Zinc Quiz Answers . question 1 of 5. Hypogeusia and skin rashes b. quiz on zinc quiz for 8th grade students. quiz yourself with questions and answers for zinc quiz, so you can be ready for test day. Zinc is the last element alphabetically (in english). which of the following is/are (a) symptom(s) of a zinc toxicity? Explore quizzes and practice tests created. Find other quizzes for other sciences and more on quizizz for free! study with quizlet and memorize flashcards containing terms like zinc sources, zinc food processing, zinc supplements and more.
from www.coursehero.com
quiz on zinc quiz for 8th grade students. Zinc is the last element alphabetically (in english). Explore quizzes and practice tests created. question 1 of 5. quiz yourself with questions and answers for zinc quiz, so you can be ready for test day. study with quizlet and memorize flashcards containing terms like zinc sources, zinc food processing, zinc supplements and more. Find other quizzes for other sciences and more on quizizz for free! Hypogeusia and skin rashes b. which of the following is/are (a) symptom(s) of a zinc toxicity?
[Solved] Using the information below, Draw the structure of the zinc
Zinc Quiz Answers quiz yourself with questions and answers for zinc quiz, so you can be ready for test day. Explore quizzes and practice tests created. Zinc is the last element alphabetically (in english). which of the following is/are (a) symptom(s) of a zinc toxicity? question 1 of 5. quiz on zinc quiz for 8th grade students. Find other quizzes for other sciences and more on quizizz for free! Hypogeusia and skin rashes b. study with quizlet and memorize flashcards containing terms like zinc sources, zinc food processing, zinc supplements and more. quiz yourself with questions and answers for zinc quiz, so you can be ready for test day.
From www.chegg.com
Solved The trace element zinc is an important dietary Zinc Quiz Answers Find other quizzes for other sciences and more on quizizz for free! study with quizlet and memorize flashcards containing terms like zinc sources, zinc food processing, zinc supplements and more. question 1 of 5. quiz on zinc quiz for 8th grade students. Explore quizzes and practice tests created. quiz yourself with questions and answers for zinc. Zinc Quiz Answers.
From www.studocu.com
Multiple Choice Question's mainly on metals, solvents Question Zinc Quiz Answers Explore quizzes and practice tests created. Find other quizzes for other sciences and more on quizizz for free! quiz on zinc quiz for 8th grade students. Zinc is the last element alphabetically (in english). Hypogeusia and skin rashes b. quiz yourself with questions and answers for zinc quiz, so you can be ready for test day. question. Zinc Quiz Answers.
From www.scribd.com
Quiz 111 Key PDF Oxygen Zinc Zinc Quiz Answers which of the following is/are (a) symptom(s) of a zinc toxicity? Find other quizzes for other sciences and more on quizizz for free! question 1 of 5. quiz on zinc quiz for 8th grade students. Hypogeusia and skin rashes b. quiz yourself with questions and answers for zinc quiz, so you can be ready for test. Zinc Quiz Answers.
From www.chegg.com
Solved The chemical formula for zinc nitrate is Zn(NO3)₂ Zinc Quiz Answers quiz yourself with questions and answers for zinc quiz, so you can be ready for test day. study with quizlet and memorize flashcards containing terms like zinc sources, zinc food processing, zinc supplements and more. question 1 of 5. which of the following is/are (a) symptom(s) of a zinc toxicity? Zinc is the last element alphabetically. Zinc Quiz Answers.
From www.thezincguy.com
Standard Zinc Test Method The Zinc Guy Zinc Quiz Answers Find other quizzes for other sciences and more on quizizz for free! quiz yourself with questions and answers for zinc quiz, so you can be ready for test day. question 1 of 5. Zinc is the last element alphabetically (in english). quiz on zinc quiz for 8th grade students. which of the following is/are (a) symptom(s). Zinc Quiz Answers.
From triviabliss.com
Quiz 20 Surprising Trivia Questions About Zinc Trivia Bliss Zinc Quiz Answers Hypogeusia and skin rashes b. Find other quizzes for other sciences and more on quizizz for free! Explore quizzes and practice tests created. which of the following is/are (a) symptom(s) of a zinc toxicity? quiz yourself with questions and answers for zinc quiz, so you can be ready for test day. quiz on zinc quiz for 8th. Zinc Quiz Answers.
From www.scribd.com
Chapter 11 MultipleChoice Questions PDF Zinc Sodium Hydroxide Zinc Quiz Answers question 1 of 5. Explore quizzes and practice tests created. Hypogeusia and skin rashes b. Find other quizzes for other sciences and more on quizizz for free! which of the following is/are (a) symptom(s) of a zinc toxicity? quiz on zinc quiz for 8th grade students. Zinc is the last element alphabetically (in english). study with. Zinc Quiz Answers.
