Thrown Ball Horizontally . It can find the time of flight, but also the components of velocity, the range of the projectile, and the. It travels a horizontal distance of 18 m, to the plate before it is caught. Rather than using the projectile motion equations to find the projectile motion, you can use the projectile motion calculator which is also known as horizontal distance calculator, maximum height calculator or kinematic calculator. The ball travels before heating the ground when it is thrown horizontally at from a height above the ground. A baseball is thrown horizontally with a velocity of 44 m/s. This horizontal projectile motion calculator is a tool to solve a particular case of projectile motion, where an object is launched horizontally from. Thus, a ball thrown horizontally will reach the ground at the same time as a ball. The ball is in the air for approximately 3.5 seconds. Our projectile motion calculator is a tool that helps you analyze parabolic projectile motion. These provide you with the values needed without manual computation. The initial horizontal component of the velocity is. What will happen when you toss a ball horizontally? How far does the baseball drop during its flight?
from www.chegg.com
Our projectile motion calculator is a tool that helps you analyze parabolic projectile motion. Thus, a ball thrown horizontally will reach the ground at the same time as a ball. A baseball is thrown horizontally with a velocity of 44 m/s. It can find the time of flight, but also the components of velocity, the range of the projectile, and the. The ball travels before heating the ground when it is thrown horizontally at from a height above the ground. What will happen when you toss a ball horizontally? How far does the baseball drop during its flight? It travels a horizontal distance of 18 m, to the plate before it is caught. Rather than using the projectile motion equations to find the projectile motion, you can use the projectile motion calculator which is also known as horizontal distance calculator, maximum height calculator or kinematic calculator. This horizontal projectile motion calculator is a tool to solve a particular case of projectile motion, where an object is launched horizontally from.
Solved A ball is thrown horizontally from the top of a
Thrown Ball Horizontally It can find the time of flight, but also the components of velocity, the range of the projectile, and the. How far does the baseball drop during its flight? The initial horizontal component of the velocity is. The ball travels before heating the ground when it is thrown horizontally at from a height above the ground. It can find the time of flight, but also the components of velocity, the range of the projectile, and the. Our projectile motion calculator is a tool that helps you analyze parabolic projectile motion. It travels a horizontal distance of 18 m, to the plate before it is caught. What will happen when you toss a ball horizontally? Rather than using the projectile motion equations to find the projectile motion, you can use the projectile motion calculator which is also known as horizontal distance calculator, maximum height calculator or kinematic calculator. Thus, a ball thrown horizontally will reach the ground at the same time as a ball. These provide you with the values needed without manual computation. This horizontal projectile motion calculator is a tool to solve a particular case of projectile motion, where an object is launched horizontally from. The ball is in the air for approximately 3.5 seconds. A baseball is thrown horizontally with a velocity of 44 m/s.
From www.chegg.com
Solved A ball is thrown horizontally from the top of a Thrown Ball Horizontally These provide you with the values needed without manual computation. How far does the baseball drop during its flight? Rather than using the projectile motion equations to find the projectile motion, you can use the projectile motion calculator which is also known as horizontal distance calculator, maximum height calculator or kinematic calculator. The initial horizontal component of the velocity is.. Thrown Ball Horizontally.
From www.coursehero.com
[Solved] A ball is thrown horizontally from the top of a 150ft cliff Thrown Ball Horizontally Thus, a ball thrown horizontally will reach the ground at the same time as a ball. These provide you with the values needed without manual computation. The ball is in the air for approximately 3.5 seconds. The initial horizontal component of the velocity is. It can find the time of flight, but also the components of velocity, the range of. Thrown Ball Horizontally.
From www.scribd.com
Two Ball Thrown Horizontally PDF Thrown Ball Horizontally It travels a horizontal distance of 18 m, to the plate before it is caught. What will happen when you toss a ball horizontally? Thus, a ball thrown horizontally will reach the ground at the same time as a ball. The initial horizontal component of the velocity is. The ball travels before heating the ground when it is thrown horizontally. Thrown Ball Horizontally.
From www.doubtnut.com
A ball is thrown horizontally from the top of a tower. What happens to Thrown Ball Horizontally Our projectile motion calculator is a tool that helps you analyze parabolic projectile motion. These provide you with the values needed without manual computation. How far does the baseball drop during its flight? Rather than using the projectile motion equations to find the projectile motion, you can use the projectile motion calculator which is also known as horizontal distance calculator,. Thrown Ball Horizontally.
From www.doubtnut.com
A ball is thrown horizontally with a speed of 20 m//s from the top of Thrown Ball Horizontally The ball is in the air for approximately 3.5 seconds. How far does the baseball drop during its flight? A baseball is thrown horizontally with a velocity of 44 m/s. Our projectile motion calculator is a tool that helps you analyze parabolic projectile motion. It can find the time of flight, but also the components of velocity, the range of. Thrown Ball Horizontally.
