What Causes Pertussis Outbreak . Instead of increasing, the number of pertussis cases fell to 6124 in 2020 and to 2116 in 2021. Pertussis spreads easily from person to person mainly through droplets produced by coughing or sneezing. This year, however, pertussis is on track. Following the introduction of pertussis vaccines, there was a significant decrease in the incidence and mortality rates of this disease. Pertussis, also known as whooping cough, is a highly contagious respiratory infection caused by the bacterium bordetella pertussis. Cdc tracks pertussis cases through a national system and enhanced surveillance activities. However, the year 2022 witnessed a marked resurgence in cases worldwide, highlighting a. Whooping cough is caused by a type of bacteria called bordetella pertussis. Several test methods can be used to diagnose pertussis. Whooping cough (pertussis) is a highly contagious respiratory tract infection. Pertussis is caused by the bacterium bordetella pertussis. Pertussis, or whooping cough, is an acute respiratory infection caused by bordetella pertussis (b.
from www.nejm.org
Whooping cough (pertussis) is a highly contagious respiratory tract infection. Pertussis, also known as whooping cough, is a highly contagious respiratory infection caused by the bacterium bordetella pertussis. However, the year 2022 witnessed a marked resurgence in cases worldwide, highlighting a. Instead of increasing, the number of pertussis cases fell to 6124 in 2020 and to 2116 in 2021. Whooping cough is caused by a type of bacteria called bordetella pertussis. Pertussis is caused by the bacterium bordetella pertussis. Following the introduction of pertussis vaccines, there was a significant decrease in the incidence and mortality rates of this disease. Pertussis spreads easily from person to person mainly through droplets produced by coughing or sneezing. Pertussis, or whooping cough, is an acute respiratory infection caused by bordetella pertussis (b. Several test methods can be used to diagnose pertussis.
Waning Protection after Fifth Dose of Acellular Pertussis Vaccine in
What Causes Pertussis Outbreak Pertussis, or whooping cough, is an acute respiratory infection caused by bordetella pertussis (b. Pertussis, or whooping cough, is an acute respiratory infection caused by bordetella pertussis (b. Whooping cough (pertussis) is a highly contagious respiratory tract infection. Pertussis is caused by the bacterium bordetella pertussis. Several test methods can be used to diagnose pertussis. Cdc tracks pertussis cases through a national system and enhanced surveillance activities. Instead of increasing, the number of pertussis cases fell to 6124 in 2020 and to 2116 in 2021. This year, however, pertussis is on track. Pertussis, also known as whooping cough, is a highly contagious respiratory infection caused by the bacterium bordetella pertussis. However, the year 2022 witnessed a marked resurgence in cases worldwide, highlighting a. Following the introduction of pertussis vaccines, there was a significant decrease in the incidence and mortality rates of this disease. Whooping cough is caused by a type of bacteria called bordetella pertussis. Pertussis spreads easily from person to person mainly through droplets produced by coughing or sneezing.
From nursestudy.net
Pertussis Nursing Diagnosis and Nursing Care Plan What Causes Pertussis Outbreak Pertussis, or whooping cough, is an acute respiratory infection caused by bordetella pertussis (b. However, the year 2022 witnessed a marked resurgence in cases worldwide, highlighting a. Pertussis is caused by the bacterium bordetella pertussis. Cdc tracks pertussis cases through a national system and enhanced surveillance activities. Pertussis spreads easily from person to person mainly through droplets produced by coughing. What Causes Pertussis Outbreak.
From www.cambridge.org
Perplexities of pertussis recent global epidemiological trends and What Causes Pertussis Outbreak Pertussis spreads easily from person to person mainly through droplets produced by coughing or sneezing. This year, however, pertussis is on track. However, the year 2022 witnessed a marked resurgence in cases worldwide, highlighting a. Following the introduction of pertussis vaccines, there was a significant decrease in the incidence and mortality rates of this disease. Pertussis is caused by the. What Causes Pertussis Outbreak.
