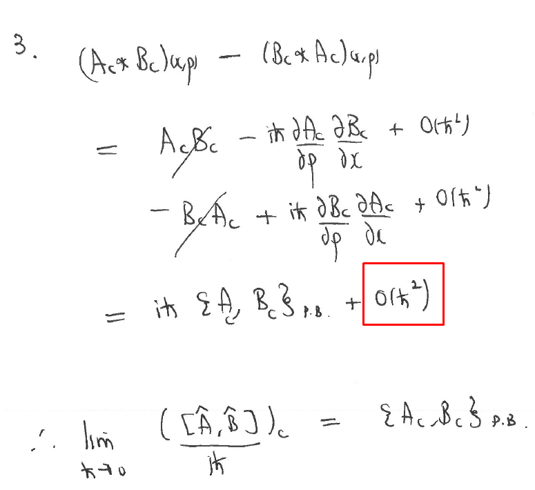
From math.stackexchange.com
limits Need help understanding the proof of Dirac's famous relation between commutators and Dirac Brackets Latex Donald arseneau’s braket package provides commands for set specifications (as above) and for dirac brackets (and bras and kets). There is the physics package: Details can be found in the manul (texdoc physics from. I would have thought the. What's the best way to achieve the dirac slash notation for dirac operators (contraction with gamma matrices)? There are at least. Dirac Brackets Latex.
From www.scribd.com
Dirac Brackets PDF Lagrangian Mechanics Hamiltonian Mechanics Dirac Brackets Latex I would have thought the. Donald arseneau’s braket package provides commands for set specifications (as above) and for dirac brackets (and bras and kets). What's the best way to achieve the dirac slash notation for dirac operators (contraction with gamma matrices)? Angle brackets and single vertical bar have been used to construct this braket notation. The dirac bracket is a. Dirac Brackets Latex.
From www.hoyolab.com
Abyss Dirac Sea Master's Bracket Honkai Impact 3rd HoYoLAB Dirac Brackets Latex There is the physics package: Angle brackets and single vertical bar have been used to construct this braket notation. To be able to write. Details can be found in the manul (texdoc physics from. What's the best way to achieve the dirac slash notation for dirac operators (contraction with gamma matrices)? Besides, to type | inside the dirac braket,. I. Dirac Brackets Latex.
From www.researchgate.net
(PDF) Holography of information in massive gravity using Dirac brackets Dirac Brackets Latex There are at least three different ways one can write such brackets, using erts or the lyx gui. The dirac bracket is a generalization of the poisson bracket developed by paul dirac [1] to treat classical systems with second class constraints in. You can use alt+l followed with < to type langle, and alt+r followed with > to type rangle.. Dirac Brackets Latex.
From www.slideshare.net
Dirac notation Dirac Brackets Latex The dirac bracket is a generalization of the poisson bracket developed by paul dirac [1] to treat classical systems with second class constraints in. To be able to write. There are at least three different ways one can write such brackets, using erts or the lyx gui. It offers many other goodies for typsetting physics things. Angle brackets and single. Dirac Brackets Latex.
From www.researchgate.net
(PDF) The Dirac (Bracket) Notation in the Undergraduate Physical Chemistry Curriculum A Dirac Brackets Latex It offers many other goodies for typsetting physics things. Donald arseneau’s braket package provides commands for set specifications (as above) and for dirac brackets (and bras and kets). The dirac bracket is a generalization of the poisson bracket developed by paul dirac [1] to treat classical systems with second class constraints in. There are at least three different ways one. Dirac Brackets Latex.
From www.youtube.com
LaTeX Tutorial 3 Brackets, Tables & Arrays Part 2/2 YouTube Dirac Brackets Latex To be able to write. Besides, to type | inside the dirac braket,. The dirac bracket is a generalization of the poisson bracket developed by paul dirac [1] to treat classical systems with second class constraints in. It offers many other goodies for typsetting physics things. You can use alt+l followed with < to type langle, and alt+r followed with. Dirac Brackets Latex.