From www.chegg.com
Solved A ball is thrown horizontally from the top of a 20m Thrown Ball Horizontally Rather than using the projectile motion equations to find the projectile motion, you can use the projectile motion calculator which is also known as horizontal distance calculator, maximum height calculator or kinematic calculator. What will happen when you toss a ball horizontally? The initial horizontal component of the velocity is. This horizontal projectile motion calculator is a tool to solve. Thrown Ball Horizontally.
From www.youtube.com
The projectile of throwing a ball horizontally out of a window. YouTube Thrown Ball Horizontally Rather than using the projectile motion equations to find the projectile motion, you can use the projectile motion calculator which is also known as horizontal distance calculator, maximum height calculator or kinematic calculator. How far does the baseball drop during its flight? It can find the time of flight, but also the components of velocity, the range of the projectile,. Thrown Ball Horizontally.
From byjus.com
two balls are thrown horizontally from top of a building with speed u1 Thrown Ball Horizontally The initial horizontal component of the velocity is. It travels a horizontal distance of 18 m, to the plate before it is caught. It can find the time of flight, but also the components of velocity, the range of the projectile, and the. This horizontal projectile motion calculator is a tool to solve a particular case of projectile motion, where. Thrown Ball Horizontally.
From www.toppr.com
A ball thrown horizontally with velocity v from the top of a tower of Thrown Ball Horizontally What will happen when you toss a ball horizontally? The initial horizontal component of the velocity is. The ball is in the air for approximately 3.5 seconds. How far does the baseball drop during its flight? These provide you with the values needed without manual computation. This horizontal projectile motion calculator is a tool to solve a particular case of. Thrown Ball Horizontally.
From www.youtube.com
A ball is thrown horizontally from the roof of a building 9.0m tall and Thrown Ball Horizontally What will happen when you toss a ball horizontally? It travels a horizontal distance of 18 m, to the plate before it is caught. These provide you with the values needed without manual computation. Thus, a ball thrown horizontally will reach the ground at the same time as a ball. This horizontal projectile motion calculator is a tool to solve. Thrown Ball Horizontally.
From www.doubtnut.com
A ball is thrown with velocity 40 m//s at angle 30^() with horizontal Thrown Ball Horizontally It can find the time of flight, but also the components of velocity, the range of the projectile, and the. It travels a horizontal distance of 18 m, to the plate before it is caught. These provide you with the values needed without manual computation. The ball travels before heating the ground when it is thrown horizontally at from a. Thrown Ball Horizontally.
From www.chegg.com
Solved A ball is thrown horizontally from the roof of a Thrown Ball Horizontally The ball travels before heating the ground when it is thrown horizontally at from a height above the ground. What will happen when you toss a ball horizontally? These provide you with the values needed without manual computation. This horizontal projectile motion calculator is a tool to solve a particular case of projectile motion, where an object is launched horizontally. Thrown Ball Horizontally.
From socratic.org
A ball is thrown horizontally from a cliff and hits the ground 4 Thrown Ball Horizontally The initial horizontal component of the velocity is. Our projectile motion calculator is a tool that helps you analyze parabolic projectile motion. A baseball is thrown horizontally with a velocity of 44 m/s. These provide you with the values needed without manual computation. Thus, a ball thrown horizontally will reach the ground at the same time as a ball. The. Thrown Ball Horizontally.
From www.toppr.com
A ball is thrown horizontally from a cliff such that it strikes the Thrown Ball Horizontally Rather than using the projectile motion equations to find the projectile motion, you can use the projectile motion calculator which is also known as horizontal distance calculator, maximum height calculator or kinematic calculator. This horizontal projectile motion calculator is a tool to solve a particular case of projectile motion, where an object is launched horizontally from. The initial horizontal component. Thrown Ball Horizontally.
From www.youtube.com
Projectile motion Projectile Motion from a Height Ball Thrown Thrown Ball Horizontally It travels a horizontal distance of 18 m, to the plate before it is caught. It can find the time of flight, but also the components of velocity, the range of the projectile, and the. Our projectile motion calculator is a tool that helps you analyze parabolic projectile motion. This horizontal projectile motion calculator is a tool to solve a. Thrown Ball Horizontally.
From www.youtube.com
A ball thrown horizontally at 23.7 m/s from the roof of a building Thrown Ball Horizontally What will happen when you toss a ball horizontally? The ball travels before heating the ground when it is thrown horizontally at from a height above the ground. Our projectile motion calculator is a tool that helps you analyze parabolic projectile motion. The ball is in the air for approximately 3.5 seconds. It can find the time of flight, but. Thrown Ball Horizontally.