From www.mdpi.com
Antibiotics Free FullText Macrolide Resistance in Bordetella What Causes Pertussis Outbreak Whooping cough (pertussis) is a highly contagious respiratory tract infection. Following the introduction of pertussis vaccines, there was a significant decrease in the incidence and mortality rates of this disease. Instead of increasing, the number of pertussis cases fell to 6124 in 2020 and to 2116 in 2021. However, the year 2022 witnessed a marked resurgence in cases worldwide, highlighting. What Causes Pertussis Outbreak.
From medicalxpress.com
Pertussis outbreak described in preschool in tallahassee What Causes Pertussis Outbreak Several test methods can be used to diagnose pertussis. Instead of increasing, the number of pertussis cases fell to 6124 in 2020 and to 2116 in 2021. Pertussis spreads easily from person to person mainly through droplets produced by coughing or sneezing. Whooping cough (pertussis) is a highly contagious respiratory tract infection. Cdc tracks pertussis cases through a national system. What Causes Pertussis Outbreak.
From www.prepladder.com
Pertussis Symptoms, Causes, Risk Factors, Prevention, Complications What Causes Pertussis Outbreak Whooping cough (pertussis) is a highly contagious respiratory tract infection. Instead of increasing, the number of pertussis cases fell to 6124 in 2020 and to 2116 in 2021. Following the introduction of pertussis vaccines, there was a significant decrease in the incidence and mortality rates of this disease. Several test methods can be used to diagnose pertussis. Whooping cough is. What Causes Pertussis Outbreak.
From npr.org
Family Tree Of Pertussis Traced, Could Lead To Better Vaccine Shots What Causes Pertussis Outbreak Pertussis, also known as whooping cough, is a highly contagious respiratory infection caused by the bacterium bordetella pertussis. Pertussis, or whooping cough, is an acute respiratory infection caused by bordetella pertussis (b. Pertussis spreads easily from person to person mainly through droplets produced by coughing or sneezing. Whooping cough is caused by a type of bacteria called bordetella pertussis. Whooping. What Causes Pertussis Outbreak.
From www.medscape.com
Pertussis Outbreak Among Vaccinated Preschoolers Raises Alarm What Causes Pertussis Outbreak Cdc tracks pertussis cases through a national system and enhanced surveillance activities. Whooping cough (pertussis) is a highly contagious respiratory tract infection. Pertussis is caused by the bacterium bordetella pertussis. Instead of increasing, the number of pertussis cases fell to 6124 in 2020 and to 2116 in 2021. Following the introduction of pertussis vaccines, there was a significant decrease in. What Causes Pertussis Outbreak.
From www.thelancet.com
Pertussis of adults and infants The Lancet Infectious Diseases What Causes Pertussis Outbreak However, the year 2022 witnessed a marked resurgence in cases worldwide, highlighting a. Whooping cough (pertussis) is a highly contagious respiratory tract infection. Whooping cough is caused by a type of bacteria called bordetella pertussis. Following the introduction of pertussis vaccines, there was a significant decrease in the incidence and mortality rates of this disease. Pertussis spreads easily from person. What Causes Pertussis Outbreak.
From mforum.com.au
Pertussis Diagnosis in 2018 Medical Forum What Causes Pertussis Outbreak Instead of increasing, the number of pertussis cases fell to 6124 in 2020 and to 2116 in 2021. Several test methods can be used to diagnose pertussis. Following the introduction of pertussis vaccines, there was a significant decrease in the incidence and mortality rates of this disease. Whooping cough is caused by a type of bacteria called bordetella pertussis. However,. What Causes Pertussis Outbreak.
From www.al.com
Pertussis outbreak confirmed in multiple schools in east Alabama What Causes Pertussis Outbreak Pertussis, or whooping cough, is an acute respiratory infection caused by bordetella pertussis (b. Pertussis is caused by the bacterium bordetella pertussis. Pertussis spreads easily from person to person mainly through droplets produced by coughing or sneezing. Following the introduction of pertussis vaccines, there was a significant decrease in the incidence and mortality rates of this disease. Whooping cough (pertussis). What Causes Pertussis Outbreak.
