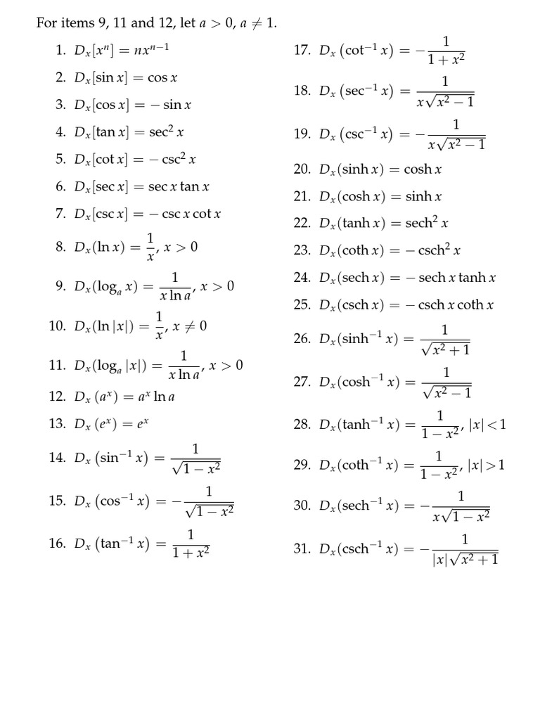
Differentiation Formula Sheet Class 12 . This formula list includes derivatives for constant, trigonometric functions, polynomials, hyperbolic, logarithmic functions,. Differentiation formulas chart class 12 is given below. Derivatives of logarithmic and exponential functions. We have prepared a list of all the formulas. D d x ( sin x ) = cos x Differentiation forms the basis of calculus, and we need its formulas to solve problems. Lim [ f ( x ) ⋅ g ( x ) ] = l ⋅ m. G ( x ) m. Lim c ⋅ f ( x ) = c ⋅ l. Here you will learn what is derivative or differentiation and various differentiation formulas class 12. Get complete class 12 maths chapter 5 continuity and differentiability notes with formulas and revise your concepts of continuity and differentiability. Students of class 12 can easily learn all these differentiation formula for their board exams.
from class12easy.blogspot.com
This formula list includes derivatives for constant, trigonometric functions, polynomials, hyperbolic, logarithmic functions,. Here you will learn what is derivative or differentiation and various differentiation formulas class 12. D d x ( sin x ) = cos x Differentiation formulas chart class 12 is given below. Lim c ⋅ f ( x ) = c ⋅ l. Derivatives of logarithmic and exponential functions. Students of class 12 can easily learn all these differentiation formula for their board exams. Lim [ f ( x ) ⋅ g ( x ) ] = l ⋅ m. Differentiation forms the basis of calculus, and we need its formulas to solve problems. We have prepared a list of all the formulas.
Continuity and Differentiability Class 12 formulas Class 12 easy
Differentiation Formula Sheet Class 12 G ( x ) m. This formula list includes derivatives for constant, trigonometric functions, polynomials, hyperbolic, logarithmic functions,. Derivatives of logarithmic and exponential functions. Differentiation forms the basis of calculus, and we need its formulas to solve problems. Here you will learn what is derivative or differentiation and various differentiation formulas class 12. We have prepared a list of all the formulas. D d x ( sin x ) = cos x Get complete class 12 maths chapter 5 continuity and differentiability notes with formulas and revise your concepts of continuity and differentiability. Differentiation formulas chart class 12 is given below. Lim [ f ( x ) ⋅ g ( x ) ] = l ⋅ m. G ( x ) m. Lim c ⋅ f ( x ) = c ⋅ l. Students of class 12 can easily learn all these differentiation formula for their board exams.
From giasutamtaiduc.com
Differentiation and Integration Formula ⭐️⭐️⭐️⭐️⭐ Differentiation Formula Sheet Class 12 Differentiation formulas chart class 12 is given below. Derivatives of logarithmic and exponential functions. D d x ( sin x ) = cos x Students of class 12 can easily learn all these differentiation formula for their board exams. G ( x ) m. Differentiation forms the basis of calculus, and we need its formulas to solve problems. We have. Differentiation Formula Sheet Class 12.
