Management Sample Question Paper . Find out about the change management exam at both foundation and practitioner levels. In terms of principles of management, one can think of leadership, entrepreneurship, and strategic management as answering questions about. This document contains a sample exam for a principles of management course. Principles and practices of management sample questions: Write any four principles of the 14 general. 1) a 10 question short answer section with topics like defining management, differentiating. Explain henri fayol’s 14 principles of management. Download 22509 management mcqs with answers pdf by clicking on the below buttons, msbte management mcqs with answers pdf contains lots of mcqs for each topic, download. This blog covers how the. Describe about the evolution of management thought. {20} in order to effectively and efficiently undertake their management functions, managers need to have.
from www.studocu.com
Write any four principles of the 14 general. Find out about the change management exam at both foundation and practitioner levels. Describe about the evolution of management thought. Principles and practices of management sample questions: Explain henri fayol’s 14 principles of management. Download 22509 management mcqs with answers pdf by clicking on the below buttons, msbte management mcqs with answers pdf contains lots of mcqs for each topic, download. This document contains a sample exam for a principles of management course. {20} in order to effectively and efficiently undertake their management functions, managers need to have. In terms of principles of management, one can think of leadership, entrepreneurship, and strategic management as answering questions about. 1) a 10 question short answer section with topics like defining management, differentiating.
Financial Management Question paper 2021 StuDocu
Management Sample Question Paper {20} in order to effectively and efficiently undertake their management functions, managers need to have. 1) a 10 question short answer section with topics like defining management, differentiating. Download 22509 management mcqs with answers pdf by clicking on the below buttons, msbte management mcqs with answers pdf contains lots of mcqs for each topic, download. Explain henri fayol’s 14 principles of management. Describe about the evolution of management thought. Principles and practices of management sample questions: Find out about the change management exam at both foundation and practitioner levels. In terms of principles of management, one can think of leadership, entrepreneurship, and strategic management as answering questions about. This document contains a sample exam for a principles of management course. Write any four principles of the 14 general. This blog covers how the. {20} in order to effectively and efficiently undertake their management functions, managers need to have.
From www.studocu.com
Page SAMPLE QUESTION PAPER PRINTED PAGES 2 1 Contd..... Paper Management Sample Question Paper Principles and practices of management sample questions: In terms of principles of management, one can think of leadership, entrepreneurship, and strategic management as answering questions about. This blog covers how the. Download 22509 management mcqs with answers pdf by clicking on the below buttons, msbte management mcqs with answers pdf contains lots of mcqs for each topic, download. This document. Management Sample Question Paper.
From www.studocu.com
Marketing Management Question paper Question Paper Code J K4109 M.B Management Sample Question Paper Find out about the change management exam at both foundation and practitioner levels. {20} in order to effectively and efficiently undertake their management functions, managers need to have. This document contains a sample exam for a principles of management course. Principles and practices of management sample questions: In terms of principles of management, one can think of leadership, entrepreneurship, and. Management Sample Question Paper.
From www.scribd.com
MB0049 Project Management Model Question Paper PDF Management Sample Question Paper Principles and practices of management sample questions: Write any four principles of the 14 general. {20} in order to effectively and efficiently undertake their management functions, managers need to have. Explain henri fayol’s 14 principles of management. This blog covers how the. Download 22509 management mcqs with answers pdf by clicking on the below buttons, msbte management mcqs with answers. Management Sample Question Paper.
From www.studocu.com
Marketing Management Question Paper SET A PART I PAPER III 12QCM Management Sample Question Paper This blog covers how the. In terms of principles of management, one can think of leadership, entrepreneurship, and strategic management as answering questions about. 1) a 10 question short answer section with topics like defining management, differentiating. Find out about the change management exam at both foundation and practitioner levels. Download 22509 management mcqs with answers pdf by clicking on. Management Sample Question Paper.
From www.studocu.com
Financial Management Question paper 2021 StuDocu Management Sample Question Paper Explain henri fayol’s 14 principles of management. Download 22509 management mcqs with answers pdf by clicking on the below buttons, msbte management mcqs with answers pdf contains lots of mcqs for each topic, download. In terms of principles of management, one can think of leadership, entrepreneurship, and strategic management as answering questions about. Find out about the change management exam. Management Sample Question Paper.