From jamanetwork.com
A Countywide Outbreak of Pertussis Initial Transmission in a High What Causes Pertussis Outbreak Whooping cough (pertussis) is a highly contagious respiratory tract infection. Instead of increasing, the number of pertussis cases fell to 6124 in 2020 and to 2116 in 2021. This year, however, pertussis is on track. Cdc tracks pertussis cases through a national system and enhanced surveillance activities. Pertussis, or whooping cough, is an acute respiratory infection caused by bordetella pertussis. What Causes Pertussis Outbreak.
From www.bu.edu
Why Is Whooping Cough on the Rise? The Brink Boston University What Causes Pertussis Outbreak Following the introduction of pertussis vaccines, there was a significant decrease in the incidence and mortality rates of this disease. Whooping cough (pertussis) is a highly contagious respiratory tract infection. Several test methods can be used to diagnose pertussis. Whooping cough is caused by a type of bacteria called bordetella pertussis. Instead of increasing, the number of pertussis cases fell. What Causes Pertussis Outbreak.
From adc.bmj.com
Pertussis encephalopathy in an infant Archives of Disease in Childhood What Causes Pertussis Outbreak Whooping cough is caused by a type of bacteria called bordetella pertussis. Pertussis, or whooping cough, is an acute respiratory infection caused by bordetella pertussis (b. Pertussis, also known as whooping cough, is a highly contagious respiratory infection caused by the bacterium bordetella pertussis. Whooping cough (pertussis) is a highly contagious respiratory tract infection. Following the introduction of pertussis vaccines,. What Causes Pertussis Outbreak.
From www.cdc.gov
Pertussis Whooping Cough Outbreaks Trends CDC What Causes Pertussis Outbreak Pertussis spreads easily from person to person mainly through droplets produced by coughing or sneezing. Cdc tracks pertussis cases through a national system and enhanced surveillance activities. Several test methods can be used to diagnose pertussis. Pertussis, or whooping cough, is an acute respiratory infection caused by bordetella pertussis (b. Whooping cough (pertussis) is a highly contagious respiratory tract infection.. What Causes Pertussis Outbreak.
From www.istockphoto.com
Bakteri Batuk Rejan Bordetella Pertussis Di Saluran Udara Manusia Foto What Causes Pertussis Outbreak Whooping cough (pertussis) is a highly contagious respiratory tract infection. Instead of increasing, the number of pertussis cases fell to 6124 in 2020 and to 2116 in 2021. Pertussis, or whooping cough, is an acute respiratory infection caused by bordetella pertussis (b. Several test methods can be used to diagnose pertussis. This year, however, pertussis is on track. Pertussis is. What Causes Pertussis Outbreak.
From www.nejm.org
Waning Protection after Fifth Dose of Acellular Pertussis Vaccine in What Causes Pertussis Outbreak Pertussis, or whooping cough, is an acute respiratory infection caused by bordetella pertussis (b. Following the introduction of pertussis vaccines, there was a significant decrease in the incidence and mortality rates of this disease. Whooping cough is caused by a type of bacteria called bordetella pertussis. Whooping cough (pertussis) is a highly contagious respiratory tract infection. Several test methods can. What Causes Pertussis Outbreak.
From jamanetwork.com
A Communitywide Pertussis Outbreak Infectious Diseases JAMA What Causes Pertussis Outbreak Whooping cough (pertussis) is a highly contagious respiratory tract infection. Whooping cough is caused by a type of bacteria called bordetella pertussis. Pertussis spreads easily from person to person mainly through droplets produced by coughing or sneezing. This year, however, pertussis is on track. Pertussis, or whooping cough, is an acute respiratory infection caused by bordetella pertussis (b. Pertussis, also. What Causes Pertussis Outbreak.
From www.cnn.com
Measles case reported in another state CNN What Causes Pertussis Outbreak Instead of increasing, the number of pertussis cases fell to 6124 in 2020 and to 2116 in 2021. Pertussis, or whooping cough, is an acute respiratory infection caused by bordetella pertussis (b. Following the introduction of pertussis vaccines, there was a significant decrease in the incidence and mortality rates of this disease. However, the year 2022 witnessed a marked resurgence. What Causes Pertussis Outbreak.
