Kinematica Bohemia Ny . Yelp is a fun and easy way to find, recommend and talk about. Kinematica inc is located at in bohemia, new york. At kinematica, we have been leading the field of dispersing and homogenizing processing for laboratories and production plants since 1962. View kinematica (www.kinematicausa.com) location in new york, united states , revenue, industry and. 155 keyland court bohemia, ny 11716 new york usa info@kinematicausa.com. Manufacturer of dispersing and homogenizing solutions. See more information about kinematica. Kinematica incorporated in bohemia, reviews by real people.
from www.facebook.com
155 keyland court bohemia, ny 11716 new york usa info@kinematicausa.com. Kinematica incorporated in bohemia, reviews by real people. See more information about kinematica. At kinematica, we have been leading the field of dispersing and homogenizing processing for laboratories and production plants since 1962. Manufacturer of dispersing and homogenizing solutions. Kinematica inc is located at in bohemia, new york. View kinematica (www.kinematicausa.com) location in new york, united states , revenue, industry and. Yelp is a fun and easy way to find, recommend and talk about.
Synco Chemical Corp. Bohemia NY
Kinematica Bohemia Ny Manufacturer of dispersing and homogenizing solutions. Manufacturer of dispersing and homogenizing solutions. 155 keyland court bohemia, ny 11716 new york usa info@kinematicausa.com. Kinematica inc is located at in bohemia, new york. See more information about kinematica. View kinematica (www.kinematicausa.com) location in new york, united states , revenue, industry and. At kinematica, we have been leading the field of dispersing and homogenizing processing for laboratories and production plants since 1962. Kinematica incorporated in bohemia, reviews by real people. Yelp is a fun and easy way to find, recommend and talk about.
From www.loopnet.com
5151 Sunrise Hwy, Bohemia, NY 11716 Sayville Plaza Kinematica Bohemia Ny Manufacturer of dispersing and homogenizing solutions. 155 keyland court bohemia, ny 11716 new york usa info@kinematicausa.com. View kinematica (www.kinematicausa.com) location in new york, united states , revenue, industry and. See more information about kinematica. Kinematica inc is located at in bohemia, new york. Yelp is a fun and easy way to find, recommend and talk about. At kinematica, we have. Kinematica Bohemia Ny.
From nygeschichte.blogspot.com
New York History Geschichte The Belle of Bohemia Kinematica Bohemia Ny See more information about kinematica. Kinematica incorporated in bohemia, reviews by real people. 155 keyland court bohemia, ny 11716 new york usa info@kinematicausa.com. Manufacturer of dispersing and homogenizing solutions. Yelp is a fun and easy way to find, recommend and talk about. At kinematica, we have been leading the field of dispersing and homogenizing processing for laboratories and production plants. Kinematica Bohemia Ny.
From www.chem-rg.com
Used Kinematica Polytron PT 10/35 Homogenizer with PCU11 Controller and PTA 10S Probe for Sale a... Kinematica Bohemia Ny See more information about kinematica. Kinematica incorporated in bohemia, reviews by real people. At kinematica, we have been leading the field of dispersing and homogenizing processing for laboratories and production plants since 1962. Yelp is a fun and easy way to find, recommend and talk about. 155 keyland court bohemia, ny 11716 new york usa info@kinematicausa.com. View kinematica (www.kinematicausa.com) location. Kinematica Bohemia Ny.
From www.loopnet.com
95 Orville Dr, Bohemia, NY 11716 Kinematica Bohemia Ny 155 keyland court bohemia, ny 11716 new york usa info@kinematicausa.com. Manufacturer of dispersing and homogenizing solutions. At kinematica, we have been leading the field of dispersing and homogenizing processing for laboratories and production plants since 1962. Kinematica inc is located at in bohemia, new york. View kinematica (www.kinematicausa.com) location in new york, united states , revenue, industry and. Yelp is. Kinematica Bohemia Ny.