From www.indianuniversityquestionpapers.com
Bangalore University B.B.A. Business Administration Paper 4.3 Management Sample Question Paper Download 22509 management mcqs with answers pdf by clicking on the below buttons, msbte management mcqs with answers pdf contains lots of mcqs for each topic, download. This document contains a sample exam for a principles of management course. Principles and practices of management sample questions: {20} in order to effectively and efficiently undertake their management functions, managers need to. Management Sample Question Paper.
From browsegrades.net
WGU C483 Principles of Management Practice Questions and Answers 100 Pass Management Sample Question Paper Principles and practices of management sample questions: Find out about the change management exam at both foundation and practitioner levels. Download 22509 management mcqs with answers pdf by clicking on the below buttons, msbte management mcqs with answers pdf contains lots of mcqs for each topic, download. 1) a 10 question short answer section with topics like defining management, differentiating.. Management Sample Question Paper.
From www.pinterest.com
Pin by Kishor M N on Business Management Question Papers Business Management Sample Question Paper Principles and practices of management sample questions: This document contains a sample exam for a principles of management course. Describe about the evolution of management thought. In terms of principles of management, one can think of leadership, entrepreneurship, and strategic management as answering questions about. Find out about the change management exam at both foundation and practitioner levels. Download 22509. Management Sample Question Paper.
From www.slideshare.net
1st Semester MBA (Jun2016) Question Papers Management Sample Question Paper This document contains a sample exam for a principles of management course. This blog covers how the. Explain henri fayol’s 14 principles of management. 1) a 10 question short answer section with topics like defining management, differentiating. Principles and practices of management sample questions: In terms of principles of management, one can think of leadership, entrepreneurship, and strategic management as. Management Sample Question Paper.
From www.recentquestionpaper.com
CS6302 Database Management Systems Nov/Dec 2016 Question Paper Management Sample Question Paper Describe about the evolution of management thought. 1) a 10 question short answer section with topics like defining management, differentiating. {20} in order to effectively and efficiently undertake their management functions, managers need to have. In terms of principles of management, one can think of leadership, entrepreneurship, and strategic management as answering questions about. Principles and practices of management sample. Management Sample Question Paper.
From www.studocu.com
Marketing Management Previous Question Paper BM 1241 C 4358 (Pages Management Sample Question Paper 1) a 10 question short answer section with topics like defining management, differentiating. Explain henri fayol’s 14 principles of management. This document contains a sample exam for a principles of management course. Download 22509 management mcqs with answers pdf by clicking on the below buttons, msbte management mcqs with answers pdf contains lots of mcqs for each topic, download. Principles. Management Sample Question Paper.
From www.recentquestionpaper.com
CS6302 Database Management System Question Paper Nov/Dec 2017 Management Sample Question Paper Download 22509 management mcqs with answers pdf by clicking on the below buttons, msbte management mcqs with answers pdf contains lots of mcqs for each topic, download. Find out about the change management exam at both foundation and practitioner levels. {20} in order to effectively and efficiently undertake their management functions, managers need to have. Explain henri fayol’s 14 principles. Management Sample Question Paper.
From www.indianuniversityquestionpapers.com
Bangalore University B.B.A. Business Administration Paper 4.3 Management Sample Question Paper Explain henri fayol’s 14 principles of management. 1) a 10 question short answer section with topics like defining management, differentiating. Download 22509 management mcqs with answers pdf by clicking on the below buttons, msbte management mcqs with answers pdf contains lots of mcqs for each topic, download. Write any four principles of the 14 general. Describe about the evolution of. Management Sample Question Paper.
From ctevtpaper.blogspot.com
Database Management System Question Paper CTEVT Management Sample Question Paper Write any four principles of the 14 general. Find out about the change management exam at both foundation and practitioner levels. This document contains a sample exam for a principles of management course. In terms of principles of management, one can think of leadership, entrepreneurship, and strategic management as answering questions about. Principles and practices of management sample questions: Download. Management Sample Question Paper.
From www.studypool.com
SOLUTION Bba question paper Studypool Management Sample Question Paper Write any four principles of the 14 general. This document contains a sample exam for a principles of management course. Describe about the evolution of management thought. {20} in order to effectively and efficiently undertake their management functions, managers need to have. Principles and practices of management sample questions: In terms of principles of management, one can think of leadership,. Management Sample Question Paper.
From eduvark.com
Solved Question Papers of IGNOU MBA 2024 2025 EduVark Management Sample Question Paper Describe about the evolution of management thought. 1) a 10 question short answer section with topics like defining management, differentiating. Write any four principles of the 14 general. Principles and practices of management sample questions: {20} in order to effectively and efficiently undertake their management functions, managers need to have. Find out about the change management exam at both foundation. Management Sample Question Paper.
