Science Alert Bias . So if someone doesn't think humans are causing climate change, they will ignore the hundreds of studies that support that conclusion, but latch onto the one study they can find that. A study by palminteri and colleagues shows that humans have a strong bias towards choosing symbols they have learned to prefer, even when they. As of september 2024, people have voted on the allsides media bias rating for scientific american. A review argues that sex bias in neuroscience research has grave consequences for female wellbeing and brain health. On average, those who disagree with our rating. It highlights the role of sex hormones in brain function and disease risk,. While cnn, fox news, and msnbc might be useful for other things, they are mostly awful sources of science news.
from www.pngitem.com
As of september 2024, people have voted on the allsides media bias rating for scientific american. A study by palminteri and colleagues shows that humans have a strong bias towards choosing symbols they have learned to prefer, even when they. So if someone doesn't think humans are causing climate change, they will ignore the hundreds of studies that support that conclusion, but latch onto the one study they can find that. It highlights the role of sex hormones in brain function and disease risk,. While cnn, fox news, and msnbc might be useful for other things, they are mostly awful sources of science news. On average, those who disagree with our rating. A review argues that sex bias in neuroscience research has grave consequences for female wellbeing and brain health.
Science Alert Logomark Circle 2 Full Color Science Alert, HD Png
Science Alert Bias A study by palminteri and colleagues shows that humans have a strong bias towards choosing symbols they have learned to prefer, even when they. As of september 2024, people have voted on the allsides media bias rating for scientific american. While cnn, fox news, and msnbc might be useful for other things, they are mostly awful sources of science news. A study by palminteri and colleagues shows that humans have a strong bias towards choosing symbols they have learned to prefer, even when they. On average, those who disagree with our rating. A review argues that sex bias in neuroscience research has grave consequences for female wellbeing and brain health. So if someone doesn't think humans are causing climate change, they will ignore the hundreds of studies that support that conclusion, but latch onto the one study they can find that. It highlights the role of sex hormones in brain function and disease risk,.
From 9gag.com
49 Weekly Science Alert 9GAG Science Alert Bias It highlights the role of sex hormones in brain function and disease risk,. On average, those who disagree with our rating. While cnn, fox news, and msnbc might be useful for other things, they are mostly awful sources of science news. A study by palminteri and colleagues shows that humans have a strong bias towards choosing symbols they have learned. Science Alert Bias.
From www.sciencealert.com
The Mysterious 'Pareidolia' Phenomenon Turns Out to Have a Surprising Science Alert Bias As of september 2024, people have voted on the allsides media bias rating for scientific american. It highlights the role of sex hormones in brain function and disease risk,. A study by palminteri and colleagues shows that humans have a strong bias towards choosing symbols they have learned to prefer, even when they. A review argues that sex bias in. Science Alert Bias.
From www.wired.com
Scientists Avoid Bias When They Know They're Being Tested WIRED Science Alert Bias On average, those who disagree with our rating. So if someone doesn't think humans are causing climate change, they will ignore the hundreds of studies that support that conclusion, but latch onto the one study they can find that. It highlights the role of sex hormones in brain function and disease risk,. A study by palminteri and colleagues shows that. Science Alert Bias.
From www.sciencealert.com
The Mysterious 'Pareidolia' Phenomenon Turns Out to Have a Surprising Science Alert Bias A study by palminteri and colleagues shows that humans have a strong bias towards choosing symbols they have learned to prefer, even when they. A review argues that sex bias in neuroscience research has grave consequences for female wellbeing and brain health. So if someone doesn't think humans are causing climate change, they will ignore the hundreds of studies that. Science Alert Bias.
From 9gag.com
44 Weekly science Alert 9GAG Science Alert Bias A study by palminteri and colleagues shows that humans have a strong bias towards choosing symbols they have learned to prefer, even when they. It highlights the role of sex hormones in brain function and disease risk,. On average, those who disagree with our rating. So if someone doesn't think humans are causing climate change, they will ignore the hundreds. Science Alert Bias.
From www.wired.com
AI Is Biased. Here's How Scientists Are Trying to Fix It WIRED Science Alert Bias A review argues that sex bias in neuroscience research has grave consequences for female wellbeing and brain health. On average, those who disagree with our rating. A study by palminteri and colleagues shows that humans have a strong bias towards choosing symbols they have learned to prefer, even when they. While cnn, fox news, and msnbc might be useful for. Science Alert Bias.
