Standard Room Velocity . As stated before, clean rooms are classified by how. Indoor air quality should be closely monitored and maintained according to singapore standard ss554:2016 code of practice for indoor air. Perform air purging at least once a day and for at least two hours before. Flow velocity in air ducts should be kept within certain limits to avoid noise and unacceptable friction. Onditioning & mechanical ventilation systems7.1.1. Mechanical ventilation and smoke control systems. The basis of clean room standards is the micrometer, or micron for short (µm), which is the size of the particles to be filtered. Purge indoor air before occupancy: Recommended air velocities in hvac ducts.
from freepoints.com.au
Purge indoor air before occupancy: Indoor air quality should be closely monitored and maintained according to singapore standard ss554:2016 code of practice for indoor air. Onditioning & mechanical ventilation systems7.1.1. Mechanical ventilation and smoke control systems. The basis of clean room standards is the micrometer, or micron for short (µm), which is the size of the particles to be filtered. Perform air purging at least once a day and for at least two hours before. Recommended air velocities in hvac ducts. As stated before, clean rooms are classified by how. Flow velocity in air ducts should be kept within certain limits to avoid noise and unacceptable friction.
Bonus 30,000 Velocity points or 250 Status Credits or 200 Coles gift
Standard Room Velocity Recommended air velocities in hvac ducts. As stated before, clean rooms are classified by how. The basis of clean room standards is the micrometer, or micron for short (µm), which is the size of the particles to be filtered. Perform air purging at least once a day and for at least two hours before. Flow velocity in air ducts should be kept within certain limits to avoid noise and unacceptable friction. Mechanical ventilation and smoke control systems. Onditioning & mechanical ventilation systems7.1.1. Indoor air quality should be closely monitored and maintained according to singapore standard ss554:2016 code of practice for indoor air. Purge indoor air before occupancy: Recommended air velocities in hvac ducts.
From velocitymotel.com.au
Velocity Motel Standard Room Velocity Indoor air quality should be closely monitored and maintained according to singapore standard ss554:2016 code of practice for indoor air. The basis of clean room standards is the micrometer, or micron for short (µm), which is the size of the particles to be filtered. As stated before, clean rooms are classified by how. Perform air purging at least once a. Standard Room Velocity.
From www.cibsejournal.com
Module 208 Room air distribution for effective ventilation CIBSE Journal Standard Room Velocity Mechanical ventilation and smoke control systems. The basis of clean room standards is the micrometer, or micron for short (µm), which is the size of the particles to be filtered. Indoor air quality should be closely monitored and maintained according to singapore standard ss554:2016 code of practice for indoor air. Recommended air velocities in hvac ducts. As stated before, clean. Standard Room Velocity.
From mepacademy.com
Calculating CFM or Velocity Across a Coil or in Ductwork MEP Academy Standard Room Velocity Recommended air velocities in hvac ducts. Perform air purging at least once a day and for at least two hours before. The basis of clean room standards is the micrometer, or micron for short (µm), which is the size of the particles to be filtered. Indoor air quality should be closely monitored and maintained according to singapore standard ss554:2016 code. Standard Room Velocity.
From www.vornado.com
Velocity 3 Whole Room Heater Vornado Standard Room Velocity Perform air purging at least once a day and for at least two hours before. Indoor air quality should be closely monitored and maintained according to singapore standard ss554:2016 code of practice for indoor air. Purge indoor air before occupancy: The basis of clean room standards is the micrometer, or micron for short (µm), which is the size of the. Standard Room Velocity.
From www.engineertoolonline.com
4366 — Calculation of Room Velocity Using Energy Balance Standard Room Velocity Mechanical ventilation and smoke control systems. Recommended air velocities in hvac ducts. Indoor air quality should be closely monitored and maintained according to singapore standard ss554:2016 code of practice for indoor air. Flow velocity in air ducts should be kept within certain limits to avoid noise and unacceptable friction. Purge indoor air before occupancy: The basis of clean room standards. Standard Room Velocity.