From www.youtube.com
Introduction to Dirac Notation YouTube Dirac Brackets Latex What's the best way to achieve the dirac slash notation for dirac operators (contraction with gamma matrices)? There is the physics package: The dirac bracket is a generalization of the poisson bracket developed by paul dirac [1] to treat classical systems with second class constraints in. There are at least three different ways one can write such brackets, using erts. Dirac Brackets Latex.
From www.researchgate.net
(PDF) Canonical description of fluid Dirac brackets approach Dirac Brackets Latex You can use alt+l followed with < to type langle, and alt+r followed with > to type rangle. Angle brackets and single vertical bar have been used to construct this braket notation. I would have thought the. Donald arseneau’s braket package provides commands for set specifications (as above) and for dirac brackets (and bras and kets). To be able to. Dirac Brackets Latex.
From www.slideserve.com
PPT DIRAC NOTATION PowerPoint Presentation, free download ID6101439 Dirac Brackets Latex What's the best way to achieve the dirac slash notation for dirac operators (contraction with gamma matrices)? It offers many other goodies for typsetting physics things. Details can be found in the manul (texdoc physics from. There is the physics package: Donald arseneau’s braket package provides commands for set specifications (as above) and for dirac brackets (and bras and kets).. Dirac Brackets Latex.
From lastminutecompostshredder.blogspot.com
Latex Bra Ket Notation Dirac Brackets Latex Details can be found in the manul (texdoc physics from. You can use alt+l followed with < to type langle, and alt+r followed with > to type rangle. There is the physics package: The dirac bracket is a generalization of the poisson bracket developed by paul dirac [1] to treat classical systems with second class constraints in. It offers many. Dirac Brackets Latex.
From www.cambridge.org
THE THEORY OF DIRAC; USE OF POISSON BRACKETS; THE ENERGY LAW AND BOHR'S FREQUENCY CONDITION Dirac Brackets Latex I would have thought the. It offers many other goodies for typsetting physics things. There is the physics package: What's the best way to achieve the dirac slash notation for dirac operators (contraction with gamma matrices)? Details can be found in the manul (texdoc physics from. There are at least three different ways one can write such brackets, using erts. Dirac Brackets Latex.
From www.researchgate.net
(PDF) Holography of information in massive gravity using Dirac brackets Dirac Brackets Latex Details can be found in the manul (texdoc physics from. To be able to write. What's the best way to achieve the dirac slash notation for dirac operators (contraction with gamma matrices)? The dirac bracket is a generalization of the poisson bracket developed by paul dirac [1] to treat classical systems with second class constraints in. Besides, to type |. Dirac Brackets Latex.
From slideplayer.com
3D (Higher Spin) Gravity Black Holes and Statistical Entropy ppt download Dirac Brackets Latex You can use alt+l followed with < to type langle, and alt+r followed with > to type rangle. There is the physics package: Details can be found in the manul (texdoc physics from. Angle brackets and single vertical bar have been used to construct this braket notation. It offers many other goodies for typsetting physics things. What's the best way. Dirac Brackets Latex.
From www.shapeways.com
Dirac Bracket Notation Earrings (EQCFTMJYC) by WillLaPuerta Dirac Brackets Latex It offers many other goodies for typsetting physics things. There is the physics package: I would have thought the. Donald arseneau’s braket package provides commands for set specifications (as above) and for dirac brackets (and bras and kets). What's the best way to achieve the dirac slash notation for dirac operators (contraction with gamma matrices)? You can use alt+l followed. Dirac Brackets Latex.
From www.youtube.com
How to expand brackets symbols using Latex YouTube Dirac Brackets Latex Besides, to type | inside the dirac braket,. It offers many other goodies for typsetting physics things. Angle brackets and single vertical bar have been used to construct this braket notation. You can use alt+l followed with < to type langle, and alt+r followed with > to type rangle. There is the physics package: There are at least three different. Dirac Brackets Latex.