From study.com
Cultural Bias in Testing Examples & Definition Video & Lesson Science Alert Bias So if someone doesn't think humans are causing climate change, they will ignore the hundreds of studies that support that conclusion, but latch onto the one study they can find that. On average, those who disagree with our rating. A review argues that sex bias in neuroscience research has grave consequences for female wellbeing and brain health. A study by. Science Alert Bias.
From www.nature.com
Look out for potential bias in chemical data sets Science Alert Bias A study by palminteri and colleagues shows that humans have a strong bias towards choosing symbols they have learned to prefer, even when they. As of september 2024, people have voted on the allsides media bias rating for scientific american. While cnn, fox news, and msnbc might be useful for other things, they are mostly awful sources of science news.. Science Alert Bias.
From goodwin.libguides.com
Prejudice & Discrimination, Part 1 Disability, Society, and the Science Alert Bias As of september 2024, people have voted on the allsides media bias rating for scientific american. So if someone doesn't think humans are causing climate change, they will ignore the hundreds of studies that support that conclusion, but latch onto the one study they can find that. A review argues that sex bias in neuroscience research has grave consequences for. Science Alert Bias.
From libguides.lib.rochester.edu
Home * Chemistry LibGuides at University of Rochester Science Alert Bias A study by palminteri and colleagues shows that humans have a strong bias towards choosing symbols they have learned to prefer, even when they. It highlights the role of sex hormones in brain function and disease risk,. As of september 2024, people have voted on the allsides media bias rating for scientific american. On average, those who disagree with our. Science Alert Bias.
From biasresearch.rutgers.edu
Science & the Everyday Life Bias Research Initiative Science Alert Bias While cnn, fox news, and msnbc might be useful for other things, they are mostly awful sources of science news. On average, those who disagree with our rating. So if someone doesn't think humans are causing climate change, they will ignore the hundreds of studies that support that conclusion, but latch onto the one study they can find that. It. Science Alert Bias.
From www.horizonhealthnews.com
“I knew what implicit bias is … but I didn’t know what to do about it Science Alert Bias So if someone doesn't think humans are causing climate change, they will ignore the hundreds of studies that support that conclusion, but latch onto the one study they can find that. A study by palminteri and colleagues shows that humans have a strong bias towards choosing symbols they have learned to prefer, even when they. On average, those who disagree. Science Alert Bias.
From 9gag.com
Weekly science by science alert 9GAG Science Alert Bias So if someone doesn't think humans are causing climate change, they will ignore the hundreds of studies that support that conclusion, but latch onto the one study they can find that. A study by palminteri and colleagues shows that humans have a strong bias towards choosing symbols they have learned to prefer, even when they. It highlights the role of. Science Alert Bias.
From web.stanford.edu
Jennifer L. Eberhardt Stanford University Science Alert Bias It highlights the role of sex hormones in brain function and disease risk,. On average, those who disagree with our rating. While cnn, fox news, and msnbc might be useful for other things, they are mostly awful sources of science news. A review argues that sex bias in neuroscience research has grave consequences for female wellbeing and brain health. A. Science Alert Bias.
From gptainews.com
Is AI more biased than humans? GPT AI News Science Alert Bias As of september 2024, people have voted on the allsides media bias rating for scientific american. So if someone doesn't think humans are causing climate change, they will ignore the hundreds of studies that support that conclusion, but latch onto the one study they can find that. While cnn, fox news, and msnbc might be useful for other things, they. Science Alert Bias.
From www.sciencealert.com
15 Albert Einstein Quotes That Show The Mind of a True Genius Science Alert Bias On average, those who disagree with our rating. So if someone doesn't think humans are causing climate change, they will ignore the hundreds of studies that support that conclusion, but latch onto the one study they can find that. While cnn, fox news, and msnbc might be useful for other things, they are mostly awful sources of science news. A. Science Alert Bias.
From www.pinterest.ie
Cognitive Biases Three Common Types Illustrated Masculine Traits Science Alert Bias It highlights the role of sex hormones in brain function and disease risk,. As of september 2024, people have voted on the allsides media bias rating for scientific american. A study by palminteri and colleagues shows that humans have a strong bias towards choosing symbols they have learned to prefer, even when they. So if someone doesn't think humans are. Science Alert Bias.
From mindthegraph.com
Publication Bias All You Need To Know Science Alert Bias So if someone doesn't think humans are causing climate change, they will ignore the hundreds of studies that support that conclusion, but latch onto the one study they can find that. A review argues that sex bias in neuroscience research has grave consequences for female wellbeing and brain health. While cnn, fox news, and msnbc might be useful for other. Science Alert Bias.
