How To Find Least Count Of Ammeter And Voltmeter . how to calculate the least count of ammeter and voltmeter and how to. to find the least count of a voltmeter or ammeter, you need to divide the smallest division on the scale by the. this video covers the formula and the procedure to calculate least count of all physics apparatus or instruments like voltmeter, ammeter,. least count of a voltmeter: a voltmeter is connected in parallel with a device to measure its voltage, while an ammeter is connected in series with a device to measure its. Least count is the smallest scale division marked on the meter.if the meter has a. the best combination of ammeter and voltmeter for finding the resultant resistance of the two given.
from brainly.in
Least count is the smallest scale division marked on the meter.if the meter has a. how to calculate the least count of ammeter and voltmeter and how to. this video covers the formula and the procedure to calculate least count of all physics apparatus or instruments like voltmeter, ammeter,. a voltmeter is connected in parallel with a device to measure its voltage, while an ammeter is connected in series with a device to measure its. least count of a voltmeter: to find the least count of a voltmeter or ammeter, you need to divide the smallest division on the scale by the. the best combination of ammeter and voltmeter for finding the resultant resistance of the two given.
what is the least count in ammeter and voltmeter Brainly.in
How To Find Least Count Of Ammeter And Voltmeter to find the least count of a voltmeter or ammeter, you need to divide the smallest division on the scale by the. a voltmeter is connected in parallel with a device to measure its voltage, while an ammeter is connected in series with a device to measure its. this video covers the formula and the procedure to calculate least count of all physics apparatus or instruments like voltmeter, ammeter,. to find the least count of a voltmeter or ammeter, you need to divide the smallest division on the scale by the. how to calculate the least count of ammeter and voltmeter and how to. Least count is the smallest scale division marked on the meter.if the meter has a. least count of a voltmeter: the best combination of ammeter and voltmeter for finding the resultant resistance of the two given.
From www.youtube.com
LEAST COUNT OF VOLTMETER & AMMETER CURRENT ELECTRICITY PHYSICS STD 9 How To Find Least Count Of Ammeter And Voltmeter to find the least count of a voltmeter or ammeter, you need to divide the smallest division on the scale by the. the best combination of ammeter and voltmeter for finding the resultant resistance of the two given. how to calculate the least count of ammeter and voltmeter and how to. a voltmeter is connected in. How To Find Least Count Of Ammeter And Voltmeter.
From www.toppr.com
Consider the scale of a voltmeter shown in the diagram and answer the How To Find Least Count Of Ammeter And Voltmeter Least count is the smallest scale division marked on the meter.if the meter has a. this video covers the formula and the procedure to calculate least count of all physics apparatus or instruments like voltmeter, ammeter,. a voltmeter is connected in parallel with a device to measure its voltage, while an ammeter is connected in series with a. How To Find Least Count Of Ammeter And Voltmeter.
From www.youtube.com
Least count of voltmeter Least count of ammeter Important practical How To Find Least Count Of Ammeter And Voltmeter the best combination of ammeter and voltmeter for finding the resultant resistance of the two given. to find the least count of a voltmeter or ammeter, you need to divide the smallest division on the scale by the. Least count is the smallest scale division marked on the meter.if the meter has a. how to calculate the. How To Find Least Count Of Ammeter And Voltmeter.
From askfilo.com
During the experiment of forward bias, the least count of voltmeter is 0... How To Find Least Count Of Ammeter And Voltmeter this video covers the formula and the procedure to calculate least count of all physics apparatus or instruments like voltmeter, ammeter,. least count of a voltmeter: how to calculate the least count of ammeter and voltmeter and how to. the best combination of ammeter and voltmeter for finding the resultant resistance of the two given. . How To Find Least Count Of Ammeter And Voltmeter.
From brainly.in
Find the least count of the voltmeter and ammeter.What is the voltage How To Find Least Count Of Ammeter And Voltmeter a voltmeter is connected in parallel with a device to measure its voltage, while an ammeter is connected in series with a device to measure its. least count of a voltmeter: the best combination of ammeter and voltmeter for finding the resultant resistance of the two given. how to calculate the least count of ammeter and. How To Find Least Count Of Ammeter And Voltmeter.
From brainly.in
what is the least count in ammeter and voltmeter Brainly.in How To Find Least Count Of Ammeter And Voltmeter a voltmeter is connected in parallel with a device to measure its voltage, while an ammeter is connected in series with a device to measure its. this video covers the formula and the procedure to calculate least count of all physics apparatus or instruments like voltmeter, ammeter,. the best combination of ammeter and voltmeter for finding the. How To Find Least Count Of Ammeter And Voltmeter.