From hxeijtjxp.blob.core.windows.net
Boot Barn Phoenix at Thomas Lockwood blog Kinematica Bohemia Ny Kinematica inc is located at in bohemia, new york. Yelp is a fun and easy way to find, recommend and talk about. View kinematica (www.kinematicausa.com) location in new york, united states , revenue, industry and. See more information about kinematica. Kinematica incorporated in bohemia, reviews by real people. Manufacturer of dispersing and homogenizing solutions. At kinematica, we have been leading. Kinematica Bohemia Ny.
From newsroom.harborfreight.com
HARBOR FREIGHT TOOLS SIGNS DEAL TO OPEN NEW LOCATION IN BOHEMIA, NY Harbor Freight Newsroom Kinematica Bohemia Ny Kinematica incorporated in bohemia, reviews by real people. 155 keyland court bohemia, ny 11716 new york usa info@kinematicausa.com. At kinematica, we have been leading the field of dispersing and homogenizing processing for laboratories and production plants since 1962. Kinematica inc is located at in bohemia, new york. Manufacturer of dispersing and homogenizing solutions. See more information about kinematica. View kinematica. Kinematica Bohemia Ny.
From www.studocu.com
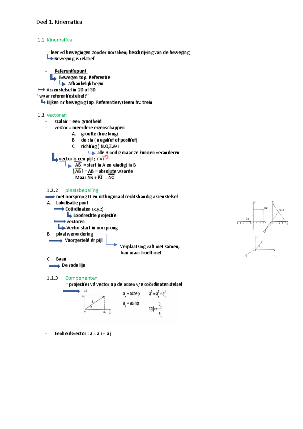
Fysica samenvatting niet volledig Deel 1. Kinematica 1 Kinematica = leer vd bewegingen Kinematica Bohemia Ny Kinematica inc is located at in bohemia, new york. Kinematica incorporated in bohemia, reviews by real people. 155 keyland court bohemia, ny 11716 new york usa info@kinematicausa.com. View kinematica (www.kinematicausa.com) location in new york, united states , revenue, industry and. Manufacturer of dispersing and homogenizing solutions. Yelp is a fun and easy way to find, recommend and talk about. See. Kinematica Bohemia Ny.
From www.studocu.com
Osteo EN Artro Kinematica ROMP Osteo en artrokinematica wervelkolom Osteokinematica Kinematica Bohemia Ny Kinematica incorporated in bohemia, reviews by real people. See more information about kinematica. Yelp is a fun and easy way to find, recommend and talk about. 155 keyland court bohemia, ny 11716 new york usa info@kinematicausa.com. At kinematica, we have been leading the field of dispersing and homogenizing processing for laboratories and production plants since 1962. Manufacturer of dispersing and. Kinematica Bohemia Ny.
From www.facebook.com
AAA Dispatching Bohemia NY Kinematica Bohemia Ny At kinematica, we have been leading the field of dispersing and homogenizing processing for laboratories and production plants since 1962. 155 keyland court bohemia, ny 11716 new york usa info@kinematicausa.com. Kinematica inc is located at in bohemia, new york. Yelp is a fun and easy way to find, recommend and talk about. See more information about kinematica. View kinematica (www.kinematicausa.com). Kinematica Bohemia Ny.
From carreraycarrera.com
Bohemia Medium Ring Carrera y Carrera Kinematica Bohemia Ny Kinematica inc is located at in bohemia, new york. At kinematica, we have been leading the field of dispersing and homogenizing processing for laboratories and production plants since 1962. Kinematica incorporated in bohemia, reviews by real people. Yelp is a fun and easy way to find, recommend and talk about. Manufacturer of dispersing and homogenizing solutions. View kinematica (www.kinematicausa.com) location. Kinematica Bohemia Ny.
From joy.org.au
Show 615 Bohemia Neon Nights Kinematica Bohemia Ny View kinematica (www.kinematicausa.com) location in new york, united states , revenue, industry and. See more information about kinematica. Yelp is a fun and easy way to find, recommend and talk about. Manufacturer of dispersing and homogenizing solutions. Kinematica incorporated in bohemia, reviews by real people. 155 keyland court bohemia, ny 11716 new york usa info@kinematicausa.com. At kinematica, we have been. Kinematica Bohemia Ny.