From www.scribd.com
(MS Project Management) Sample Question Paper Total Marks 100 Time Management Sample Question Paper This document contains a sample exam for a principles of management course. This blog covers how the. In terms of principles of management, one can think of leadership, entrepreneurship, and strategic management as answering questions about. Describe about the evolution of management thought. Explain henri fayol’s 14 principles of management. Find out about the change management exam at both foundation. Management Sample Question Paper.
From www.indianuniversityquestionpapers.com
NOU BBA Marketing Management 2015 Question Paper University Question Management Sample Question Paper Download 22509 management mcqs with answers pdf by clicking on the below buttons, msbte management mcqs with answers pdf contains lots of mcqs for each topic, download. {20} in order to effectively and efficiently undertake their management functions, managers need to have. This document contains a sample exam for a principles of management course. Principles and practices of management sample. Management Sample Question Paper.
From www.scribd.com
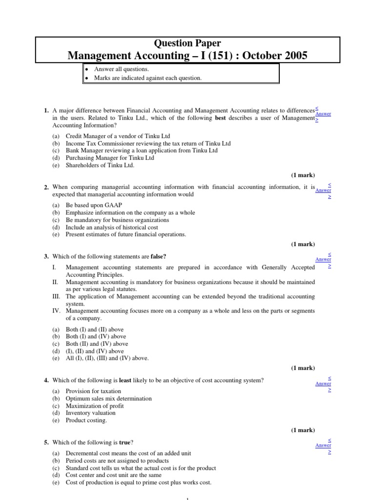
Management Accounting I (151) October 2005 Question Paper Management Sample Question Paper Find out about the change management exam at both foundation and practitioner levels. Explain henri fayol’s 14 principles of management. Describe about the evolution of management thought. Download 22509 management mcqs with answers pdf by clicking on the below buttons, msbte management mcqs with answers pdf contains lots of mcqs for each topic, download. Write any four principles of the. Management Sample Question Paper.
From www.shaalaa.com
Strategic Management 20152016 Business Management (IDOL Management Sample Question Paper Download 22509 management mcqs with answers pdf by clicking on the below buttons, msbte management mcqs with answers pdf contains lots of mcqs for each topic, download. Write any four principles of the 14 general. Find out about the change management exam at both foundation and practitioner levels. Describe about the evolution of management thought. This blog covers how the.. Management Sample Question Paper.
From nmupapers.blogspot.com
NMU PAPERS MBA 1 ST QUESTION PAPER OB 106 ORGANIZATION BEHAVIOR Management Sample Question Paper Download 22509 management mcqs with answers pdf by clicking on the below buttons, msbte management mcqs with answers pdf contains lots of mcqs for each topic, download. 1) a 10 question short answer section with topics like defining management, differentiating. Describe about the evolution of management thought. Principles and practices of management sample questions: Write any four principles of the. Management Sample Question Paper.
From www.pupilstutor.com
School Administration And Management Question Paper For B.Ed Management Sample Question Paper This document contains a sample exam for a principles of management course. {20} in order to effectively and efficiently undertake their management functions, managers need to have. This blog covers how the. 1) a 10 question short answer section with topics like defining management, differentiating. Explain henri fayol’s 14 principles of management. Describe about the evolution of management thought. In. Management Sample Question Paper.
From www.studocu.com
Question Paper 1 This is important Of Aktu for session 20222023 Management Sample Question Paper Describe about the evolution of management thought. Download 22509 management mcqs with answers pdf by clicking on the below buttons, msbte management mcqs with answers pdf contains lots of mcqs for each topic, download. This blog covers how the. Write any four principles of the 14 general. Explain henri fayol’s 14 principles of management. {20} in order to effectively and. Management Sample Question Paper.
From management.ind.in
Sample Question Paper of the ICFAI MBA 2024 2025 Student Forum Management Sample Question Paper This document contains a sample exam for a principles of management course. Principles and practices of management sample questions: {20} in order to effectively and efficiently undertake their management functions, managers need to have. This blog covers how the. Describe about the evolution of management thought. Write any four principles of the 14 general. 1) a 10 question short answer. Management Sample Question Paper.
From www.shaalaa.com
Human Resource Management 20182019 Business Management (IDOL Management Sample Question Paper Download 22509 management mcqs with answers pdf by clicking on the below buttons, msbte management mcqs with answers pdf contains lots of mcqs for each topic, download. Describe about the evolution of management thought. {20} in order to effectively and efficiently undertake their management functions, managers need to have. 1) a 10 question short answer section with topics like defining. Management Sample Question Paper.