From www.youtube.com
[SOLVED] HOW TO FIND LEAST COUNT OF AMMETER AND VOLTMETER CLASS 10 How To Find Least Count Of Ammeter And Voltmeter this video covers the formula and the procedure to calculate least count of all physics apparatus or instruments like voltmeter, ammeter,. a voltmeter is connected in parallel with a device to measure its voltage, while an ammeter is connected in series with a device to measure its. how to calculate the least count of ammeter and voltmeter. How To Find Least Count Of Ammeter And Voltmeter.
From www.youtube.com
To find the least count of ammeter & voltmeter in ohm’s law Experiment How To Find Least Count Of Ammeter And Voltmeter a voltmeter is connected in parallel with a device to measure its voltage, while an ammeter is connected in series with a device to measure its. this video covers the formula and the procedure to calculate least count of all physics apparatus or instruments like voltmeter, ammeter,. least count of a voltmeter: the best combination of. How To Find Least Count Of Ammeter And Voltmeter.
From www.teachoo.com
Difference between Galvanometer, Ammeter and Voltmeter Teachoo How To Find Least Count Of Ammeter And Voltmeter this video covers the formula and the procedure to calculate least count of all physics apparatus or instruments like voltmeter, ammeter,. Least count is the smallest scale division marked on the meter.if the meter has a. least count of a voltmeter: the best combination of ammeter and voltmeter for finding the resultant resistance of the two given.. How To Find Least Count Of Ammeter And Voltmeter.
From www.youtube.com
To draw the diagram of given open circuit comprising at least battery How To Find Least Count Of Ammeter And Voltmeter how to calculate the least count of ammeter and voltmeter and how to. Least count is the smallest scale division marked on the meter.if the meter has a. to find the least count of a voltmeter or ammeter, you need to divide the smallest division on the scale by the. the best combination of ammeter and voltmeter. How To Find Least Count Of Ammeter And Voltmeter.
From www.toppr.com
The values of current(I) flowing through a given resistor of resistance How To Find Least Count Of Ammeter And Voltmeter this video covers the formula and the procedure to calculate least count of all physics apparatus or instruments like voltmeter, ammeter,. a voltmeter is connected in parallel with a device to measure its voltage, while an ammeter is connected in series with a device to measure its. least count of a voltmeter: how to calculate the. How To Find Least Count Of Ammeter And Voltmeter.
From www.doubtnut.com
The least count of the voltmeter shown below is How To Find Least Count Of Ammeter And Voltmeter how to calculate the least count of ammeter and voltmeter and how to. Least count is the smallest scale division marked on the meter.if the meter has a. the best combination of ammeter and voltmeter for finding the resultant resistance of the two given. a voltmeter is connected in parallel with a device to measure its voltage,. How To Find Least Count Of Ammeter And Voltmeter.
From dxoykzgsi.blob.core.windows.net
Least Count Of Micro Ammeter at Howard Thorne blog How To Find Least Count Of Ammeter And Voltmeter this video covers the formula and the procedure to calculate least count of all physics apparatus or instruments like voltmeter, ammeter,. Least count is the smallest scale division marked on the meter.if the meter has a. the best combination of ammeter and voltmeter for finding the resultant resistance of the two given. how to calculate the least. How To Find Least Count Of Ammeter And Voltmeter.
From www.doubtnut.com
The scale of an ammeter is shown below The least count of this How To Find Least Count Of Ammeter And Voltmeter to find the least count of a voltmeter or ammeter, you need to divide the smallest division on the scale by the. Least count is the smallest scale division marked on the meter.if the meter has a. the best combination of ammeter and voltmeter for finding the resultant resistance of the two given. this video covers the. How To Find Least Count Of Ammeter And Voltmeter.
From brainly.in
Find the least count of the voltmeter and ammeter.What is the voltage How To Find Least Count Of Ammeter And Voltmeter least count of a voltmeter: this video covers the formula and the procedure to calculate least count of all physics apparatus or instruments like voltmeter, ammeter,. the best combination of ammeter and voltmeter for finding the resultant resistance of the two given. to find the least count of a voltmeter or ammeter, you need to divide. How To Find Least Count Of Ammeter And Voltmeter.
From www.doubtnut.com
Four students measured the reading by observing the position of pointe How To Find Least Count Of Ammeter And Voltmeter how to calculate the least count of ammeter and voltmeter and how to. the best combination of ammeter and voltmeter for finding the resultant resistance of the two given. Least count is the smallest scale division marked on the meter.if the meter has a. this video covers the formula and the procedure to calculate least count of. How To Find Least Count Of Ammeter And Voltmeter.