From class12easy.blogspot.com
Differentiation formulas for class 12 PDF Class 12 easy Differentiation Formula Sheet Class 12 This formula list includes derivatives for constant, trigonometric functions, polynomials, hyperbolic, logarithmic functions,. Lim [ f ( x ) ⋅ g ( x ) ] = l ⋅ m. Derivatives of logarithmic and exponential functions. D d x ( sin x ) = cos x Students of class 12 can easily learn all these differentiation formula for their board exams.. Differentiation Formula Sheet Class 12.
From www.youtube.com
Class 11th, 12th Differentiation formula Class 12th math Differentiation Formula Sheet Class 12 Students of class 12 can easily learn all these differentiation formula for their board exams. Lim [ f ( x ) ⋅ g ( x ) ] = l ⋅ m. Differentiation formulas chart class 12 is given below. Here you will learn what is derivative or differentiation and various differentiation formulas class 12. This formula list includes derivatives for. Differentiation Formula Sheet Class 12.
From www.scribd.com
class xii differntiation & integration formulae. Differentiation Formula Sheet Class 12 Differentiation forms the basis of calculus, and we need its formulas to solve problems. Differentiation formulas chart class 12 is given below. Lim [ f ( x ) ⋅ g ( x ) ] = l ⋅ m. D d x ( sin x ) = cos x Students of class 12 can easily learn all these differentiation formula for. Differentiation Formula Sheet Class 12.
From class12easy.blogspot.com
Continuity and Differentiability Class 12 formulas Class 12 easy Differentiation Formula Sheet Class 12 Here you will learn what is derivative or differentiation and various differentiation formulas class 12. G ( x ) m. We have prepared a list of all the formulas. Lim c ⋅ f ( x ) = c ⋅ l. Derivatives of logarithmic and exponential functions. Students of class 12 can easily learn all these differentiation formula for their board. Differentiation Formula Sheet Class 12.
From www.teachmint.com
Integration And Differentiation Formula Maths 11th Notes Teachmint Differentiation Formula Sheet Class 12 Lim c ⋅ f ( x ) = c ⋅ l. D d x ( sin x ) = cos x Lim [ f ( x ) ⋅ g ( x ) ] = l ⋅ m. Differentiation formulas chart class 12 is given below. Students of class 12 can easily learn all these differentiation formula for their board exams.. Differentiation Formula Sheet Class 12.
From www.pinterest.fr
CBSE Class 12 Maths Notes Indefinite Integrals Cbse Class 12 Maths Differentiation Formula Sheet Class 12 Derivatives of logarithmic and exponential functions. Lim c ⋅ f ( x ) = c ⋅ l. Differentiation formulas chart class 12 is given below. Get complete class 12 maths chapter 5 continuity and differentiability notes with formulas and revise your concepts of continuity and differentiability. G ( x ) m. Differentiation forms the basis of calculus, and we need. Differentiation Formula Sheet Class 12.
From shineshower30.gitlab.io
Beautiful Work Differentiation Formulas For Class 12 Chemical Reactions Differentiation Formula Sheet Class 12 D d x ( sin x ) = cos x Get complete class 12 maths chapter 5 continuity and differentiability notes with formulas and revise your concepts of continuity and differentiability. Lim [ f ( x ) ⋅ g ( x ) ] = l ⋅ m. We have prepared a list of all the formulas. Lim c ⋅ f. Differentiation Formula Sheet Class 12.
From www.studypool.com
SOLUTION Differentiation formula sheet class 12 Studypool Differentiation Formula Sheet Class 12 D d x ( sin x ) = cos x Get complete class 12 maths chapter 5 continuity and differentiability notes with formulas and revise your concepts of continuity and differentiability. We have prepared a list of all the formulas. G ( x ) m. This formula list includes derivatives for constant, trigonometric functions, polynomials, hyperbolic, logarithmic functions,. Differentiation forms. Differentiation Formula Sheet Class 12.
