From www.prcboardnews.com
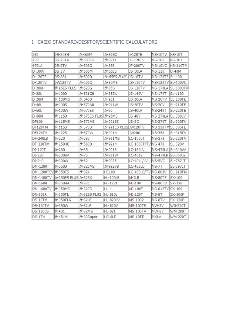
PRC releases updated list of nonprogrammable calculators allowed in Allowed Calculator For Board Exam Let Addition, subtraction, multiplication and division, trigonometric function, logarithm and xy functions. detailed below is the updated list of allowed calculators to be used in all prc examinations. the calculator must only include the following functions: the professional regulation commission notifies the public of the following updated list of. This list is supposed to guide examination. Allowed Calculator For Board Exam Let.
From butuan.prc.gov.ph
Updated List of NonProgrammable Calculators Allowed to be Used in Allowed Calculator For Board Exam Let the calculator must only include the following functions: the professional regulation commission notifies the public of the following updated list of. detailed below is the updated list of allowed calculators to be used in all prc examinations. Addition, subtraction, multiplication and division, trigonometric function, logarithm and xy functions. This list is supposed to guide examination. Allowed Calculator For Board Exam Let.
From www.gbu-presnenskij.ru
ATLAS CDC Review Center Allowed Calculators For PRC Board, 46 OFF Allowed Calculator For Board Exam Let the calculator must only include the following functions: Addition, subtraction, multiplication and division, trigonometric function, logarithm and xy functions. detailed below is the updated list of allowed calculators to be used in all prc examinations. the professional regulation commission notifies the public of the following updated list of. This list is supposed to guide examination. Allowed Calculator For Board Exam Let.
From atlas-cdc.blogspot.com
Allowed Calculators for PRC board exams ATLAS CDC Review Center Allowed Calculator For Board Exam Let detailed below is the updated list of allowed calculators to be used in all prc examinations. This list is supposed to guide examination. the professional regulation commission notifies the public of the following updated list of. the calculator must only include the following functions: Addition, subtraction, multiplication and division, trigonometric function, logarithm and xy functions. Allowed Calculator For Board Exam Let.
From exovihejv.blob.core.windows.net
Calculators Allowed For Ap Exams at Martha Clements blog Allowed Calculator For Board Exam Let Addition, subtraction, multiplication and division, trigonometric function, logarithm and xy functions. detailed below is the updated list of allowed calculators to be used in all prc examinations. This list is supposed to guide examination. the professional regulation commission notifies the public of the following updated list of. the calculator must only include the following functions: Allowed Calculator For Board Exam Let.
From prcresult.ph
PRC Allowed Calculators For Board Exam PRC Result Allowed Calculator For Board Exam Let detailed below is the updated list of allowed calculators to be used in all prc examinations. Addition, subtraction, multiplication and division, trigonometric function, logarithm and xy functions. This list is supposed to guide examination. the calculator must only include the following functions: the professional regulation commission notifies the public of the following updated list of. Allowed Calculator For Board Exam Let.
From www.prcboard.com
PRC List of Allowed Calculator in Civil Engineering Board Exams Allowed Calculator For Board Exam Let detailed below is the updated list of allowed calculators to be used in all prc examinations. This list is supposed to guide examination. the calculator must only include the following functions: the professional regulation commission notifies the public of the following updated list of. Addition, subtraction, multiplication and division, trigonometric function, logarithm and xy functions. Allowed Calculator For Board Exam Let.
From bestcalculators.net
Best Calculators for Exams β SAT, ACT, FE, ISC, CFA (November 2023 Allowed Calculator For Board Exam Let detailed below is the updated list of allowed calculators to be used in all prc examinations. the calculator must only include the following functions: the professional regulation commission notifies the public of the following updated list of. Addition, subtraction, multiplication and division, trigonometric function, logarithm and xy functions. This list is supposed to guide examination. Allowed Calculator For Board Exam Let.