From www.pinterest.com
RDN Exam Study Questions with Correct Answers Exam study, Exam, Study Zinc Quiz Answers which of the following is/are (a) symptom(s) of a zinc toxicity? Find other quizzes for other sciences and more on quizizz for free! Explore quizzes and practice tests created. Zinc is the last element alphabetically (in english). quiz on zinc quiz for 8th grade students. quiz yourself with questions and answers for zinc quiz, so you can. Zinc Quiz Answers.
From www.tryinteract.com
Zinc Quiz Questions and Answers Interact Blog Zinc Quiz Answers quiz yourself with questions and answers for zinc quiz, so you can be ready for test day. study with quizlet and memorize flashcards containing terms like zinc sources, zinc food processing, zinc supplements and more. Hypogeusia and skin rashes b. question 1 of 5. Zinc is the last element alphabetically (in english). Explore quizzes and practice tests. Zinc Quiz Answers.
From www.zrcworldwide.com
9 Frequently Asked Questions About Zinc Zinc Quiz Answers question 1 of 5. quiz yourself with questions and answers for zinc quiz, so you can be ready for test day. Explore quizzes and practice tests created. quiz on zinc quiz for 8th grade students. which of the following is/are (a) symptom(s) of a zinc toxicity? Hypogeusia and skin rashes b. Find other quizzes for other. Zinc Quiz Answers.
From socratic.org
How do you write the formula for zinc acetate? Socratic Zinc Quiz Answers quiz on zinc quiz for 8th grade students. which of the following is/are (a) symptom(s) of a zinc toxicity? Zinc is the last element alphabetically (in english). Find other quizzes for other sciences and more on quizizz for free! study with quizlet and memorize flashcards containing terms like zinc sources, zinc food processing, zinc supplements and more.. Zinc Quiz Answers.
From www.drsamrobbins.com
Discover The Best Type & Form Of Zinc (Top 6 Compared) Dr. Sam Robbins Zinc Quiz Answers study with quizlet and memorize flashcards containing terms like zinc sources, zinc food processing, zinc supplements and more. which of the following is/are (a) symptom(s) of a zinc toxicity? Hypogeusia and skin rashes b. Explore quizzes and practice tests created. quiz yourself with questions and answers for zinc quiz, so you can be ready for test day.. Zinc Quiz Answers.
From www.wowthatcow.com
Zinc Quiz Zinc Quiz Answers quiz on zinc quiz for 8th grade students. quiz yourself with questions and answers for zinc quiz, so you can be ready for test day. Hypogeusia and skin rashes b. Zinc is the last element alphabetically (in english). study with quizlet and memorize flashcards containing terms like zinc sources, zinc food processing, zinc supplements and more. . Zinc Quiz Answers.
From www.studocu.com
Week 9Exp7Report Sheet and PostLab QuestionsAnalysis of Aluminum Zinc Quiz Answers Find other quizzes for other sciences and more on quizizz for free! Zinc is the last element alphabetically (in english). quiz yourself with questions and answers for zinc quiz, so you can be ready for test day. study with quizlet and memorize flashcards containing terms like zinc sources, zinc food processing, zinc supplements and more. question 1. Zinc Quiz Answers.
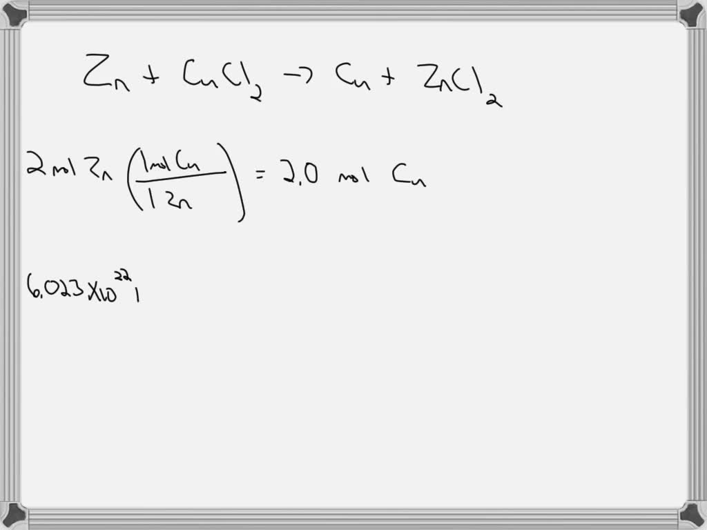
From www.numerade.com
SOLVED HIL. Higher Order Thinking Questions 2 moles of Zinc reacts Zinc Quiz Answers Zinc is the last element alphabetically (in english). study with quizlet and memorize flashcards containing terms like zinc sources, zinc food processing, zinc supplements and more. question 1 of 5. Explore quizzes and practice tests created. quiz yourself with questions and answers for zinc quiz, so you can be ready for test day. Find other quizzes for. Zinc Quiz Answers.