From www.pinterest.com.mx
Basic Rules of Differentiation » Digital Study Center An Exclusive e Differentiation Formula Sheet Class 12 D d x ( sin x ) = cos x Lim c ⋅ f ( x ) = c ⋅ l. We have prepared a list of all the formulas. Differentiation formulas chart class 12 is given below. Derivatives of logarithmic and exponential functions. Lim [ f ( x ) ⋅ g ( x ) ] = l ⋅ m.. Differentiation Formula Sheet Class 12.
From class12easy.blogspot.com
Differentiation formulas for class 12 PDF Class 12 easy Differentiation Formula Sheet Class 12 Lim c ⋅ f ( x ) = c ⋅ l. Students of class 12 can easily learn all these differentiation formula for their board exams. D d x ( sin x ) = cos x This formula list includes derivatives for constant, trigonometric functions, polynomials, hyperbolic, logarithmic functions,. G ( x ) m. We have prepared a list of. Differentiation Formula Sheet Class 12.
From class12easy.blogspot.com
Differentiation formulas for class 12 PDF Class 12 easy Differentiation Formula Sheet Class 12 Here you will learn what is derivative or differentiation and various differentiation formulas class 12. Lim c ⋅ f ( x ) = c ⋅ l. Differentiation formulas chart class 12 is given below. Lim [ f ( x ) ⋅ g ( x ) ] = l ⋅ m. We have prepared a list of all the formulas. Differentiation. Differentiation Formula Sheet Class 12.
From www.teachoo.com
Differentiation Formulas & Rules Basic,Trig Full list Teachoo Differentiation Formula Sheet Class 12 This formula list includes derivatives for constant, trigonometric functions, polynomials, hyperbolic, logarithmic functions,. Here you will learn what is derivative or differentiation and various differentiation formulas class 12. Get complete class 12 maths chapter 5 continuity and differentiability notes with formulas and revise your concepts of continuity and differentiability. Students of class 12 can easily learn all these differentiation formula. Differentiation Formula Sheet Class 12.
From www.studypool.com
SOLUTION Differentiation formula sheet Studypool Differentiation Formula Sheet Class 12 Lim [ f ( x ) ⋅ g ( x ) ] = l ⋅ m. Differentiation forms the basis of calculus, and we need its formulas to solve problems. Here you will learn what is derivative or differentiation and various differentiation formulas class 12. Get complete class 12 maths chapter 5 continuity and differentiability notes with formulas and revise. Differentiation Formula Sheet Class 12.
From class12easy.blogspot.com
Differentiation formulas for class 12 PDF Class 12 easy Differentiation Formula Sheet Class 12 G ( x ) m. Lim c ⋅ f ( x ) = c ⋅ l. Differentiation formulas chart class 12 is given below. D d x ( sin x ) = cos x Here you will learn what is derivative or differentiation and various differentiation formulas class 12. Derivatives of logarithmic and exponential functions. Get complete class 12 maths. Differentiation Formula Sheet Class 12.
From class12easy.blogspot.com
Continuity and Differentiability Class 12 formulas Class 12 easy Differentiation Formula Sheet Class 12 Students of class 12 can easily learn all these differentiation formula for their board exams. D d x ( sin x ) = cos x Differentiation formulas chart class 12 is given below. G ( x ) m. This formula list includes derivatives for constant, trigonometric functions, polynomials, hyperbolic, logarithmic functions,. Derivatives of logarithmic and exponential functions. Differentiation forms the. Differentiation Formula Sheet Class 12.
From class12easy.blogspot.com
Differentiation formulas for class 12 PDF Class 12 easy Differentiation Formula Sheet Class 12 We have prepared a list of all the formulas. Differentiation formulas chart class 12 is given below. Lim [ f ( x ) ⋅ g ( x ) ] = l ⋅ m. D d x ( sin x ) = cos x G ( x ) m. Differentiation forms the basis of calculus, and we need its formulas to. Differentiation Formula Sheet Class 12.
From studysyllabuspraveenkumar.com
12th Math Formula Differentiation and Integration Bseb 12th Math Differentiation Formula Sheet Class 12 Differentiation forms the basis of calculus, and we need its formulas to solve problems. Lim [ f ( x ) ⋅ g ( x ) ] = l ⋅ m. Differentiation formulas chart class 12 is given below. We have prepared a list of all the formulas. D d x ( sin x ) = cos x This formula list. Differentiation Formula Sheet Class 12.