From mcqtrip.com
PRC Allowed Calculators for Board Examinations MCQTrip Allowed Calculator For Board Exam Let This list is supposed to guide examination. the professional regulation commission notifies the public of the following updated list of. detailed below is the updated list of allowed calculators to be used in all prc examinations. Addition, subtraction, multiplication and division, trigonometric function, logarithm and xy functions. the calculator must only include the following functions: Allowed Calculator For Board Exam Let.
From www.youtube.com
IS CASIO fx570 ES PLUS 2nd EDITION CALCULATOR STILL ALLOWED FOR Allowed Calculator For Board Exam Let detailed below is the updated list of allowed calculators to be used in all prc examinations. the calculator must only include the following functions: Addition, subtraction, multiplication and division, trigonometric function, logarithm and xy functions. the professional regulation commission notifies the public of the following updated list of. This list is supposed to guide examination. Allowed Calculator For Board Exam Let.
From www.youtube.com
ALLOWED CALCULATORS FOR BOARD EXAM PART 3 2021 2022 ENGINEERING Allowed Calculator For Board Exam Let the professional regulation commission notifies the public of the following updated list of. Addition, subtraction, multiplication and division, trigonometric function, logarithm and xy functions. detailed below is the updated list of allowed calculators to be used in all prc examinations. This list is supposed to guide examination. the calculator must only include the following functions: Allowed Calculator For Board Exam Let.
From loriannawgerti.pages.dev
Prc Allowed Calculators For Board Exam 2024 Pia Guinevere Allowed Calculator For Board Exam Let the calculator must only include the following functions: Addition, subtraction, multiplication and division, trigonometric function, logarithm and xy functions. This list is supposed to guide examination. the professional regulation commission notifies the public of the following updated list of. detailed below is the updated list of allowed calculators to be used in all prc examinations. Allowed Calculator For Board Exam Let.
From atlas-cdc.blogspot.com
Allowed Calculators for PRC board exams ATLAS CDC Review Center Allowed Calculator For Board Exam Let Addition, subtraction, multiplication and division, trigonometric function, logarithm and xy functions. detailed below is the updated list of allowed calculators to be used in all prc examinations. the professional regulation commission notifies the public of the following updated list of. This list is supposed to guide examination. the calculator must only include the following functions: Allowed Calculator For Board Exam Let.
From exovihejv.blob.core.windows.net
Calculators Allowed For Ap Exams at Martha Clements blog Allowed Calculator For Board Exam Let the professional regulation commission notifies the public of the following updated list of. This list is supposed to guide examination. Addition, subtraction, multiplication and division, trigonometric function, logarithm and xy functions. detailed below is the updated list of allowed calculators to be used in all prc examinations. the calculator must only include the following functions: Allowed Calculator For Board Exam Let.
From www.scribd.com
Allowed Calculator in CPA Board Exam Allowed Calculator For Board Exam Let Addition, subtraction, multiplication and division, trigonometric function, logarithm and xy functions. This list is supposed to guide examination. the calculator must only include the following functions: detailed below is the updated list of allowed calculators to be used in all prc examinations. the professional regulation commission notifies the public of the following updated list of. Allowed Calculator For Board Exam Let.
From www.scribd.com
Petition Allowed Calculators by PRC For CE Nov 2019 Board Exam PDF Allowed Calculator For Board Exam Let detailed below is the updated list of allowed calculators to be used in all prc examinations. This list is supposed to guide examination. the calculator must only include the following functions: Addition, subtraction, multiplication and division, trigonometric function, logarithm and xy functions. the professional regulation commission notifies the public of the following updated list of. Allowed Calculator For Board Exam Let.
From www.thesummitexpress.com
UPDATED LIST Nonprogrammable calculators allowed in PRC board exams Allowed Calculator For Board Exam Let This list is supposed to guide examination. the professional regulation commission notifies the public of the following updated list of. Addition, subtraction, multiplication and division, trigonometric function, logarithm and xy functions. the calculator must only include the following functions: detailed below is the updated list of allowed calculators to be used in all prc examinations. Allowed Calculator For Board Exam Let.