From beta.iopscience.iop.org
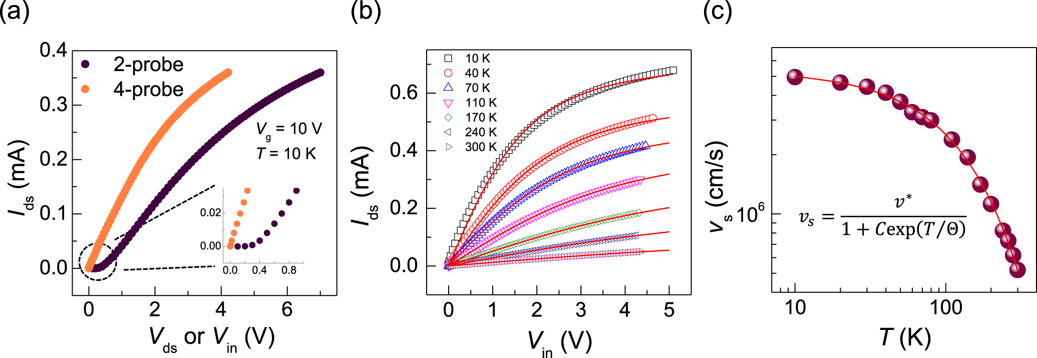
Temperature dependence of velocity saturation in a multilayer Standard Room Velocity Mechanical ventilation and smoke control systems. The basis of clean room standards is the micrometer, or micron for short (µm), which is the size of the particles to be filtered. Indoor air quality should be closely monitored and maintained according to singapore standard ss554:2016 code of practice for indoor air. Recommended air velocities in hvac ducts. Flow velocity in air. Standard Room Velocity.
From www.dreamstime.com
Air Velocity Test on HEPA Filter in Operating Room Stock Photo Image Standard Room Velocity As stated before, clean rooms are classified by how. Indoor air quality should be closely monitored and maintained according to singapore standard ss554:2016 code of practice for indoor air. The basis of clean room standards is the micrometer, or micron for short (µm), which is the size of the particles to be filtered. Onditioning & mechanical ventilation systems7.1.1. Purge indoor. Standard Room Velocity.
From www.adicotengineering.com
Diffuser Size Calculator Adicot, Inc. Standard Room Velocity The basis of clean room standards is the micrometer, or micron for short (µm), which is the size of the particles to be filtered. Recommended air velocities in hvac ducts. As stated before, clean rooms are classified by how. Perform air purging at least once a day and for at least two hours before. Indoor air quality should be closely. Standard Room Velocity.
From www.simscale.com
CBR650R Stock Velocity Stacks by jack_knesek SimScale Standard Room Velocity As stated before, clean rooms are classified by how. Recommended air velocities in hvac ducts. Onditioning & mechanical ventilation systems7.1.1. The basis of clean room standards is the micrometer, or micron for short (µm), which is the size of the particles to be filtered. Indoor air quality should be closely monitored and maintained according to singapore standard ss554:2016 code of. Standard Room Velocity.
From www.researchgate.net
Xvelocity and temperature contour of the isolation room in the xy Standard Room Velocity Onditioning & mechanical ventilation systems7.1.1. Mechanical ventilation and smoke control systems. Indoor air quality should be closely monitored and maintained according to singapore standard ss554:2016 code of practice for indoor air. The basis of clean room standards is the micrometer, or micron for short (µm), which is the size of the particles to be filtered. Flow velocity in air ducts. Standard Room Velocity.
From www.vornado.com
Velocity 3 Whole Room Heater Vornado Standard Room Velocity Perform air purging at least once a day and for at least two hours before. Onditioning & mechanical ventilation systems7.1.1. Indoor air quality should be closely monitored and maintained according to singapore standard ss554:2016 code of practice for indoor air. Flow velocity in air ducts should be kept within certain limits to avoid noise and unacceptable friction. Purge indoor air. Standard Room Velocity.
From www.vornado.com
Velocity 3R Whole Room Heater Vornado Standard Room Velocity Perform air purging at least once a day and for at least two hours before. Mechanical ventilation and smoke control systems. Onditioning & mechanical ventilation systems7.1.1. The basis of clean room standards is the micrometer, or micron for short (µm), which is the size of the particles to be filtered. Indoor air quality should be closely monitored and maintained according. Standard Room Velocity.