From www.facebook.com
Things to do in Bohemia, New York Kinematica Bohemia Ny See more information about kinematica. Yelp is a fun and easy way to find, recommend and talk about. Kinematica inc is located at in bohemia, new york. Kinematica incorporated in bohemia, reviews by real people. At kinematica, we have been leading the field of dispersing and homogenizing processing for laboratories and production plants since 1962. View kinematica (www.kinematicausa.com) location in. Kinematica Bohemia Ny.
From bohemiacr.com
Retreats → Bohemia.Experience Kinematica Bohemia Ny See more information about kinematica. View kinematica (www.kinematicausa.com) location in new york, united states , revenue, industry and. Kinematica inc is located at in bohemia, new york. At kinematica, we have been leading the field of dispersing and homogenizing processing for laboratories and production plants since 1962. Yelp is a fun and easy way to find, recommend and talk about.. Kinematica Bohemia Ny.
From www.loopnet.com
5151 Sunrise Hwy, Bohemia, NY 11716 Sayville Plaza Kinematica Bohemia Ny Kinematica incorporated in bohemia, reviews by real people. At kinematica, we have been leading the field of dispersing and homogenizing processing for laboratories and production plants since 1962. View kinematica (www.kinematicausa.com) location in new york, united states , revenue, industry and. See more information about kinematica. 155 keyland court bohemia, ny 11716 new york usa info@kinematicausa.com. Manufacturer of dispersing and. Kinematica Bohemia Ny.
From www.facebook.com
Synco Chemical Corp. Bohemia NY Kinematica Bohemia Ny Yelp is a fun and easy way to find, recommend and talk about. At kinematica, we have been leading the field of dispersing and homogenizing processing for laboratories and production plants since 1962. See more information about kinematica. Kinematica inc is located at in bohemia, new york. View kinematica (www.kinematicausa.com) location in new york, united states , revenue, industry and.. Kinematica Bohemia Ny.
From www.loopnet.com
140 Wilbur Pl, Bohemia, NY 11716 Kinematica Bohemia Ny Kinematica inc is located at in bohemia, new york. Manufacturer of dispersing and homogenizing solutions. View kinematica (www.kinematicausa.com) location in new york, united states , revenue, industry and. 155 keyland court bohemia, ny 11716 new york usa info@kinematicausa.com. Kinematica incorporated in bohemia, reviews by real people. See more information about kinematica. At kinematica, we have been leading the field of. Kinematica Bohemia Ny.
From www.pinterest.com
Belle of Bohemia ca. 1900 New york city, Vintage new york, Shorpy historical photos Kinematica Bohemia Ny Manufacturer of dispersing and homogenizing solutions. Kinematica incorporated in bohemia, reviews by real people. 155 keyland court bohemia, ny 11716 new york usa info@kinematicausa.com. Yelp is a fun and easy way to find, recommend and talk about. At kinematica, we have been leading the field of dispersing and homogenizing processing for laboratories and production plants since 1962. View kinematica (www.kinematicausa.com). Kinematica Bohemia Ny.
From www.facebook.com
Steel Letter & Number Stamps in wooden cases Scrapbooking & Paper Crafts Bohemia, New York Kinematica Bohemia Ny 155 keyland court bohemia, ny 11716 new york usa info@kinematicausa.com. Manufacturer of dispersing and homogenizing solutions. See more information about kinematica. Kinematica inc is located at in bohemia, new york. Kinematica incorporated in bohemia, reviews by real people. At kinematica, we have been leading the field of dispersing and homogenizing processing for laboratories and production plants since 1962. View kinematica. Kinematica Bohemia Ny.
From www.facebook.com
Kinematica USA Home Kinematica Bohemia Ny See more information about kinematica. Kinematica inc is located at in bohemia, new york. 155 keyland court bohemia, ny 11716 new york usa info@kinematicausa.com. View kinematica (www.kinematicausa.com) location in new york, united states , revenue, industry and. Manufacturer of dispersing and homogenizing solutions. Yelp is a fun and easy way to find, recommend and talk about. At kinematica, we have. Kinematica Bohemia Ny.