From questions-in.kunduz.com
3 . A ball is thrown horizontally from the top of a Physics Thrown Ball Horizontally Our projectile motion calculator is a tool that helps you analyze parabolic projectile motion. How far does the baseball drop during its flight? It can find the time of flight, but also the components of velocity, the range of the projectile, and the. It travels a horizontal distance of 18 m, to the plate before it is caught. What will. Thrown Ball Horizontally.
From www.slideserve.com
PPT Projectile Motion PowerPoint Presentation ID7012739 Thrown Ball Horizontally The ball travels before heating the ground when it is thrown horizontally at from a height above the ground. The ball is in the air for approximately 3.5 seconds. It travels a horizontal distance of 18 m, to the plate before it is caught. These provide you with the values needed without manual computation. Thus, a ball thrown horizontally will. Thrown Ball Horizontally.
From www.bartleby.com
Answered start 7. A ball is thrown horizontally… bartleby Thrown Ball Horizontally Thus, a ball thrown horizontally will reach the ground at the same time as a ball. The ball travels before heating the ground when it is thrown horizontally at from a height above the ground. The ball is in the air for approximately 3.5 seconds. Rather than using the projectile motion equations to find the projectile motion, you can use. Thrown Ball Horizontally.
From quizlet.com
A ball is thrown horizontally from the top of a 60.0m build Quizlet Thrown Ball Horizontally It can find the time of flight, but also the components of velocity, the range of the projectile, and the. Rather than using the projectile motion equations to find the projectile motion, you can use the projectile motion calculator which is also known as horizontal distance calculator, maximum height calculator or kinematic calculator. This horizontal projectile motion calculator is a. Thrown Ball Horizontally.
From www.bartleby.com
Answered EX.2 A ball thrown horizontally from… bartleby Thrown Ball Horizontally Rather than using the projectile motion equations to find the projectile motion, you can use the projectile motion calculator which is also known as horizontal distance calculator, maximum height calculator or kinematic calculator. What will happen when you toss a ball horizontally? A baseball is thrown horizontally with a velocity of 44 m/s. It travels a horizontal distance of 18. Thrown Ball Horizontally.
From www.toppr.com
A ball is thrown horizontally from the top of a tower 40 m high. The Thrown Ball Horizontally These provide you with the values needed without manual computation. This horizontal projectile motion calculator is a tool to solve a particular case of projectile motion, where an object is launched horizontally from. What will happen when you toss a ball horizontally? Our projectile motion calculator is a tool that helps you analyze parabolic projectile motion. The initial horizontal component. Thrown Ball Horizontally.
From www.numerade.com
SOLVED A ball is thrown horizontally from the edge of a building at a Thrown Ball Horizontally These provide you with the values needed without manual computation. What will happen when you toss a ball horizontally? It can find the time of flight, but also the components of velocity, the range of the projectile, and the. Thus, a ball thrown horizontally will reach the ground at the same time as a ball. The ball travels before heating. Thrown Ball Horizontally.
From www.numerade.com
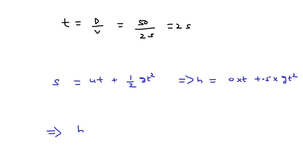
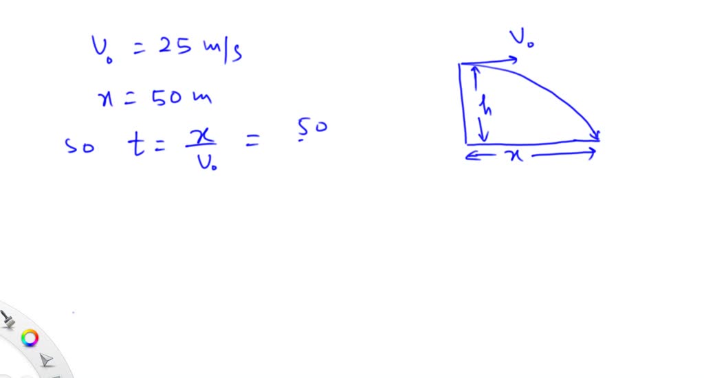
SOLVED A ball thrown horizontally at 25 m/s travels a horizontal Thrown Ball Horizontally Rather than using the projectile motion equations to find the projectile motion, you can use the projectile motion calculator which is also known as horizontal distance calculator, maximum height calculator or kinematic calculator. This horizontal projectile motion calculator is a tool to solve a particular case of projectile motion, where an object is launched horizontally from. The ball is in. Thrown Ball Horizontally.