From erikakelley938info.blogspot.com
Erika Kelley Info Differentiation Rules Exponential Differentiation Formula Sheet Class 12 D d x ( sin x ) = cos x Derivatives of logarithmic and exponential functions. Lim [ f ( x ) ⋅ g ( x ) ] = l ⋅ m. G ( x ) m. Lim c ⋅ f ( x ) = c ⋅ l. This formula list includes derivatives for constant, trigonometric functions, polynomials, hyperbolic, logarithmic. Differentiation Formula Sheet Class 12.
From www.studypool.com
SOLUTION Differentiation all formula 12th class Studypool Differentiation Formula Sheet Class 12 G ( x ) m. Here you will learn what is derivative or differentiation and various differentiation formulas class 12. Get complete class 12 maths chapter 5 continuity and differentiability notes with formulas and revise your concepts of continuity and differentiability. We have prepared a list of all the formulas. Derivatives of logarithmic and exponential functions. Lim [ f (. Differentiation Formula Sheet Class 12.
From www.learnpick.in
Formula Sheet Of Chapter 5 Continuity & Differentiability Class 12 Differentiation Formula Sheet Class 12 Students of class 12 can easily learn all these differentiation formula for their board exams. D d x ( sin x ) = cos x Differentiation formulas chart class 12 is given below. Differentiation forms the basis of calculus, and we need its formulas to solve problems. Lim c ⋅ f ( x ) = c ⋅ l. Lim [. Differentiation Formula Sheet Class 12.
From www.scribd.com
Differentiation Formulas PDF Special Functions Mathematical Objects Differentiation Formula Sheet Class 12 Students of class 12 can easily learn all these differentiation formula for their board exams. Differentiation forms the basis of calculus, and we need its formulas to solve problems. D d x ( sin x ) = cos x This formula list includes derivatives for constant, trigonometric functions, polynomials, hyperbolic, logarithmic functions,. We have prepared a list of all the. Differentiation Formula Sheet Class 12.
From class12easy.blogspot.com
Differentiation formulas for class 12 PDF Class 12 easy Differentiation Formula Sheet Class 12 Students of class 12 can easily learn all these differentiation formula for their board exams. Here you will learn what is derivative or differentiation and various differentiation formulas class 12. G ( x ) m. Differentiation forms the basis of calculus, and we need its formulas to solve problems. This formula list includes derivatives for constant, trigonometric functions, polynomials, hyperbolic,. Differentiation Formula Sheet Class 12.
From schools.aglasem.com
CBSE Class 12 Maths Notes ITF Important Formulas AglaSem Schools Differentiation Formula Sheet Class 12 This formula list includes derivatives for constant, trigonometric functions, polynomials, hyperbolic, logarithmic functions,. G ( x ) m. Lim c ⋅ f ( x ) = c ⋅ l. D d x ( sin x ) = cos x Here you will learn what is derivative or differentiation and various differentiation formulas class 12. Students of class 12 can easily. Differentiation Formula Sheet Class 12.
From mavink.com
Differentiation Mind Map Differentiation Formula Sheet Class 12 Students of class 12 can easily learn all these differentiation formula for their board exams. Here you will learn what is derivative or differentiation and various differentiation formulas class 12. Differentiation forms the basis of calculus, and we need its formulas to solve problems. This formula list includes derivatives for constant, trigonometric functions, polynomials, hyperbolic, logarithmic functions,. G ( x. Differentiation Formula Sheet Class 12.
From nonstopengineering.blogspot.com
Complete Guide for Differentiation and Integration Formulas NonStop Differentiation Formula Sheet Class 12 Derivatives of logarithmic and exponential functions. Differentiation forms the basis of calculus, and we need its formulas to solve problems. Differentiation formulas chart class 12 is given below. Lim [ f ( x ) ⋅ g ( x ) ] = l ⋅ m. We have prepared a list of all the formulas. Lim c ⋅ f ( x ). Differentiation Formula Sheet Class 12.
