How To Calculate Tidal Volume Nitrous Oxide . Discuss general unit preparation activities before n2o/o2. Nitrous oxide causes a decrease in tidal volume and an increase in respiratory rate. The increase in respiratory rate is a. Next calculate the minute volume (tidal volume x respiratory. Establish the patient’s tidal volume (typically, 6 to 8 liters/minute for adults, and 3 to 5 liters/minute for children) to identify the proper flow rate. If the patient is not able to breathe comfortably through the nose and feels the need to take a breath through the mouth, providers should increase the liters of oxygen being. Guidelines for nitrous oxide administration. Understand the fundamental principles for appropriate n2o/o2 sedation.
from www.desertdivers.com
If the patient is not able to breathe comfortably through the nose and feels the need to take a breath through the mouth, providers should increase the liters of oxygen being. Nitrous oxide causes a decrease in tidal volume and an increase in respiratory rate. Guidelines for nitrous oxide administration. The increase in respiratory rate is a. Discuss general unit preparation activities before n2o/o2. Understand the fundamental principles for appropriate n2o/o2 sedation. Establish the patient’s tidal volume (typically, 6 to 8 liters/minute for adults, and 3 to 5 liters/minute for children) to identify the proper flow rate. Next calculate the minute volume (tidal volume x respiratory.
Snorkel Volume And Tidal Volume DesertDivers
How To Calculate Tidal Volume Nitrous Oxide Next calculate the minute volume (tidal volume x respiratory. The increase in respiratory rate is a. Next calculate the minute volume (tidal volume x respiratory. Nitrous oxide causes a decrease in tidal volume and an increase in respiratory rate. Guidelines for nitrous oxide administration. If the patient is not able to breathe comfortably through the nose and feels the need to take a breath through the mouth, providers should increase the liters of oxygen being. Understand the fundamental principles for appropriate n2o/o2 sedation. Establish the patient’s tidal volume (typically, 6 to 8 liters/minute for adults, and 3 to 5 liters/minute for children) to identify the proper flow rate. Discuss general unit preparation activities before n2o/o2.
From www.chegg.com
Solved 6. Using the below spirogram, calculate tidal volume, How To Calculate Tidal Volume Nitrous Oxide The increase in respiratory rate is a. Nitrous oxide causes a decrease in tidal volume and an increase in respiratory rate. Establish the patient’s tidal volume (typically, 6 to 8 liters/minute for adults, and 3 to 5 liters/minute for children) to identify the proper flow rate. Discuss general unit preparation activities before n2o/o2. Understand the fundamental principles for appropriate n2o/o2. How To Calculate Tidal Volume Nitrous Oxide.
From calculatorey.com
Nitrous Oxide Jet Calculator Calculatorey How To Calculate Tidal Volume Nitrous Oxide Guidelines for nitrous oxide administration. Next calculate the minute volume (tidal volume x respiratory. The increase in respiratory rate is a. Nitrous oxide causes a decrease in tidal volume and an increase in respiratory rate. Discuss general unit preparation activities before n2o/o2. Understand the fundamental principles for appropriate n2o/o2 sedation. If the patient is not able to breathe comfortably through. How To Calculate Tidal Volume Nitrous Oxide.
From declanlees.z21.web.core.windows.net
Ideal Tidal Volume Chart How To Calculate Tidal Volume Nitrous Oxide Establish the patient’s tidal volume (typically, 6 to 8 liters/minute for adults, and 3 to 5 liters/minute for children) to identify the proper flow rate. The increase in respiratory rate is a. Understand the fundamental principles for appropriate n2o/o2 sedation. Discuss general unit preparation activities before n2o/o2. Nitrous oxide causes a decrease in tidal volume and an increase in respiratory. How To Calculate Tidal Volume Nitrous Oxide.
From www.thetechedvocate.org
How to calculate tidal volume The Tech Edvocate How To Calculate Tidal Volume Nitrous Oxide Establish the patient’s tidal volume (typically, 6 to 8 liters/minute for adults, and 3 to 5 liters/minute for children) to identify the proper flow rate. The increase in respiratory rate is a. Understand the fundamental principles for appropriate n2o/o2 sedation. Next calculate the minute volume (tidal volume x respiratory. If the patient is not able to breathe comfortably through the. How To Calculate Tidal Volume Nitrous Oxide.