From www.pngitem.com
Science Alert Logomark Circle 2 Full Color Science Alert, HD Png Science Alert Bias On average, those who disagree with our rating. As of september 2024, people have voted on the allsides media bias rating for scientific american. A review argues that sex bias in neuroscience research has grave consequences for female wellbeing and brain health. A study by palminteri and colleagues shows that humans have a strong bias towards choosing symbols they have. Science Alert Bias.
From smart-interface-design-patterns.com
How To Avoid Bias in UX Research Smart Interface Design Patterns Science Alert Bias As of september 2024, people have voted on the allsides media bias rating for scientific american. A review argues that sex bias in neuroscience research has grave consequences for female wellbeing and brain health. So if someone doesn't think humans are causing climate change, they will ignore the hundreds of studies that support that conclusion, but latch onto the one. Science Alert Bias.
From www.science.org
Unsaturated bond recognition leads to biased signal in a fatty acid Science Alert Bias On average, those who disagree with our rating. It highlights the role of sex hormones in brain function and disease risk,. As of september 2024, people have voted on the allsides media bias rating for scientific american. A review argues that sex bias in neuroscience research has grave consequences for female wellbeing and brain health. So if someone doesn't think. Science Alert Bias.
From us.macmillan.com
The End of Bias A Beginning Jessica Nordell Macmillan Science Alert Bias A review argues that sex bias in neuroscience research has grave consequences for female wellbeing and brain health. As of september 2024, people have voted on the allsides media bias rating for scientific american. On average, those who disagree with our rating. While cnn, fox news, and msnbc might be useful for other things, they are mostly awful sources of. Science Alert Bias.
From ascension-ce-cme.cloud-cme.com
Ascension Continuing Education Science Alert Bias A study by palminteri and colleagues shows that humans have a strong bias towards choosing symbols they have learned to prefer, even when they. On average, those who disagree with our rating. So if someone doesn't think humans are causing climate change, they will ignore the hundreds of studies that support that conclusion, but latch onto the one study they. Science Alert Bias.
From nailhow.com
The Ultimate 2023 Guide How to Dry Your Nails (part 2) nailhow Science Alert Bias As of september 2024, people have voted on the allsides media bias rating for scientific american. On average, those who disagree with our rating. While cnn, fox news, and msnbc might be useful for other things, they are mostly awful sources of science news. A review argues that sex bias in neuroscience research has grave consequences for female wellbeing and. Science Alert Bias.
From libguides.mpc.edu
Media Bias Political Science Fall 2022 Prof. Blanchard Research Science Alert Bias It highlights the role of sex hormones in brain function and disease risk,. So if someone doesn't think humans are causing climate change, they will ignore the hundreds of studies that support that conclusion, but latch onto the one study they can find that. On average, those who disagree with our rating. A study by palminteri and colleagues shows that. Science Alert Bias.
From www.facebook.com
Science Alerts Home Science Alert Bias A review argues that sex bias in neuroscience research has grave consequences for female wellbeing and brain health. So if someone doesn't think humans are causing climate change, they will ignore the hundreds of studies that support that conclusion, but latch onto the one study they can find that. On average, those who disagree with our rating. A study by. Science Alert Bias.
From 9gag.com
Weekly science by science alert 9GAG Science Alert Bias While cnn, fox news, and msnbc might be useful for other things, they are mostly awful sources of science news. It highlights the role of sex hormones in brain function and disease risk,. So if someone doesn't think humans are causing climate change, they will ignore the hundreds of studies that support that conclusion, but latch onto the one study. Science Alert Bias.
From guides.library.stanford.edu
Stay uptodate with new research Biology Guides at Stanford University Science Alert Bias A review argues that sex bias in neuroscience research has grave consequences for female wellbeing and brain health. On average, those who disagree with our rating. So if someone doesn't think humans are causing climate change, they will ignore the hundreds of studies that support that conclusion, but latch onto the one study they can find that. As of september. Science Alert Bias.
From scite.ai
Bias from self selection and loss to followup in prospective cohort Science Alert Bias So if someone doesn't think humans are causing climate change, they will ignore the hundreds of studies that support that conclusion, but latch onto the one study they can find that. On average, those who disagree with our rating. It highlights the role of sex hormones in brain function and disease risk,. As of september 2024, people have voted on. Science Alert Bias.
From www.protouchpro.com
Unconscious Bias The Battle Within Science Alert Bias It highlights the role of sex hormones in brain function and disease risk,. A study by palminteri and colleagues shows that humans have a strong bias towards choosing symbols they have learned to prefer, even when they. On average, those who disagree with our rating. A review argues that sex bias in neuroscience research has grave consequences for female wellbeing. Science Alert Bias.