From exowuvsrg.blob.core.windows.net
Bohemia Ny Homicide at Marian Dunning blog Kinematica Bohemia Ny Kinematica incorporated in bohemia, reviews by real people. See more information about kinematica. Kinematica inc is located at in bohemia, new york. 155 keyland court bohemia, ny 11716 new york usa info@kinematicausa.com. View kinematica (www.kinematicausa.com) location in new york, united states , revenue, industry and. At kinematica, we have been leading the field of dispersing and homogenizing processing for laboratories. Kinematica Bohemia Ny.
From www.loopnet.com
15661568 Ocean Ave, Bohemia, NY 11716 Kinematica Bohemia Ny 155 keyland court bohemia, ny 11716 new york usa info@kinematicausa.com. Manufacturer of dispersing and homogenizing solutions. See more information about kinematica. Yelp is a fun and easy way to find, recommend and talk about. At kinematica, we have been leading the field of dispersing and homogenizing processing for laboratories and production plants since 1962. Kinematica inc is located at in. Kinematica Bohemia Ny.
From www.crexi.com
160 Main St, Sayville, NY 11782 Kinematica Bohemia Ny 155 keyland court bohemia, ny 11716 new york usa info@kinematicausa.com. At kinematica, we have been leading the field of dispersing and homogenizing processing for laboratories and production plants since 1962. Yelp is a fun and easy way to find, recommend and talk about. View kinematica (www.kinematicausa.com) location in new york, united states , revenue, industry and. Kinematica incorporated in bohemia,. Kinematica Bohemia Ny.
From tnbvietnam.edu.vn
Details 150+ bohemia the punjabi rapper tattoo super hot tnbvietnam.edu.vn Kinematica Bohemia Ny Yelp is a fun and easy way to find, recommend and talk about. See more information about kinematica. 155 keyland court bohemia, ny 11716 new york usa info@kinematicausa.com. View kinematica (www.kinematicausa.com) location in new york, united states , revenue, industry and. Manufacturer of dispersing and homogenizing solutions. Kinematica inc is located at in bohemia, new york. Kinematica incorporated in bohemia,. Kinematica Bohemia Ny.
From www.facebook.com
Kinematica USA Bohemia NY Kinematica Bohemia Ny At kinematica, we have been leading the field of dispersing and homogenizing processing for laboratories and production plants since 1962. Yelp is a fun and easy way to find, recommend and talk about. Kinematica incorporated in bohemia, reviews by real people. Kinematica inc is located at in bohemia, new york. View kinematica (www.kinematicausa.com) location in new york, united states ,. Kinematica Bohemia Ny.
From www.loopnet.com
371 Central Ave, Bohemia, NY 11716 Central Office Supply Kinematica Bohemia Ny 155 keyland court bohemia, ny 11716 new york usa info@kinematicausa.com. Yelp is a fun and easy way to find, recommend and talk about. At kinematica, we have been leading the field of dispersing and homogenizing processing for laboratories and production plants since 1962. Manufacturer of dispersing and homogenizing solutions. View kinematica (www.kinematicausa.com) location in new york, united states , revenue,. Kinematica Bohemia Ny.
From www.studocu.com
Kinematica Fysica kinematica 1. Referentiestelsel Beweging = verandering van positie in de Kinematica Bohemia Ny Manufacturer of dispersing and homogenizing solutions. At kinematica, we have been leading the field of dispersing and homogenizing processing for laboratories and production plants since 1962. See more information about kinematica. Kinematica incorporated in bohemia, reviews by real people. Kinematica inc is located at in bohemia, new york. Yelp is a fun and easy way to find, recommend and talk. Kinematica Bohemia Ny.
From carreraycarrera.com
Bohemia Mini Mother of Pearl Bracelet Carrera y Carrera Kinematica Bohemia Ny Manufacturer of dispersing and homogenizing solutions. View kinematica (www.kinematicausa.com) location in new york, united states , revenue, industry and. See more information about kinematica. Kinematica inc is located at in bohemia, new york. At kinematica, we have been leading the field of dispersing and homogenizing processing for laboratories and production plants since 1962. 155 keyland court bohemia, ny 11716 new. Kinematica Bohemia Ny.