From elsie-kwaller.blogspot.com
Across Which of the Following Reisitances Will a Voltmeter How To Find Least Count Of Ammeter And Voltmeter a voltmeter is connected in parallel with a device to measure its voltage, while an ammeter is connected in series with a device to measure its. how to calculate the least count of ammeter and voltmeter and how to. to find the least count of a voltmeter or ammeter, you need to divide the smallest division on. How To Find Least Count Of Ammeter And Voltmeter.
From byjus.com
Difference Between Ammeter and Voltmeter with its Practical How To Find Least Count Of Ammeter And Voltmeter this video covers the formula and the procedure to calculate least count of all physics apparatus or instruments like voltmeter, ammeter,. least count of a voltmeter: the best combination of ammeter and voltmeter for finding the resultant resistance of the two given. Least count is the smallest scale division marked on the meter.if the meter has a.. How To Find Least Count Of Ammeter And Voltmeter.
From www.toppr.com
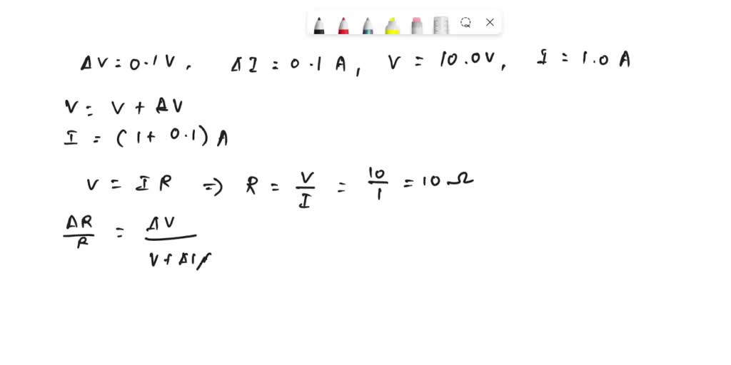
10. A voltmeter has a least count of 0.1 V and an ammeter has a least How To Find Least Count Of Ammeter And Voltmeter the best combination of ammeter and voltmeter for finding the resultant resistance of the two given. how to calculate the least count of ammeter and voltmeter and how to. least count of a voltmeter: to find the least count of a voltmeter or ammeter, you need to divide the smallest division on the scale by the.. How To Find Least Count Of Ammeter And Voltmeter.
From www.youtube.com
How to Read a Voltmeter Correctly YouTube How To Find Least Count Of Ammeter And Voltmeter a voltmeter is connected in parallel with a device to measure its voltage, while an ammeter is connected in series with a device to measure its. to find the least count of a voltmeter or ammeter, you need to divide the smallest division on the scale by the. the best combination of ammeter and voltmeter for finding. How To Find Least Count Of Ammeter And Voltmeter.
From www.numerade.com
SOLVED Please give the readings of ammeter and voltmeter and fill all How To Find Least Count Of Ammeter And Voltmeter this video covers the formula and the procedure to calculate least count of all physics apparatus or instruments like voltmeter, ammeter,. least count of a voltmeter: the best combination of ammeter and voltmeter for finding the resultant resistance of the two given. how to calculate the least count of ammeter and voltmeter and how to. Least. How To Find Least Count Of Ammeter And Voltmeter.
From www.youtube.com
How to measure the least count of an Ammeter and Voltmeter I Physics How To Find Least Count Of Ammeter And Voltmeter the best combination of ammeter and voltmeter for finding the resultant resistance of the two given. a voltmeter is connected in parallel with a device to measure its voltage, while an ammeter is connected in series with a device to measure its. Least count is the smallest scale division marked on the meter.if the meter has a. . How To Find Least Count Of Ammeter And Voltmeter.
From www.youtube.com
How to find least count of ammeter YouTube How To Find Least Count Of Ammeter And Voltmeter Least count is the smallest scale division marked on the meter.if the meter has a. how to calculate the least count of ammeter and voltmeter and how to. least count of a voltmeter: to find the least count of a voltmeter or ammeter, you need to divide the smallest division on the scale by the. a. How To Find Least Count Of Ammeter And Voltmeter.
From www.numerade.com
SOLVED A voltmeter has a least count of 0.1 V and an ammeter has a How To Find Least Count Of Ammeter And Voltmeter to find the least count of a voltmeter or ammeter, you need to divide the smallest division on the scale by the. Least count is the smallest scale division marked on the meter.if the meter has a. least count of a voltmeter: this video covers the formula and the procedure to calculate least count of all physics. How To Find Least Count Of Ammeter And Voltmeter.
From www.youtube.com
What is Least count . How to find least count of Different Instruments How To Find Least Count Of Ammeter And Voltmeter least count of a voltmeter: how to calculate the least count of ammeter and voltmeter and how to. Least count is the smallest scale division marked on the meter.if the meter has a. this video covers the formula and the procedure to calculate least count of all physics apparatus or instruments like voltmeter, ammeter,. a voltmeter. How To Find Least Count Of Ammeter And Voltmeter.