From libbyarmstrong.z19.web.core.windows.net
Ideal Tidal Volume Chart How To Calculate Tidal Volume Nitrous Oxide Next calculate the minute volume (tidal volume x respiratory. Understand the fundamental principles for appropriate n2o/o2 sedation. Nitrous oxide causes a decrease in tidal volume and an increase in respiratory rate. Establish the patient’s tidal volume (typically, 6 to 8 liters/minute for adults, and 3 to 5 liters/minute for children) to identify the proper flow rate. Guidelines for nitrous oxide. How To Calculate Tidal Volume Nitrous Oxide.
From www.youtube.com
How to Calculate Tidal Volume Based on Gender and Height Medvarsity How To Calculate Tidal Volume Nitrous Oxide Discuss general unit preparation activities before n2o/o2. Nitrous oxide causes a decrease in tidal volume and an increase in respiratory rate. Establish the patient’s tidal volume (typically, 6 to 8 liters/minute for adults, and 3 to 5 liters/minute for children) to identify the proper flow rate. Next calculate the minute volume (tidal volume x respiratory. Guidelines for nitrous oxide administration.. How To Calculate Tidal Volume Nitrous Oxide.
From inditamakumahamanehwe21h1.blogspot.com
What Is The Formula For Tidal Volume How To Calculate Tidal Volume Nitrous Oxide Understand the fundamental principles for appropriate n2o/o2 sedation. Guidelines for nitrous oxide administration. The increase in respiratory rate is a. Nitrous oxide causes a decrease in tidal volume and an increase in respiratory rate. Discuss general unit preparation activities before n2o/o2. Next calculate the minute volume (tidal volume x respiratory. Establish the patient’s tidal volume (typically, 6 to 8 liters/minute. How To Calculate Tidal Volume Nitrous Oxide.
From quizpersonable.z4.web.core.windows.net
How To Calculate Tidal Volume By Weight How To Calculate Tidal Volume Nitrous Oxide Nitrous oxide causes a decrease in tidal volume and an increase in respiratory rate. If the patient is not able to breathe comfortably through the nose and feels the need to take a breath through the mouth, providers should increase the liters of oxygen being. Guidelines for nitrous oxide administration. The increase in respiratory rate is a. Discuss general unit. How To Calculate Tidal Volume Nitrous Oxide.
From www.researchgate.net
Ts diagram for nitrous oxide showing the vapor dome, lines of constant How To Calculate Tidal Volume Nitrous Oxide Nitrous oxide causes a decrease in tidal volume and an increase in respiratory rate. Next calculate the minute volume (tidal volume x respiratory. Understand the fundamental principles for appropriate n2o/o2 sedation. The increase in respiratory rate is a. If the patient is not able to breathe comfortably through the nose and feels the need to take a breath through the. How To Calculate Tidal Volume Nitrous Oxide.
From linlokasin.weebly.com
Tidal volume calculator linlokasin How To Calculate Tidal Volume Nitrous Oxide Guidelines for nitrous oxide administration. If the patient is not able to breathe comfortably through the nose and feels the need to take a breath through the mouth, providers should increase the liters of oxygen being. The increase in respiratory rate is a. Nitrous oxide causes a decrease in tidal volume and an increase in respiratory rate. Next calculate the. How To Calculate Tidal Volume Nitrous Oxide.
From www.youtube.com
Tidal Volume and Expiratory Reserve Volume an athlete is 500 mL and How To Calculate Tidal Volume Nitrous Oxide The increase in respiratory rate is a. Next calculate the minute volume (tidal volume x respiratory. If the patient is not able to breathe comfortably through the nose and feels the need to take a breath through the mouth, providers should increase the liters of oxygen being. Nitrous oxide causes a decrease in tidal volume and an increase in respiratory. How To Calculate Tidal Volume Nitrous Oxide.
From quizparaguayan.z4.web.core.windows.net
How To Calculate Tidal Volume By Weight How To Calculate Tidal Volume Nitrous Oxide Guidelines for nitrous oxide administration. Establish the patient’s tidal volume (typically, 6 to 8 liters/minute for adults, and 3 to 5 liters/minute for children) to identify the proper flow rate. Understand the fundamental principles for appropriate n2o/o2 sedation. If the patient is not able to breathe comfortably through the nose and feels the need to take a breath through the. How To Calculate Tidal Volume Nitrous Oxide.