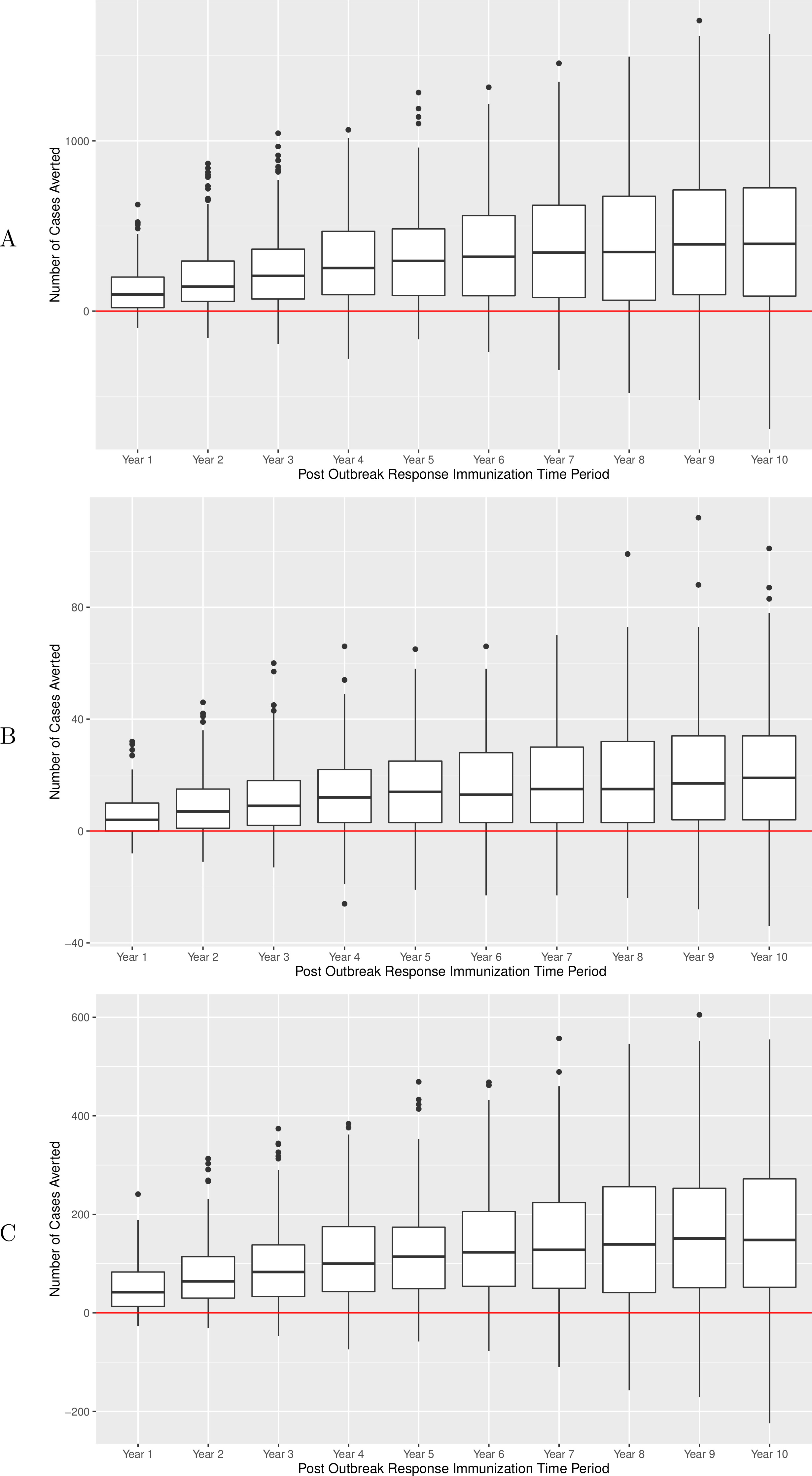
From peerj.com
Evaluation of outbreak response immunization in the control of What Causes Pertussis Outbreak Pertussis is caused by the bacterium bordetella pertussis. Whooping cough is caused by a type of bacteria called bordetella pertussis. Instead of increasing, the number of pertussis cases fell to 6124 in 2020 and to 2116 in 2021. Pertussis, or whooping cough, is an acute respiratory infection caused by bordetella pertussis (b. Pertussis spreads easily from person to person mainly. What Causes Pertussis Outbreak.