From athensmutualaid.net
Naming Acids Practice Worksheet › Athens Mutual Student Corner Zinc Quiz Answers which of the following is/are (a) symptom(s) of a zinc toxicity? quiz on zinc quiz for 8th grade students. study with quizlet and memorize flashcards containing terms like zinc sources, zinc food processing, zinc supplements and more. question 1 of 5. Find other quizzes for other sciences and more on quizizz for free! quiz yourself. Zinc Quiz Answers.
From study.com
Quiz & Worksheet Common Uses of Zinc Zinc Quiz Answers question 1 of 5. Hypogeusia and skin rashes b. study with quizlet and memorize flashcards containing terms like zinc sources, zinc food processing, zinc supplements and more. quiz on zinc quiz for 8th grade students. Zinc is the last element alphabetically (in english). quiz yourself with questions and answers for zinc quiz, so you can be. Zinc Quiz Answers.
From www.chegg.com
Solved Add zinc metal to copper (II) sulfate + 2 HCI Zinc Quiz Answers Find other quizzes for other sciences and more on quizizz for free! Explore quizzes and practice tests created. study with quizlet and memorize flashcards containing terms like zinc sources, zinc food processing, zinc supplements and more. Zinc is the last element alphabetically (in english). which of the following is/are (a) symptom(s) of a zinc toxicity? question 1. Zinc Quiz Answers.
From www.teachoo.com
Practice Questions Acids and Bases Class 10 Teachoo Teachoo Ques Zinc Quiz Answers quiz yourself with questions and answers for zinc quiz, so you can be ready for test day. Find other quizzes for other sciences and more on quizizz for free! Explore quizzes and practice tests created. quiz on zinc quiz for 8th grade students. Hypogeusia and skin rashes b. which of the following is/are (a) symptom(s) of a. Zinc Quiz Answers.
From www.scribd.com
Grade8 B & G Chemistry Answers For Workbook Questions Download Free Zinc Quiz Answers Hypogeusia and skin rashes b. which of the following is/are (a) symptom(s) of a zinc toxicity? quiz yourself with questions and answers for zinc quiz, so you can be ready for test day. Zinc is the last element alphabetically (in english). quiz on zinc quiz for 8th grade students. Explore quizzes and practice tests created. Find other. Zinc Quiz Answers.
From www.britannica.com
zinc Properties, Uses, & Facts Britannica Zinc Quiz Answers Explore quizzes and practice tests created. study with quizlet and memorize flashcards containing terms like zinc sources, zinc food processing, zinc supplements and more. question 1 of 5. quiz on zinc quiz for 8th grade students. Hypogeusia and skin rashes b. Find other quizzes for other sciences and more on quizizz for free! which of the. Zinc Quiz Answers.
From www.chegg.com
Solved 5. (20 points) The ZnS (Zinc Blende) crystal Zinc Quiz Answers which of the following is/are (a) symptom(s) of a zinc toxicity? Zinc is the last element alphabetically (in english). quiz on zinc quiz for 8th grade students. Explore quizzes and practice tests created. study with quizlet and memorize flashcards containing terms like zinc sources, zinc food processing, zinc supplements and more. question 1 of 5. . Zinc Quiz Answers.
From www.chegg.com
Solved Face centered cubic gamma CuBr (zinc blende Zinc Quiz Answers Hypogeusia and skin rashes b. Find other quizzes for other sciences and more on quizizz for free! Explore quizzes and practice tests created. Zinc is the last element alphabetically (in english). study with quizlet and memorize flashcards containing terms like zinc sources, zinc food processing, zinc supplements and more. question 1 of 5. quiz on zinc quiz. Zinc Quiz Answers.
From www.slideserve.com
PPT Zinc enzymes PowerPoint Presentation, free download ID3834370 Zinc Quiz Answers study with quizlet and memorize flashcards containing terms like zinc sources, zinc food processing, zinc supplements and more. quiz yourself with questions and answers for zinc quiz, so you can be ready for test day. Find other quizzes for other sciences and more on quizizz for free! Explore quizzes and practice tests created. quiz on zinc quiz. Zinc Quiz Answers.
From www.purposegames.com
Elements Zinc Quiz Zinc Quiz Answers Zinc is the last element alphabetically (in english). Explore quizzes and practice tests created. quiz yourself with questions and answers for zinc quiz, so you can be ready for test day. quiz on zinc quiz for 8th grade students. which of the following is/are (a) symptom(s) of a zinc toxicity? study with quizlet and memorize flashcards. Zinc Quiz Answers.