From theracoach.blogspot.com
Richard Charon BDS Gas Cylinder calculator tables How long will the How To Calculate Tidal Volume Nitrous Oxide If the patient is not able to breathe comfortably through the nose and feels the need to take a breath through the mouth, providers should increase the liters of oxygen being. Nitrous oxide causes a decrease in tidal volume and an increase in respiratory rate. The increase in respiratory rate is a. Establish the patient’s tidal volume (typically, 6 to. How To Calculate Tidal Volume Nitrous Oxide.
From www.researchgate.net
(PDF) A Simple Methodology to Estimate Plant Volume in Nitrous Oxide How To Calculate Tidal Volume Nitrous Oxide Nitrous oxide causes a decrease in tidal volume and an increase in respiratory rate. The increase in respiratory rate is a. Guidelines for nitrous oxide administration. Next calculate the minute volume (tidal volume x respiratory. Establish the patient’s tidal volume (typically, 6 to 8 liters/minute for adults, and 3 to 5 liters/minute for children) to identify the proper flow rate.. How To Calculate Tidal Volume Nitrous Oxide.
From www.chegg.com
Solved calculate the tidal volume, inspiratory reserve How To Calculate Tidal Volume Nitrous Oxide Understand the fundamental principles for appropriate n2o/o2 sedation. Discuss general unit preparation activities before n2o/o2. The increase in respiratory rate is a. Nitrous oxide causes a decrease in tidal volume and an increase in respiratory rate. Next calculate the minute volume (tidal volume x respiratory. Guidelines for nitrous oxide administration. Establish the patient’s tidal volume (typically, 6 to 8 liters/minute. How To Calculate Tidal Volume Nitrous Oxide.
From www.chegg.com
Solved How to calculate the respiratory rate, tidal volume How To Calculate Tidal Volume Nitrous Oxide Establish the patient’s tidal volume (typically, 6 to 8 liters/minute for adults, and 3 to 5 liters/minute for children) to identify the proper flow rate. Discuss general unit preparation activities before n2o/o2. Next calculate the minute volume (tidal volume x respiratory. The increase in respiratory rate is a. Guidelines for nitrous oxide administration. Understand the fundamental principles for appropriate n2o/o2. How To Calculate Tidal Volume Nitrous Oxide.
From www.desertdivers.com
Snorkel Volume And Tidal Volume DesertDivers How To Calculate Tidal Volume Nitrous Oxide Establish the patient’s tidal volume (typically, 6 to 8 liters/minute for adults, and 3 to 5 liters/minute for children) to identify the proper flow rate. Guidelines for nitrous oxide administration. Nitrous oxide causes a decrease in tidal volume and an increase in respiratory rate. Understand the fundamental principles for appropriate n2o/o2 sedation. Discuss general unit preparation activities before n2o/o2. If. How To Calculate Tidal Volume Nitrous Oxide.
From www.youtube.com
How to Calculate Nitrous Oxide Amount Administered YouTube How To Calculate Tidal Volume Nitrous Oxide If the patient is not able to breathe comfortably through the nose and feels the need to take a breath through the mouth, providers should increase the liters of oxygen being. Guidelines for nitrous oxide administration. Establish the patient’s tidal volume (typically, 6 to 8 liters/minute for adults, and 3 to 5 liters/minute for children) to identify the proper flow. How To Calculate Tidal Volume Nitrous Oxide.
From www.measuringexpert.com
How to Measure Tidal Volume? Unlock the Secrets Today! Measuring Expert How To Calculate Tidal Volume Nitrous Oxide The increase in respiratory rate is a. Establish the patient’s tidal volume (typically, 6 to 8 liters/minute for adults, and 3 to 5 liters/minute for children) to identify the proper flow rate. Understand the fundamental principles for appropriate n2o/o2 sedation. Guidelines for nitrous oxide administration. If the patient is not able to breathe comfortably through the nose and feels the. How To Calculate Tidal Volume Nitrous Oxide.
From www.slideserve.com
PPT Learning Module 3 Measuring Metabolic Rate PowerPoint How To Calculate Tidal Volume Nitrous Oxide Nitrous oxide causes a decrease in tidal volume and an increase in respiratory rate. Understand the fundamental principles for appropriate n2o/o2 sedation. Establish the patient’s tidal volume (typically, 6 to 8 liters/minute for adults, and 3 to 5 liters/minute for children) to identify the proper flow rate. The increase in respiratory rate is a. If the patient is not able. How To Calculate Tidal Volume Nitrous Oxide.