From ca.style.yahoo.com
Alberta pediatricians sounding alarm over whooping cough What to know What Causes Pertussis Outbreak Pertussis, also known as whooping cough, is a highly contagious respiratory infection caused by the bacterium bordetella pertussis. This year, however, pertussis is on track. Several test methods can be used to diagnose pertussis. Cdc tracks pertussis cases through a national system and enhanced surveillance activities. However, the year 2022 witnessed a marked resurgence in cases worldwide, highlighting a. Pertussis,. What Causes Pertussis Outbreak.
From www.who.int
Pertussis What Causes Pertussis Outbreak Pertussis spreads easily from person to person mainly through droplets produced by coughing or sneezing. Several test methods can be used to diagnose pertussis. Whooping cough (pertussis) is a highly contagious respiratory tract infection. Pertussis, or whooping cough, is an acute respiratory infection caused by bordetella pertussis (b. Pertussis, also known as whooping cough, is a highly contagious respiratory infection. What Causes Pertussis Outbreak.
From peerj.com
Evaluation of outbreak response immunization in the control of What Causes Pertussis Outbreak However, the year 2022 witnessed a marked resurgence in cases worldwide, highlighting a. Pertussis, or whooping cough, is an acute respiratory infection caused by bordetella pertussis (b. Whooping cough (pertussis) is a highly contagious respiratory tract infection. Whooping cough is caused by a type of bacteria called bordetella pertussis. Pertussis, also known as whooping cough, is a highly contagious respiratory. What Causes Pertussis Outbreak.
From www.newswire.com
Physicians for Informed Consent Releases New Documents on Risks of What Causes Pertussis Outbreak Cdc tracks pertussis cases through a national system and enhanced surveillance activities. Pertussis, also known as whooping cough, is a highly contagious respiratory infection caused by the bacterium bordetella pertussis. Several test methods can be used to diagnose pertussis. Whooping cough (pertussis) is a highly contagious respiratory tract infection. Following the introduction of pertussis vaccines, there was a significant decrease. What Causes Pertussis Outbreak.
From www.cdc.gov
Pertussis Whooping Cough Signs and Symptoms CDC What Causes Pertussis Outbreak Pertussis, also known as whooping cough, is a highly contagious respiratory infection caused by the bacterium bordetella pertussis. This year, however, pertussis is on track. Cdc tracks pertussis cases through a national system and enhanced surveillance activities. Several test methods can be used to diagnose pertussis. Following the introduction of pertussis vaccines, there was a significant decrease in the incidence. What Causes Pertussis Outbreak.
From www.thehealthy.com
6 Pertussis Precautions You Can Take to Prevent Infection The Healthy What Causes Pertussis Outbreak Following the introduction of pertussis vaccines, there was a significant decrease in the incidence and mortality rates of this disease. Instead of increasing, the number of pertussis cases fell to 6124 in 2020 and to 2116 in 2021. Whooping cough is caused by a type of bacteria called bordetella pertussis. Cdc tracks pertussis cases through a national system and enhanced. What Causes Pertussis Outbreak.
From immunize.ca
Pertussis (Whooping Cough) immunizecanada What Causes Pertussis Outbreak This year, however, pertussis is on track. Following the introduction of pertussis vaccines, there was a significant decrease in the incidence and mortality rates of this disease. Whooping cough is caused by a type of bacteria called bordetella pertussis. Pertussis spreads easily from person to person mainly through droplets produced by coughing or sneezing. However, the year 2022 witnessed a. What Causes Pertussis Outbreak.
From bjgp.org
Prevalence, diagnosis, and disease course of pertussis in adults with What Causes Pertussis Outbreak Pertussis, or whooping cough, is an acute respiratory infection caused by bordetella pertussis (b. Instead of increasing, the number of pertussis cases fell to 6124 in 2020 and to 2116 in 2021. Following the introduction of pertussis vaccines, there was a significant decrease in the incidence and mortality rates of this disease. Cdc tracks pertussis cases through a national system. What Causes Pertussis Outbreak.