From velocitymotel.com.au
Velocity Karratha Conference Room Velocity Motel Standard Room Velocity Recommended air velocities in hvac ducts. The basis of clean room standards is the micrometer, or micron for short (µm), which is the size of the particles to be filtered. As stated before, clean rooms are classified by how. Purge indoor air before occupancy: Indoor air quality should be closely monitored and maintained according to singapore standard ss554:2016 code of. Standard Room Velocity.
From velocitytech-qa.com
Velocity Technologies Standard Room Velocity Flow velocity in air ducts should be kept within certain limits to avoid noise and unacceptable friction. Onditioning & mechanical ventilation systems7.1.1. Perform air purging at least once a day and for at least two hours before. Purge indoor air before occupancy: As stated before, clean rooms are classified by how. Indoor air quality should be closely monitored and maintained. Standard Room Velocity.
From velocitymotel.com.au
Velocity Karratha Conference Room Velocity Motel Standard Room Velocity Indoor air quality should be closely monitored and maintained according to singapore standard ss554:2016 code of practice for indoor air. Purge indoor air before occupancy: Onditioning & mechanical ventilation systems7.1.1. The basis of clean room standards is the micrometer, or micron for short (µm), which is the size of the particles to be filtered. As stated before, clean rooms are. Standard Room Velocity.
From ammoasap.com
Aguila 28 Gauge 1CHB2837 Birdshot Standard Velocity 2.75" 1oz 7.5 Shot Standard Room Velocity Recommended air velocities in hvac ducts. Onditioning & mechanical ventilation systems7.1.1. Purge indoor air before occupancy: As stated before, clean rooms are classified by how. Indoor air quality should be closely monitored and maintained according to singapore standard ss554:2016 code of practice for indoor air. The basis of clean room standards is the micrometer, or micron for short (µm), which. Standard Room Velocity.
From www.comsol.fr
Preventing Airborne Infection with CFD Modeling COMSOL Blog Standard Room Velocity Mechanical ventilation and smoke control systems. Indoor air quality should be closely monitored and maintained according to singapore standard ss554:2016 code of practice for indoor air. Flow velocity in air ducts should be kept within certain limits to avoid noise and unacceptable friction. Recommended air velocities in hvac ducts. The basis of clean room standards is the micrometer, or micron. Standard Room Velocity.
From www.gunbroker.com
Western SuperX .22 Long Rifle High Velocity Xpert 22lr Standard Standard Room Velocity Perform air purging at least once a day and for at least two hours before. Flow velocity in air ducts should be kept within certain limits to avoid noise and unacceptable friction. The basis of clean room standards is the micrometer, or micron for short (µm), which is the size of the particles to be filtered. Indoor air quality should. Standard Room Velocity.
From exovennif.blob.core.windows.net
Clean Room Particle Spec at Julia Calderon blog Standard Room Velocity Onditioning & mechanical ventilation systems7.1.1. Purge indoor air before occupancy: The basis of clean room standards is the micrometer, or micron for short (µm), which is the size of the particles to be filtered. Indoor air quality should be closely monitored and maintained according to singapore standard ss554:2016 code of practice for indoor air. Flow velocity in air ducts should. Standard Room Velocity.
From gunmagwarehouse.com
CCI .22 LR Ammo Standard Velocity 40gr LRN 50Round Box Standard Room Velocity Recommended air velocities in hvac ducts. Onditioning & mechanical ventilation systems7.1.1. Indoor air quality should be closely monitored and maintained according to singapore standard ss554:2016 code of practice for indoor air. The basis of clean room standards is the micrometer, or micron for short (µm), which is the size of the particles to be filtered. Perform air purging at least. Standard Room Velocity.
From www.tec-science.com
Derivation of the MaxwellBoltzmann distribution function tecscience Standard Room Velocity Indoor air quality should be closely monitored and maintained according to singapore standard ss554:2016 code of practice for indoor air. Mechanical ventilation and smoke control systems. Onditioning & mechanical ventilation systems7.1.1. Perform air purging at least once a day and for at least two hours before. Flow velocity in air ducts should be kept within certain limits to avoid noise. Standard Room Velocity.
From www.scribd.com
Duct Design Air Velocity Standard Room Velocity As stated before, clean rooms are classified by how. Flow velocity in air ducts should be kept within certain limits to avoid noise and unacceptable friction. Mechanical ventilation and smoke control systems. The basis of clean room standards is the micrometer, or micron for short (µm), which is the size of the particles to be filtered. Indoor air quality should. Standard Room Velocity.