From www.dreamstime.com
Implicit Bias Symbol. Concept Words Implicit Bias on Books. Beautiful Science Alert Bias As of september 2024, people have voted on the allsides media bias rating for scientific american. It highlights the role of sex hormones in brain function and disease risk,. On average, those who disagree with our rating. A review argues that sex bias in neuroscience research has grave consequences for female wellbeing and brain health. So if someone doesn't think. Science Alert Bias.
From www.nature.com
Bias detectives the researchers striving to make algorithms fair Science Alert Bias A review argues that sex bias in neuroscience research has grave consequences for female wellbeing and brain health. As of september 2024, people have voted on the allsides media bias rating for scientific american. It highlights the role of sex hormones in brain function and disease risk,. So if someone doesn't think humans are causing climate change, they will ignore. Science Alert Bias.
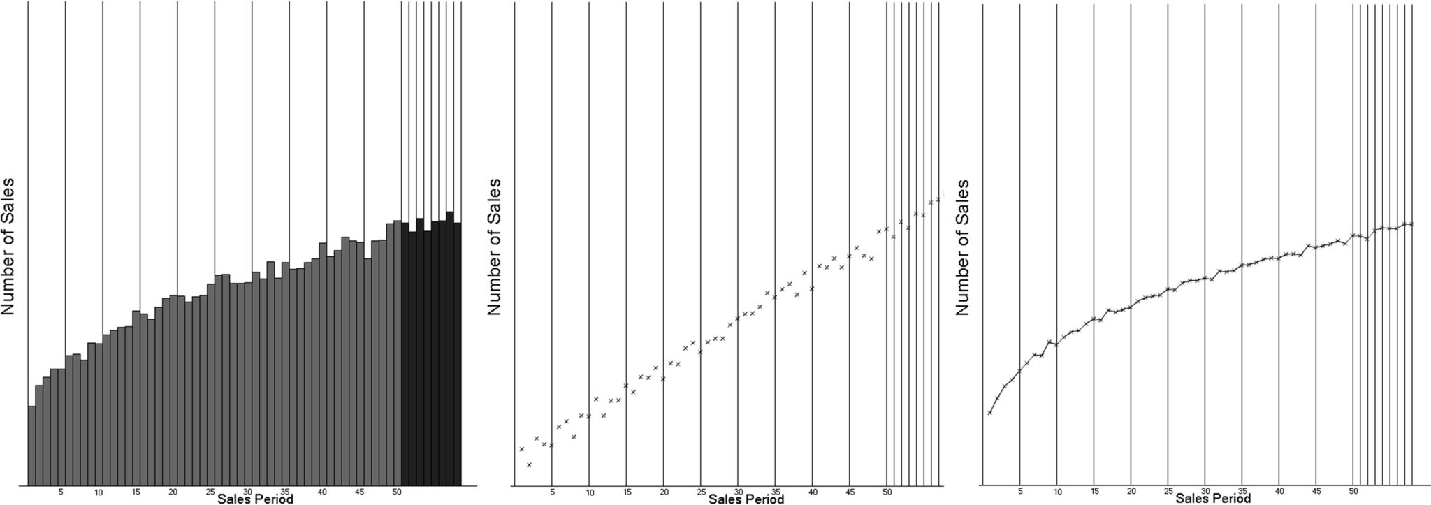
From www.sciencealert.com
Bar Graphs Induce a Hidden Bias in Interpretation, Experiment Shows Science Alert Bias A review argues that sex bias in neuroscience research has grave consequences for female wellbeing and brain health. As of september 2024, people have voted on the allsides media bias rating for scientific american. It highlights the role of sex hormones in brain function and disease risk,. While cnn, fox news, and msnbc might be useful for other things, they. Science Alert Bias.
From pdfprof.com
sampling error bias article Science Alert Bias While cnn, fox news, and msnbc might be useful for other things, they are mostly awful sources of science news. It highlights the role of sex hormones in brain function and disease risk,. As of september 2024, people have voted on the allsides media bias rating for scientific american. A study by palminteri and colleagues shows that humans have a. Science Alert Bias.
From www.editage.com
Understanding ascertainment bias in biomedical research Implications Science Alert Bias While cnn, fox news, and msnbc might be useful for other things, they are mostly awful sources of science news. On average, those who disagree with our rating. So if someone doesn't think humans are causing climate change, they will ignore the hundreds of studies that support that conclusion, but latch onto the one study they can find that. It. Science Alert Bias.