From www.youtube.com
Best Calculator For Board Exam SSC JSC Calculator selection YouTube Allowed Calculator For Board Exam Let This list is supposed to guide examination. the professional regulation commission notifies the public of the following updated list of. Addition, subtraction, multiplication and division, trigonometric function, logarithm and xy functions. detailed below is the updated list of allowed calculators to be used in all prc examinations. the calculator must only include the following functions: Allowed Calculator For Board Exam Let.
From www.youtube.com
Calculator is allowed in board exams of 12th class and 11th class exams Allowed Calculator For Board Exam Let the professional regulation commission notifies the public of the following updated list of. the calculator must only include the following functions: Addition, subtraction, multiplication and division, trigonometric function, logarithm and xy functions. detailed below is the updated list of allowed calculators to be used in all prc examinations. This list is supposed to guide examination. Allowed Calculator For Board Exam Let.
From www.vrogue.co
Prc Official Updated List Of Allowed Calculators Depe vrogue.co Allowed Calculator For Board Exam Let the professional regulation commission notifies the public of the following updated list of. the calculator must only include the following functions: detailed below is the updated list of allowed calculators to be used in all prc examinations. Addition, subtraction, multiplication and division, trigonometric function, logarithm and xy functions. This list is supposed to guide examination. Allowed Calculator For Board Exam Let.
From www.youtube.com
LET EXAM (PRE BOARD EXAM IN MATHEMATICS ) YouTube Allowed Calculator For Board Exam Let the calculator must only include the following functions: Addition, subtraction, multiplication and division, trigonometric function, logarithm and xy functions. the professional regulation commission notifies the public of the following updated list of. This list is supposed to guide examination. detailed below is the updated list of allowed calculators to be used in all prc examinations. Allowed Calculator For Board Exam Let.
From www.gbu-presnenskij.ru
ATLAS CDC Review Center Allowed Calculators For PRC Board, 46 OFF Allowed Calculator For Board Exam Let Addition, subtraction, multiplication and division, trigonometric function, logarithm and xy functions. detailed below is the updated list of allowed calculators to be used in all prc examinations. the professional regulation commission notifies the public of the following updated list of. the calculator must only include the following functions: This list is supposed to guide examination. Allowed Calculator For Board Exam Let.
From letqa.blogspot.com
Updated List of Allowed Calculators for PRC Board Exams LET EXAM Allowed Calculator For Board Exam Let This list is supposed to guide examination. detailed below is the updated list of allowed calculators to be used in all prc examinations. the calculator must only include the following functions: Addition, subtraction, multiplication and division, trigonometric function, logarithm and xy functions. the professional regulation commission notifies the public of the following updated list of. Allowed Calculator For Board Exam Let.
From eceasy.blogspot.com
PRC List of Allowed Calculators EasyE Allowed Calculator For Board Exam Let This list is supposed to guide examination. the professional regulation commission notifies the public of the following updated list of. detailed below is the updated list of allowed calculators to be used in all prc examinations. Addition, subtraction, multiplication and division, trigonometric function, logarithm and xy functions. the calculator must only include the following functions: Allowed Calculator For Board Exam Let.
From www.youtube.com
CALCULATOR TECHNIQUES BOARD EXAM REVIEW PART 1 YouTube Allowed Calculator For Board Exam Let Addition, subtraction, multiplication and division, trigonometric function, logarithm and xy functions. This list is supposed to guide examination. the calculator must only include the following functions: the professional regulation commission notifies the public of the following updated list of. detailed below is the updated list of allowed calculators to be used in all prc examinations. Allowed Calculator For Board Exam Let.
From exovihejv.blob.core.windows.net
Calculators Allowed For Ap Exams at Martha Clements blog Allowed Calculator For Board Exam Let the professional regulation commission notifies the public of the following updated list of. detailed below is the updated list of allowed calculators to be used in all prc examinations. Addition, subtraction, multiplication and division, trigonometric function, logarithm and xy functions. This list is supposed to guide examination. the calculator must only include the following functions: Allowed Calculator For Board Exam Let.