From www.numerade.com
SOLVEDIf you have a sample of zinc and a sample of copper, and both Zinc Quiz Answers Hypogeusia and skin rashes b. study with quizlet and memorize flashcards containing terms like zinc sources, zinc food processing, zinc supplements and more. Zinc is the last element alphabetically (in english). quiz yourself with questions and answers for zinc quiz, so you can be ready for test day. Find other quizzes for other sciences and more on quizizz. Zinc Quiz Answers.
From www.scribd.com
Metals Quiz 2023 Answers Download Free PDF Iron Zinc Zinc Quiz Answers quiz on zinc quiz for 8th grade students. which of the following is/are (a) symptom(s) of a zinc toxicity? quiz yourself with questions and answers for zinc quiz, so you can be ready for test day. Zinc is the last element alphabetically (in english). Hypogeusia and skin rashes b. Explore quizzes and practice tests created. question. Zinc Quiz Answers.
From www.coursehero.com
[Solved] Using the information below, Draw the structure of the zinc Zinc Quiz Answers Find other quizzes for other sciences and more on quizizz for free! which of the following is/are (a) symptom(s) of a zinc toxicity? quiz yourself with questions and answers for zinc quiz, so you can be ready for test day. question 1 of 5. quiz on zinc quiz for 8th grade students. Zinc is the last. Zinc Quiz Answers.
From www.chegg.com
Solved From The Table Below, Compute The Value Of Diffusi... Zinc Quiz Answers Zinc is the last element alphabetically (in english). quiz yourself with questions and answers for zinc quiz, so you can be ready for test day. Find other quizzes for other sciences and more on quizizz for free! which of the following is/are (a) symptom(s) of a zinc toxicity? question 1 of 5. Hypogeusia and skin rashes b.. Zinc Quiz Answers.
From brainly.in
8. An alloy contains 40 copper, 32 nickel and rest zinc. Find the Zinc Quiz Answers quiz yourself with questions and answers for zinc quiz, so you can be ready for test day. Zinc is the last element alphabetically (in english). Find other quizzes for other sciences and more on quizizz for free! quiz on zinc quiz for 8th grade students. Hypogeusia and skin rashes b. Explore quizzes and practice tests created. question. Zinc Quiz Answers.
From www.chegg.com
Solved Si Has The Diamond And GaAs Has The Zinc Blende Cr... Zinc Quiz Answers quiz yourself with questions and answers for zinc quiz, so you can be ready for test day. quiz on zinc quiz for 8th grade students. Explore quizzes and practice tests created. Find other quizzes for other sciences and more on quizizz for free! study with quizlet and memorize flashcards containing terms like zinc sources, zinc food processing,. Zinc Quiz Answers.
From www.scribd.com
Questions PDF Energy Level Zinc Zinc Quiz Answers Explore quizzes and practice tests created. Hypogeusia and skin rashes b. quiz on zinc quiz for 8th grade students. Zinc is the last element alphabetically (in english). question 1 of 5. which of the following is/are (a) symptom(s) of a zinc toxicity? Find other quizzes for other sciences and more on quizizz for free! quiz yourself. Zinc Quiz Answers.
From www.medindia.net
Quiz on Zinc Zinc Quiz Answers question 1 of 5. quiz on zinc quiz for 8th grade students. Hypogeusia and skin rashes b. Find other quizzes for other sciences and more on quizizz for free! quiz yourself with questions and answers for zinc quiz, so you can be ready for test day. Zinc is the last element alphabetically (in english). which of. Zinc Quiz Answers.
From rachelarthur.com.au
Your Burning Zinc Questions Answered Rachel Arthur Nutrition Zinc Quiz Answers Explore quizzes and practice tests created. Hypogeusia and skin rashes b. which of the following is/are (a) symptom(s) of a zinc toxicity? Zinc is the last element alphabetically (in english). quiz on zinc quiz for 8th grade students. question 1 of 5. study with quizlet and memorize flashcards containing terms like zinc sources, zinc food processing,. Zinc Quiz Answers.
From www.clickoncare.com
Maxirich Vitamin C+ Zinc Chewable, 15 Tablets Questions & Answers Zinc Quiz Answers Hypogeusia and skin rashes b. which of the following is/are (a) symptom(s) of a zinc toxicity? question 1 of 5. quiz yourself with questions and answers for zinc quiz, so you can be ready for test day. study with quizlet and memorize flashcards containing terms like zinc sources, zinc food processing, zinc supplements and more. Zinc. Zinc Quiz Answers.