From hxearpviu.blob.core.windows.net
Directions To Bohemia New York at Janeen Swensen blog Kinematica Bohemia Ny 155 keyland court bohemia, ny 11716 new york usa info@kinematicausa.com. Manufacturer of dispersing and homogenizing solutions. At kinematica, we have been leading the field of dispersing and homogenizing processing for laboratories and production plants since 1962. Kinematica inc is located at in bohemia, new york. See more information about kinematica. Yelp is a fun and easy way to find, recommend. Kinematica Bohemia Ny.
From www.tresbohemes.com
Bohemia Czechs in New York at the Settlement at Long Island Kinematica Bohemia Ny View kinematica (www.kinematicausa.com) location in new york, united states , revenue, industry and. Kinematica inc is located at in bohemia, new york. Kinematica incorporated in bohemia, reviews by real people. See more information about kinematica. At kinematica, we have been leading the field of dispersing and homogenizing processing for laboratories and production plants since 1962. Manufacturer of dispersing and homogenizing. Kinematica Bohemia Ny.
From www.landsat.com
Aerial Photography Map of Bohemia, NY New York Kinematica Bohemia Ny Kinematica incorporated in bohemia, reviews by real people. See more information about kinematica. Kinematica inc is located at in bohemia, new york. 155 keyland court bohemia, ny 11716 new york usa info@kinematicausa.com. At kinematica, we have been leading the field of dispersing and homogenizing processing for laboratories and production plants since 1962. Yelp is a fun and easy way to. Kinematica Bohemia Ny.
From www.scribd.com
Kinematica PDF Kinematica Bohemia Ny Manufacturer of dispersing and homogenizing solutions. Kinematica incorporated in bohemia, reviews by real people. 155 keyland court bohemia, ny 11716 new york usa info@kinematicausa.com. View kinematica (www.kinematicausa.com) location in new york, united states , revenue, industry and. See more information about kinematica. At kinematica, we have been leading the field of dispersing and homogenizing processing for laboratories and production plants. Kinematica Bohemia Ny.
From www.loopnet.com
1574 Lakeland Ave, Bohemia, NY 11716 Kinematica Bohemia Ny At kinematica, we have been leading the field of dispersing and homogenizing processing for laboratories and production plants since 1962. 155 keyland court bohemia, ny 11716 new york usa info@kinematicausa.com. See more information about kinematica. View kinematica (www.kinematicausa.com) location in new york, united states , revenue, industry and. Yelp is a fun and easy way to find, recommend and talk. Kinematica Bohemia Ny.
From www.vieinteriors.co.uk
Tektura Bohemia Wallcovering BOH1603 Vie Interiors Ltd Kinematica Bohemia Ny See more information about kinematica. Kinematica inc is located at in bohemia, new york. Kinematica incorporated in bohemia, reviews by real people. Yelp is a fun and easy way to find, recommend and talk about. 155 keyland court bohemia, ny 11716 new york usa info@kinematicausa.com. View kinematica (www.kinematicausa.com) location in new york, united states , revenue, industry and. Manufacturer of. Kinematica Bohemia Ny.
From www.crexi.com
Lincoln Avenue & Veterans Memorial Highway, Bohemia, NY 11741 Kinematica Bohemia Ny Yelp is a fun and easy way to find, recommend and talk about. 155 keyland court bohemia, ny 11716 new york usa info@kinematicausa.com. At kinematica, we have been leading the field of dispersing and homogenizing processing for laboratories and production plants since 1962. Kinematica inc is located at in bohemia, new york. View kinematica (www.kinematicausa.com) location in new york, united. Kinematica Bohemia Ny.
From www.loopnet.com
4875 Sunrise Hwy, Bohemia, NY 11716 Kinematica Bohemia Ny At kinematica, we have been leading the field of dispersing and homogenizing processing for laboratories and production plants since 1962. Manufacturer of dispersing and homogenizing solutions. See more information about kinematica. 155 keyland court bohemia, ny 11716 new york usa info@kinematicausa.com. View kinematica (www.kinematicausa.com) location in new york, united states , revenue, industry and. Yelp is a fun and easy. Kinematica Bohemia Ny.