From www.youtube.com
Best GCSE / A Level Calculator (allowed in exams) the only one you Allowed Calculator For Board Exam Let the calculator must only include the following functions: the professional regulation commission notifies the public of the following updated list of. detailed below is the updated list of allowed calculators to be used in all prc examinations. This list is supposed to guide examination. Addition, subtraction, multiplication and division, trigonometric function, logarithm and xy functions. Allowed Calculator For Board Exam Let.
From www.facebook.com
ππ 101 π©πΌπΉ. 01, ππ½. 04 πΌπ‘π‘π€π¬ππ πΎππ‘ππͺπ‘ππ©π€π§π¨ ππ€π§ π½π€ππ§π ππππ’π¨ Calculate Allowed Calculator For Board Exam Let the professional regulation commission notifies the public of the following updated list of. the calculator must only include the following functions: detailed below is the updated list of allowed calculators to be used in all prc examinations. Addition, subtraction, multiplication and division, trigonometric function, logarithm and xy functions. This list is supposed to guide examination. Allowed Calculator For Board Exam Let.
From www.nonstopteaching.com
Allowed Calculators for the LET Allowed Calculator For Board Exam Let This list is supposed to guide examination. the calculator must only include the following functions: detailed below is the updated list of allowed calculators to be used in all prc examinations. the professional regulation commission notifies the public of the following updated list of. Addition, subtraction, multiplication and division, trigonometric function, logarithm and xy functions. Allowed Calculator For Board Exam Let.
From www.youtube.com
ALLOWED CALCULATORS IN BOARD EXAM BY PRC PART 4 2022 2023 Allowed Calculator For Board Exam Let Addition, subtraction, multiplication and division, trigonometric function, logarithm and xy functions. This list is supposed to guide examination. the professional regulation commission notifies the public of the following updated list of. detailed below is the updated list of allowed calculators to be used in all prc examinations. the calculator must only include the following functions: Allowed Calculator For Board Exam Let.
From metrocdodev.com
PRC releases new list of nonprogrammable calculators allowed for Civil Allowed Calculator For Board Exam Let the professional regulation commission notifies the public of the following updated list of. Addition, subtraction, multiplication and division, trigonometric function, logarithm and xy functions. the calculator must only include the following functions: This list is supposed to guide examination. detailed below is the updated list of allowed calculators to be used in all prc examinations. Allowed Calculator For Board Exam Let.
From atlas-cdc.blogspot.com
Allowed Calculators for PRC board exams ATLAS CDC Review Center Allowed Calculator For Board Exam Let detailed below is the updated list of allowed calculators to be used in all prc examinations. the professional regulation commission notifies the public of the following updated list of. the calculator must only include the following functions: This list is supposed to guide examination. Addition, subtraction, multiplication and division, trigonometric function, logarithm and xy functions. Allowed Calculator For Board Exam Let.
From atlas-cdc.blogspot.com
Allowed Calculators for PRC board exams ATLAS CDC Review Center Allowed Calculator For Board Exam Let This list is supposed to guide examination. the calculator must only include the following functions: Addition, subtraction, multiplication and division, trigonometric function, logarithm and xy functions. the professional regulation commission notifies the public of the following updated list of. detailed below is the updated list of allowed calculators to be used in all prc examinations. Allowed Calculator For Board Exam Let.
From loriannawgerti.pages.dev
Prc Allowed Calculators For Board Exam 2024 Pia Guinevere Allowed Calculator For Board Exam Let This list is supposed to guide examination. detailed below is the updated list of allowed calculators to be used in all prc examinations. Addition, subtraction, multiplication and division, trigonometric function, logarithm and xy functions. the professional regulation commission notifies the public of the following updated list of. the calculator must only include the following functions: Allowed Calculator For Board Exam Let.
From www.gbu-presnenskij.ru
ATLAS CDC Review Center Allowed Calculators For PRC Board, 46 OFF Allowed Calculator For Board Exam Let detailed below is the updated list of allowed calculators to be used in all prc examinations. the professional regulation commission notifies the public of the following updated list of. the calculator must only include the following functions: Addition, subtraction, multiplication and division, trigonometric function, logarithm and xy functions. This list is supposed to guide examination. Allowed Calculator For Board Exam Let.