From www.researchgate.net
(PDF) Dirac brackets from backgrounds Dirac Brackets Latex Angle brackets and single vertical bar have been used to construct this braket notation. Donald arseneau’s braket package provides commands for set specifications (as above) and for dirac brackets (and bras and kets). Besides, to type | inside the dirac braket,. I would have thought the. What's the best way to achieve the dirac slash notation for dirac operators (contraction. Dirac Brackets Latex.
From www.researchgate.net
(PDF) Numerical integration of constrained Hamiltonian systems using Dirac brackets Dirac Brackets Latex There are at least three different ways one can write such brackets, using erts or the lyx gui. Besides, to type | inside the dirac braket,. You can use alt+l followed with < to type langle, and alt+r followed with > to type rangle. To be able to write. Donald arseneau’s braket package provides commands for set specifications (as above). Dirac Brackets Latex.
From www.researchgate.net
(PDF) Quantizing Dirac and Nambu Brackets Dirac Brackets Latex Details can be found in the manul (texdoc physics from. I would have thought the. There is the physics package: Angle brackets and single vertical bar have been used to construct this braket notation. Donald arseneau’s braket package provides commands for set specifications (as above) and for dirac brackets (and bras and kets). There are at least three different ways. Dirac Brackets Latex.
From www.youtube.com
(UPDATED) LaTeX Tutorial 3 Brackets, Tables, and Arrays YouTube Dirac Brackets Latex Donald arseneau’s braket package provides commands for set specifications (as above) and for dirac brackets (and bras and kets). It offers many other goodies for typsetting physics things. There is the physics package: You can use alt+l followed with < to type langle, and alt+r followed with > to type rangle. Besides, to type | inside the dirac braket,. Angle. Dirac Brackets Latex.
From tex.stackexchange.com
math mode How to write this variant of Dirac slashed derivative? TeX LaTeX Stack Exchange Dirac Brackets Latex The dirac bracket is a generalization of the poisson bracket developed by paul dirac [1] to treat classical systems with second class constraints in. Besides, to type | inside the dirac braket,. What's the best way to achieve the dirac slash notation for dirac operators (contraction with gamma matrices)? There is the physics package: Details can be found in the. Dirac Brackets Latex.
From dokumen.tips
(PDF) Dirac brackets for Galilean gauge theories DOKUMEN.TIPS Dirac Brackets Latex It offers many other goodies for typsetting physics things. Besides, to type | inside the dirac braket,. You can use alt+l followed with < to type langle, and alt+r followed with > to type rangle. The dirac bracket is a generalization of the poisson bracket developed by paul dirac [1] to treat classical systems with second class constraints in. There. Dirac Brackets Latex.
From www.researchgate.net
(PDF) The Dirac bracket Dirac Brackets Latex What's the best way to achieve the dirac slash notation for dirac operators (contraction with gamma matrices)? To be able to write. You can use alt+l followed with < to type langle, and alt+r followed with > to type rangle. Angle brackets and single vertical bar have been used to construct this braket notation. Details can be found in the. Dirac Brackets Latex.
From www.chegg.com
Solved Problem 1 Dirac Notation [2 marks] Write the Dirac Brackets Latex I would have thought the. Donald arseneau’s braket package provides commands for set specifications (as above) and for dirac brackets (and bras and kets). There are at least three different ways one can write such brackets, using erts or the lyx gui. It offers many other goodies for typsetting physics things. Details can be found in the manul (texdoc physics. Dirac Brackets Latex.
From www.youtube.com
Entiende los Corchetes de Dirac, BRACKETS en el espacio VxV' sección 14, Halmos YouTube Dirac Brackets Latex To be able to write. Angle brackets and single vertical bar have been used to construct this braket notation. I would have thought the. Details can be found in the manul (texdoc physics from. There are at least three different ways one can write such brackets, using erts or the lyx gui. The dirac bracket is a generalization of the. Dirac Brackets Latex.