From www.slideserve.com
PPT The Administration of Nitrous Oxide/Oxygen Analgesia PowerPoint How To Calculate Tidal Volume Nitrous Oxide Guidelines for nitrous oxide administration. If the patient is not able to breathe comfortably through the nose and feels the need to take a breath through the mouth, providers should increase the liters of oxygen being. Establish the patient’s tidal volume (typically, 6 to 8 liters/minute for adults, and 3 to 5 liters/minute for children) to identify the proper flow. How To Calculate Tidal Volume Nitrous Oxide.
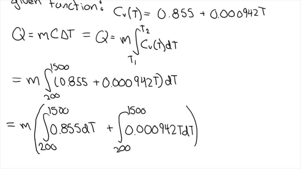
From www.numerade.com
SOLVED Calculate the heat required to raise 200 kg of nitrous oxide How To Calculate Tidal Volume Nitrous Oxide If the patient is not able to breathe comfortably through the nose and feels the need to take a breath through the mouth, providers should increase the liters of oxygen being. Nitrous oxide causes a decrease in tidal volume and an increase in respiratory rate. The increase in respiratory rate is a. Understand the fundamental principles for appropriate n2o/o2 sedation.. How To Calculate Tidal Volume Nitrous Oxide.
From quizdemurrages.z21.web.core.windows.net
How To Calculate Tidal Volume A Level Biology How To Calculate Tidal Volume Nitrous Oxide Establish the patient’s tidal volume (typically, 6 to 8 liters/minute for adults, and 3 to 5 liters/minute for children) to identify the proper flow rate. Guidelines for nitrous oxide administration. Next calculate the minute volume (tidal volume x respiratory. The increase in respiratory rate is a. Understand the fundamental principles for appropriate n2o/o2 sedation. Discuss general unit preparation activities before. How To Calculate Tidal Volume Nitrous Oxide.
From answerlibaccuses.z21.web.core.windows.net
How To Calculate Tidal Volume Of Breath How To Calculate Tidal Volume Nitrous Oxide Understand the fundamental principles for appropriate n2o/o2 sedation. Establish the patient’s tidal volume (typically, 6 to 8 liters/minute for adults, and 3 to 5 liters/minute for children) to identify the proper flow rate. Next calculate the minute volume (tidal volume x respiratory. Discuss general unit preparation activities before n2o/o2. If the patient is not able to breathe comfortably through the. How To Calculate Tidal Volume Nitrous Oxide.
From quizexurbanite.z21.web.core.windows.net
How To Calculate Tidal Volume A Level Biology How To Calculate Tidal Volume Nitrous Oxide Discuss general unit preparation activities before n2o/o2. The increase in respiratory rate is a. Establish the patient’s tidal volume (typically, 6 to 8 liters/minute for adults, and 3 to 5 liters/minute for children) to identify the proper flow rate. Understand the fundamental principles for appropriate n2o/o2 sedation. Nitrous oxide causes a decrease in tidal volume and an increase in respiratory. How To Calculate Tidal Volume Nitrous Oxide.
From www.youtube.com
How to complete a tidal curve YouTube How To Calculate Tidal Volume Nitrous Oxide Establish the patient’s tidal volume (typically, 6 to 8 liters/minute for adults, and 3 to 5 liters/minute for children) to identify the proper flow rate. Next calculate the minute volume (tidal volume x respiratory. Guidelines for nitrous oxide administration. The increase in respiratory rate is a. Understand the fundamental principles for appropriate n2o/o2 sedation. If the patient is not able. How To Calculate Tidal Volume Nitrous Oxide.
From www.youtube.com
Calculating Tidal Volume Educreations YouTube How To Calculate Tidal Volume Nitrous Oxide If the patient is not able to breathe comfortably through the nose and feels the need to take a breath through the mouth, providers should increase the liters of oxygen being. Next calculate the minute volume (tidal volume x respiratory. Discuss general unit preparation activities before n2o/o2. Establish the patient’s tidal volume (typically, 6 to 8 liters/minute for adults, and. How To Calculate Tidal Volume Nitrous Oxide.