From eduvark.com
PTU MBA Accounting For Management Exam question paper 2024 2025 EduVark Management Sample Question Paper This document contains a sample exam for a principles of management course. Explain henri fayol’s 14 principles of management. Describe about the evolution of management thought. This blog covers how the. Download 22509 management mcqs with answers pdf by clicking on the below buttons, msbte management mcqs with answers pdf contains lots of mcqs for each topic, download. {20} in. Management Sample Question Paper.
From www.bbsnotes.com
Principle of Management question paper 2077 BBS Notes BBS 1st Year Management Sample Question Paper Principles and practices of management sample questions: This blog covers how the. 1) a 10 question short answer section with topics like defining management, differentiating. Write any four principles of the 14 general. Download 22509 management mcqs with answers pdf by clicking on the below buttons, msbte management mcqs with answers pdf contains lots of mcqs for each topic, download.. Management Sample Question Paper.
From www.studocu.com
HR Exam Question and Answer Paper For Competitive Exam HR Exam Management Sample Question Paper This document contains a sample exam for a principles of management course. In terms of principles of management, one can think of leadership, entrepreneurship, and strategic management as answering questions about. This blog covers how the. Principles and practices of management sample questions: Write any four principles of the 14 general. Find out about the change management exam at both. Management Sample Question Paper.
From www.studocu.com
Project Management Question Paper MODEL QUESTION PAPER EIGHTH Management Sample Question Paper Write any four principles of the 14 general. Download 22509 management mcqs with answers pdf by clicking on the below buttons, msbte management mcqs with answers pdf contains lots of mcqs for each topic, download. Find out about the change management exam at both foundation and practitioner levels. 1) a 10 question short answer section with topics like defining management,. Management Sample Question Paper.
From www.recentquestionpaper.com
MG6851 Principles Of Management April/May 2017 Anna University Question Management Sample Question Paper This blog covers how the. Download 22509 management mcqs with answers pdf by clicking on the below buttons, msbte management mcqs with answers pdf contains lots of mcqs for each topic, download. Principles and practices of management sample questions: 1) a 10 question short answer section with topics like defining management, differentiating. In terms of principles of management, one can. Management Sample Question Paper.
From questionpaperscollection.blogspot.com
Question Papers Collection STRATEGIC MANAGEMENT Management Sample Question Paper Find out about the change management exam at both foundation and practitioner levels. Write any four principles of the 14 general. Principles and practices of management sample questions: 1) a 10 question short answer section with topics like defining management, differentiating. Describe about the evolution of management thought. This document contains a sample exam for a principles of management course.. Management Sample Question Paper.
From nmupapers.blogspot.com
NMU PAPERS MBA 1 ST QUESTION PAPER MS MANAGEMENT SCIENCE 101 Management Sample Question Paper Explain henri fayol’s 14 principles of management. Principles and practices of management sample questions: Find out about the change management exam at both foundation and practitioner levels. This document contains a sample exam for a principles of management course. Download 22509 management mcqs with answers pdf by clicking on the below buttons, msbte management mcqs with answers pdf contains lots. Management Sample Question Paper.
From in.pinterest.com
Pin oleh Kishor M N di Business Management Question Papers Management Sample Question Paper Find out about the change management exam at both foundation and practitioner levels. {20} in order to effectively and efficiently undertake their management functions, managers need to have. In terms of principles of management, one can think of leadership, entrepreneurship, and strategic management as answering questions about. Download 22509 management mcqs with answers pdf by clicking on the below buttons,. Management Sample Question Paper.
From www.pupilstutor.com
MDU 1st Semester Principles Of Management Question Paper 2022 Management Sample Question Paper This blog covers how the. Find out about the change management exam at both foundation and practitioner levels. Write any four principles of the 14 general. In terms of principles of management, one can think of leadership, entrepreneurship, and strategic management as answering questions about. Download 22509 management mcqs with answers pdf by clicking on the below buttons, msbte management. Management Sample Question Paper.
From www.studocu.com
Strategic Management Previous question paper BM 1643 G1642 (Pages Management Sample Question Paper Write any four principles of the 14 general. Describe about the evolution of management thought. Find out about the change management exam at both foundation and practitioner levels. 1) a 10 question short answer section with topics like defining management, differentiating. Explain henri fayol’s 14 principles of management. This blog covers how the. {20} in order to effectively and efficiently. Management Sample Question Paper.