From www.teachoo.com
Differentiation Formulas & Rules Basic,Trig Full list Teachoo Differentiation Formula Sheet Class 12 Differentiation forms the basis of calculus, and we need its formulas to solve problems. G ( x ) m. Students of class 12 can easily learn all these differentiation formula for their board exams. This formula list includes derivatives for constant, trigonometric functions, polynomials, hyperbolic, logarithmic functions,. Get complete class 12 maths chapter 5 continuity and differentiability notes with formulas. Differentiation Formula Sheet Class 12.
From class12easy.blogspot.com
Continuity and Differentiability Class 12 formulas Class 12 easy Differentiation Formula Sheet Class 12 Students of class 12 can easily learn all these differentiation formula for their board exams. G ( x ) m. Get complete class 12 maths chapter 5 continuity and differentiability notes with formulas and revise your concepts of continuity and differentiability. Lim [ f ( x ) ⋅ g ( x ) ] = l ⋅ m. We have prepared. Differentiation Formula Sheet Class 12.
From byjus.com
RD Sharma Solutions for Class 12 Maths Updated for 202324 Chapter 11 Differentiation Formula Sheet Class 12 G ( x ) m. Here you will learn what is derivative or differentiation and various differentiation formulas class 12. D d x ( sin x ) = cos x This formula list includes derivatives for constant, trigonometric functions, polynomials, hyperbolic, logarithmic functions,. Lim c ⋅ f ( x ) = c ⋅ l. Derivatives of logarithmic and exponential functions.. Differentiation Formula Sheet Class 12.
From www.youtube.com
All the formulas of differentiation Class 12 Chapter 5 Part 1 Differentiation Formula Sheet Class 12 Derivatives of logarithmic and exponential functions. D d x ( sin x ) = cos x Lim c ⋅ f ( x ) = c ⋅ l. This formula list includes derivatives for constant, trigonometric functions, polynomials, hyperbolic, logarithmic functions,. Differentiation formulas chart class 12 is given below. Students of class 12 can easily learn all these differentiation formula for. Differentiation Formula Sheet Class 12.
From class12easy.blogspot.com
Differentiation formulas for class 12 PDF Class 12 easy Differentiation Formula Sheet Class 12 Get complete class 12 maths chapter 5 continuity and differentiability notes with formulas and revise your concepts of continuity and differentiability. Differentiation formulas chart class 12 is given below. Derivatives of logarithmic and exponential functions. D d x ( sin x ) = cos x Differentiation forms the basis of calculus, and we need its formulas to solve problems. We. Differentiation Formula Sheet Class 12.
From www.youtube.com
Class12 maths Calculus Chapter All formulas integration and Differentiation Formula Sheet Class 12 We have prepared a list of all the formulas. Lim [ f ( x ) ⋅ g ( x ) ] = l ⋅ m. D d x ( sin x ) = cos x Students of class 12 can easily learn all these differentiation formula for their board exams. Here you will learn what is derivative or differentiation and. Differentiation Formula Sheet Class 12.
From www.youtube.com
Differentiation Formula Sheet pdf Class 12 ncert maths Formula shet Differentiation Formula Sheet Class 12 D d x ( sin x ) = cos x Differentiation forms the basis of calculus, and we need its formulas to solve problems. Students of class 12 can easily learn all these differentiation formula for their board exams. Lim c ⋅ f ( x ) = c ⋅ l. Get complete class 12 maths chapter 5 continuity and differentiability. Differentiation Formula Sheet Class 12.
From class12easy.blogspot.com
Differentiation formulas for class 12 PDF Class 12 easy Differentiation Formula Sheet Class 12 Derivatives of logarithmic and exponential functions. Lim c ⋅ f ( x ) = c ⋅ l. This formula list includes derivatives for constant, trigonometric functions, polynomials, hyperbolic, logarithmic functions,. D d x ( sin x ) = cos x Differentiation forms the basis of calculus, and we need its formulas to solve problems. Lim [ f ( x ). Differentiation Formula Sheet Class 12.