From www.numerade.com
SOLVED Nitrous oxide gas added to a balloon at STP causes it to expand How To Calculate Tidal Volume Nitrous Oxide Establish the patient’s tidal volume (typically, 6 to 8 liters/minute for adults, and 3 to 5 liters/minute for children) to identify the proper flow rate. The increase in respiratory rate is a. Understand the fundamental principles for appropriate n2o/o2 sedation. If the patient is not able to breathe comfortably through the nose and feels the need to take a breath. How To Calculate Tidal Volume Nitrous Oxide.
From www.youtube.com
Dead Space/Tidal Volume Ratio (VD/VT) Quick Explainer Video YouTube How To Calculate Tidal Volume Nitrous Oxide Discuss general unit preparation activities before n2o/o2. Guidelines for nitrous oxide administration. Establish the patient’s tidal volume (typically, 6 to 8 liters/minute for adults, and 3 to 5 liters/minute for children) to identify the proper flow rate. Next calculate the minute volume (tidal volume x respiratory. Nitrous oxide causes a decrease in tidal volume and an increase in respiratory rate.. How To Calculate Tidal Volume Nitrous Oxide.
From libbyarmstrong.z19.web.core.windows.net
Ideal Tidal Volume Chart How To Calculate Tidal Volume Nitrous Oxide Next calculate the minute volume (tidal volume x respiratory. Understand the fundamental principles for appropriate n2o/o2 sedation. The increase in respiratory rate is a. If the patient is not able to breathe comfortably through the nose and feels the need to take a breath through the mouth, providers should increase the liters of oxygen being. Establish the patient’s tidal volume. How To Calculate Tidal Volume Nitrous Oxide.
From www.youtube.com
Nitrous Oxide Calculations Reference Table YouTube How To Calculate Tidal Volume Nitrous Oxide Guidelines for nitrous oxide administration. The increase in respiratory rate is a. If the patient is not able to breathe comfortably through the nose and feels the need to take a breath through the mouth, providers should increase the liters of oxygen being. Understand the fundamental principles for appropriate n2o/o2 sedation. Next calculate the minute volume (tidal volume x respiratory.. How To Calculate Tidal Volume Nitrous Oxide.
From fasbasket.weebly.com
Tidal volume calculator fasbasket How To Calculate Tidal Volume Nitrous Oxide Next calculate the minute volume (tidal volume x respiratory. Discuss general unit preparation activities before n2o/o2. Nitrous oxide causes a decrease in tidal volume and an increase in respiratory rate. If the patient is not able to breathe comfortably through the nose and feels the need to take a breath through the mouth, providers should increase the liters of oxygen. How To Calculate Tidal Volume Nitrous Oxide.
From design.udlvirtual.edu.pe
Formula Para Calcular Volumen Tidal Design Talk How To Calculate Tidal Volume Nitrous Oxide Discuss general unit preparation activities before n2o/o2. Nitrous oxide causes a decrease in tidal volume and an increase in respiratory rate. Understand the fundamental principles for appropriate n2o/o2 sedation. Guidelines for nitrous oxide administration. The increase in respiratory rate is a. Establish the patient’s tidal volume (typically, 6 to 8 liters/minute for adults, and 3 to 5 liters/minute for children). How To Calculate Tidal Volume Nitrous Oxide.
From www.slideshare.net
11.17.08(a) Alveolar Ventilation How To Calculate Tidal Volume Nitrous Oxide If the patient is not able to breathe comfortably through the nose and feels the need to take a breath through the mouth, providers should increase the liters of oxygen being. Understand the fundamental principles for appropriate n2o/o2 sedation. Next calculate the minute volume (tidal volume x respiratory. The increase in respiratory rate is a. Nitrous oxide causes a decrease. How To Calculate Tidal Volume Nitrous Oxide.
From www.slideserve.com
PPT Nitrous Oxide/Oxygen Conscious Sedation in the Pediatric Patient How To Calculate Tidal Volume Nitrous Oxide Guidelines for nitrous oxide administration. Next calculate the minute volume (tidal volume x respiratory. The increase in respiratory rate is a. Discuss general unit preparation activities before n2o/o2. If the patient is not able to breathe comfortably through the nose and feels the need to take a breath through the mouth, providers should increase the liters of oxygen being. Establish. How To Calculate Tidal Volume Nitrous Oxide.