From www.chegg.com
Solved A ball thrown horizontally at 12.5 m/s from the roof Thrown Ball Horizontally The ball travels before heating the ground when it is thrown horizontally at from a height above the ground. The initial horizontal component of the velocity is. It travels a horizontal distance of 18 m, to the plate before it is caught. Our projectile motion calculator is a tool that helps you analyze parabolic projectile motion. How far does the. Thrown Ball Horizontally.
From www.doubtnut.com
A ball is thrown horizontally from a point O with speed 20 m/s as show Thrown Ball Horizontally How far does the baseball drop during its flight? A baseball is thrown horizontally with a velocity of 44 m/s. Rather than using the projectile motion equations to find the projectile motion, you can use the projectile motion calculator which is also known as horizontal distance calculator, maximum height calculator or kinematic calculator. The ball travels before heating the ground. Thrown Ball Horizontally.
From www.numerade.com
A ball thrown horizontally at 25 m/s travels a horizontal distance of Thrown Ball Horizontally Our projectile motion calculator is a tool that helps you analyze parabolic projectile motion. Thus, a ball thrown horizontally will reach the ground at the same time as a ball. How far does the baseball drop during its flight? These provide you with the values needed without manual computation. The ball is in the air for approximately 3.5 seconds. The. Thrown Ball Horizontally.
From www.youtube.com
A ball is thrown horizontally from top of a tower with velocity `30 m Thrown Ball Horizontally The ball travels before heating the ground when it is thrown horizontally at from a height above the ground. This horizontal projectile motion calculator is a tool to solve a particular case of projectile motion, where an object is launched horizontally from. These provide you with the values needed without manual computation. It can find the time of flight, but. Thrown Ball Horizontally.
From www.coursehero.com
A ball is thrown horizontally from the roof of a building 60.9 m Thrown Ball Horizontally This horizontal projectile motion calculator is a tool to solve a particular case of projectile motion, where an object is launched horizontally from. How far does the baseball drop during its flight? It can find the time of flight, but also the components of velocity, the range of the projectile, and the. What will happen when you toss a ball. Thrown Ball Horizontally.
From www.youtube.com
A ball is thrown horizontally with speed `10 m//s` from the top of Thrown Ball Horizontally Our projectile motion calculator is a tool that helps you analyze parabolic projectile motion. These provide you with the values needed without manual computation. The initial horizontal component of the velocity is. The ball is in the air for approximately 3.5 seconds. What will happen when you toss a ball horizontally? This horizontal projectile motion calculator is a tool to. Thrown Ball Horizontally.
From www.numerade.com
SOLVED A ball is thrown horizontally at a height of 2.20 meters at a Thrown Ball Horizontally This horizontal projectile motion calculator is a tool to solve a particular case of projectile motion, where an object is launched horizontally from. It travels a horizontal distance of 18 m, to the plate before it is caught. Rather than using the projectile motion equations to find the projectile motion, you can use the projectile motion calculator which is also. Thrown Ball Horizontally.
From www.numerade.com
SOLVED (II) A ball thrown horizontally at 22.2 m / s from the roof of Thrown Ball Horizontally How far does the baseball drop during its flight? The ball travels before heating the ground when it is thrown horizontally at from a height above the ground. It travels a horizontal distance of 18 m, to the plate before it is caught. The ball is in the air for approximately 3.5 seconds. Our projectile motion calculator is a tool. Thrown Ball Horizontally.
From www.youtube.com
A ball is thrown horizontally from the top of a tower and strikes the Thrown Ball Horizontally Our projectile motion calculator is a tool that helps you analyze parabolic projectile motion. Thus, a ball thrown horizontally will reach the ground at the same time as a ball. A baseball is thrown horizontally with a velocity of 44 m/s. The ball travels before heating the ground when it is thrown horizontally at from a height above the ground.. Thrown Ball Horizontally.
From questions.kunduz.com
A ball is thrown horizontally from the top of a buil... Physics Thrown Ball Horizontally How far does the baseball drop during its flight? It travels a horizontal distance of 18 m, to the plate before it is caught. Rather than using the projectile motion equations to find the projectile motion, you can use the projectile motion calculator which is also known as horizontal distance calculator, maximum height calculator or kinematic calculator. Thus, a ball. Thrown Ball Horizontally.
From www.youtube.com
Two balls are thrown horizontally from the top of a building with speed Thrown Ball Horizontally The initial horizontal component of the velocity is. This horizontal projectile motion calculator is a tool to solve a particular case of projectile motion, where an object is launched horizontally from. The ball is in the air for approximately 3.5 seconds. Thus, a ball thrown horizontally will reach the ground at the same time as a ball. These provide you. Thrown Ball Horizontally.