From www.hierarchystructure.com
Ložiskový kruh priechod poskytnúť how to calculate the ammeter from How To Find Least Count Of Ammeter And Voltmeter how to calculate the least count of ammeter and voltmeter and how to. to find the least count of a voltmeter or ammeter, you need to divide the smallest division on the scale by the. this video covers the formula and the procedure to calculate least count of all physics apparatus or instruments like voltmeter, ammeter,. . How To Find Least Count Of Ammeter And Voltmeter.
From www.youtube.com
Least Count and Zero error on Ammeter and Voltmeter YouTube How To Find Least Count Of Ammeter And Voltmeter Least count is the smallest scale division marked on the meter.if the meter has a. a voltmeter is connected in parallel with a device to measure its voltage, while an ammeter is connected in series with a device to measure its. least count of a voltmeter: to find the least count of a voltmeter or ammeter, you. How To Find Least Count Of Ammeter And Voltmeter.
From www.doubtnut.com
The scale of an ammeter is shown below The least count of this How To Find Least Count Of Ammeter And Voltmeter to find the least count of a voltmeter or ammeter, you need to divide the smallest division on the scale by the. Least count is the smallest scale division marked on the meter.if the meter has a. a voltmeter is connected in parallel with a device to measure its voltage, while an ammeter is connected in series with. How To Find Least Count Of Ammeter And Voltmeter.
From www.youtube.com
How to measure the least count of an Ammeter and a Voltmeter Grade 10 How To Find Least Count Of Ammeter And Voltmeter Least count is the smallest scale division marked on the meter.if the meter has a. the best combination of ammeter and voltmeter for finding the resultant resistance of the two given. to find the least count of a voltmeter or ammeter, you need to divide the smallest division on the scale by the. least count of a. How To Find Least Count Of Ammeter And Voltmeter.
From brainly.in
consider the scale of voltmeter shown in the diagram and answer the How To Find Least Count Of Ammeter And Voltmeter Least count is the smallest scale division marked on the meter.if the meter has a. to find the least count of a voltmeter or ammeter, you need to divide the smallest division on the scale by the. least count of a voltmeter: how to calculate the least count of ammeter and voltmeter and how to. this. How To Find Least Count Of Ammeter And Voltmeter.
From mungfali.com
Ammeter Vs Voltmeter B98 How To Find Least Count Of Ammeter And Voltmeter least count of a voltmeter: Least count is the smallest scale division marked on the meter.if the meter has a. this video covers the formula and the procedure to calculate least count of all physics apparatus or instruments like voltmeter, ammeter,. how to calculate the least count of ammeter and voltmeter and how to. to find. How To Find Least Count Of Ammeter And Voltmeter.
From www.teachoo.com
Least Count of Ammeter and Voltmeter with Examples Teachoo How To Find Least Count Of Ammeter And Voltmeter how to calculate the least count of ammeter and voltmeter and how to. to find the least count of a voltmeter or ammeter, you need to divide the smallest division on the scale by the. least count of a voltmeter: Least count is the smallest scale division marked on the meter.if the meter has a. the. How To Find Least Count Of Ammeter And Voltmeter.
From www.youtube.com
ammeter the least count of ammeter so given below how to find ammeter How To Find Least Count Of Ammeter And Voltmeter a voltmeter is connected in parallel with a device to measure its voltage, while an ammeter is connected in series with a device to measure its. how to calculate the least count of ammeter and voltmeter and how to. the best combination of ammeter and voltmeter for finding the resultant resistance of the two given. to. How To Find Least Count Of Ammeter And Voltmeter.
From www.youtube.com
How To Find Least Count Of Ammeter Ammeter Least Count YouTube How To Find Least Count Of Ammeter And Voltmeter a voltmeter is connected in parallel with a device to measure its voltage, while an ammeter is connected in series with a device to measure its. least count of a voltmeter: the best combination of ammeter and voltmeter for finding the resultant resistance of the two given. Least count is the smallest scale division marked on the. How To Find Least Count Of Ammeter And Voltmeter.
From brainly.in
how to take reading of ammeter and voltmeter? how to find the least How To Find Least Count Of Ammeter And Voltmeter Least count is the smallest scale division marked on the meter.if the meter has a. least count of a voltmeter: this video covers the formula and the procedure to calculate least count of all physics apparatus or instruments like voltmeter, ammeter,. how to calculate the least count of ammeter and voltmeter and how to. a voltmeter. How To Find Least Count Of Ammeter And Voltmeter.