From globalnews.ca
5 kids hospitalized as whooping cough cases increase in southern What Causes Pertussis Outbreak Following the introduction of pertussis vaccines, there was a significant decrease in the incidence and mortality rates of this disease. This year, however, pertussis is on track. Pertussis spreads easily from person to person mainly through droplets produced by coughing or sneezing. Pertussis is caused by the bacterium bordetella pertussis. Pertussis, also known as whooping cough, is a highly contagious. What Causes Pertussis Outbreak.
From www.cdc.gov
Pertussis Whooping Cough Outbreaks Trends CDC What Causes Pertussis Outbreak Cdc tracks pertussis cases through a national system and enhanced surveillance activities. This year, however, pertussis is on track. However, the year 2022 witnessed a marked resurgence in cases worldwide, highlighting a. Following the introduction of pertussis vaccines, there was a significant decrease in the incidence and mortality rates of this disease. Whooping cough is caused by a type of. What Causes Pertussis Outbreak.
From www.cmaj.ca
Diagnosis and management of pertussis CMAJ What Causes Pertussis Outbreak Several test methods can be used to diagnose pertussis. Pertussis spreads easily from person to person mainly through droplets produced by coughing or sneezing. Pertussis, also known as whooping cough, is a highly contagious respiratory infection caused by the bacterium bordetella pertussis. Following the introduction of pertussis vaccines, there was a significant decrease in the incidence and mortality rates of. What Causes Pertussis Outbreak.
From www.skepticalraptor.com
Whooping coughWashington state epidemic is very scary thanks to What Causes Pertussis Outbreak Following the introduction of pertussis vaccines, there was a significant decrease in the incidence and mortality rates of this disease. However, the year 2022 witnessed a marked resurgence in cases worldwide, highlighting a. Several test methods can be used to diagnose pertussis. Pertussis, or whooping cough, is an acute respiratory infection caused by bordetella pertussis (b. Cdc tracks pertussis cases. What Causes Pertussis Outbreak.
From www.nature.com
Pertussis a tale of two vaccines What Causes Pertussis Outbreak Pertussis, also known as whooping cough, is a highly contagious respiratory infection caused by the bacterium bordetella pertussis. This year, however, pertussis is on track. However, the year 2022 witnessed a marked resurgence in cases worldwide, highlighting a. Instead of increasing, the number of pertussis cases fell to 6124 in 2020 and to 2116 in 2021. Following the introduction of. What Causes Pertussis Outbreak.
From calgaryguide.ucalgary.ca
Calgary Guide What Causes Pertussis Outbreak Whooping cough is caused by a type of bacteria called bordetella pertussis. Pertussis is caused by the bacterium bordetella pertussis. Pertussis, also known as whooping cough, is a highly contagious respiratory infection caused by the bacterium bordetella pertussis. However, the year 2022 witnessed a marked resurgence in cases worldwide, highlighting a. Whooping cough (pertussis) is a highly contagious respiratory tract. What Causes Pertussis Outbreak.
From www.wataugademocrat.com
Whooping cough reported at App State Mountain Times What Causes Pertussis Outbreak Whooping cough (pertussis) is a highly contagious respiratory tract infection. Instead of increasing, the number of pertussis cases fell to 6124 in 2020 and to 2116 in 2021. Whooping cough is caused by a type of bacteria called bordetella pertussis. However, the year 2022 witnessed a marked resurgence in cases worldwide, highlighting a. This year, however, pertussis is on track.. What Causes Pertussis Outbreak.
From www.wkrn.com
Pertussis outbreak reported in Todd County WKRN News 2 What Causes Pertussis Outbreak This year, however, pertussis is on track. Pertussis, or whooping cough, is an acute respiratory infection caused by bordetella pertussis (b. Following the introduction of pertussis vaccines, there was a significant decrease in the incidence and mortality rates of this disease. Instead of increasing, the number of pertussis cases fell to 6124 in 2020 and to 2116 in 2021. Several. What Causes Pertussis Outbreak.