From www.stxaviersschooljaipur.com
Sale > duct velocity > in stock Standard Room Velocity Perform air purging at least once a day and for at least two hours before. Onditioning & mechanical ventilation systems7.1.1. Flow velocity in air ducts should be kept within certain limits to avoid noise and unacceptable friction. Purge indoor air before occupancy: As stated before, clean rooms are classified by how. Mechanical ventilation and smoke control systems. Recommended air velocities. Standard Room Velocity.
From velocitymotel.com.au
Velocity Motel Facilities Velocity Motel Standard Room Velocity Onditioning & mechanical ventilation systems7.1.1. As stated before, clean rooms are classified by how. Flow velocity in air ducts should be kept within certain limits to avoid noise and unacceptable friction. Mechanical ventilation and smoke control systems. The basis of clean room standards is the micrometer, or micron for short (µm), which is the size of the particles to be. Standard Room Velocity.
From pt.scribd.com
Ashrae 62 Table 6.1 Minimum Ventilation Rates Ventilation Standard Room Velocity Onditioning & mechanical ventilation systems7.1.1. Purge indoor air before occupancy: Indoor air quality should be closely monitored and maintained according to singapore standard ss554:2016 code of practice for indoor air. As stated before, clean rooms are classified by how. Recommended air velocities in hvac ducts. The basis of clean room standards is the micrometer, or micron for short (µm), which. Standard Room Velocity.
From cristor.dz
Contabil grâu plictiseală pressure conversion table chart Masaccio Standard Room Velocity As stated before, clean rooms are classified by how. Purge indoor air before occupancy: Perform air purging at least once a day and for at least two hours before. Indoor air quality should be closely monitored and maintained according to singapore standard ss554:2016 code of practice for indoor air. Onditioning & mechanical ventilation systems7.1.1. The basis of clean room standards. Standard Room Velocity.
From enggcyclopedia.com
Pumps vibrations limits as per international standards EnggCyclopedia Standard Room Velocity Recommended air velocities in hvac ducts. Mechanical ventilation and smoke control systems. As stated before, clean rooms are classified by how. The basis of clean room standards is the micrometer, or micron for short (µm), which is the size of the particles to be filtered. Onditioning & mechanical ventilation systems7.1.1. Purge indoor air before occupancy: Flow velocity in air ducts. Standard Room Velocity.
From www.researchgate.net
The velocity distribution inside the dormitory room Velocity vector Standard Room Velocity Onditioning & mechanical ventilation systems7.1.1. Perform air purging at least once a day and for at least two hours before. Recommended air velocities in hvac ducts. The basis of clean room standards is the micrometer, or micron for short (µm), which is the size of the particles to be filtered. Mechanical ventilation and smoke control systems. Purge indoor air before. Standard Room Velocity.
From velocitymotel.com.au
Velocity Karratha Conference Room Velocity Motel Standard Room Velocity Perform air purging at least once a day and for at least two hours before. The basis of clean room standards is the micrometer, or micron for short (µm), which is the size of the particles to be filtered. Recommended air velocities in hvac ducts. Indoor air quality should be closely monitored and maintained according to singapore standard ss554:2016 code. Standard Room Velocity.
From www.thehubaz.com
CZ SCORP 3+ 9MM 7.8" 20/5 The Hub AZ Standard Room Velocity Recommended air velocities in hvac ducts. Purge indoor air before occupancy: Indoor air quality should be closely monitored and maintained according to singapore standard ss554:2016 code of practice for indoor air. Mechanical ventilation and smoke control systems. Onditioning & mechanical ventilation systems7.1.1. Flow velocity in air ducts should be kept within certain limits to avoid noise and unacceptable friction. Perform. Standard Room Velocity.
From www.alamy.com
Velocity Cut Out Stock Images & Pictures Alamy Standard Room Velocity Onditioning & mechanical ventilation systems7.1.1. Purge indoor air before occupancy: Mechanical ventilation and smoke control systems. The basis of clean room standards is the micrometer, or micron for short (µm), which is the size of the particles to be filtered. Recommended air velocities in hvac ducts. Perform air purging at least once a day and for at least two hours. Standard Room Velocity.
From fyoeixsmp.blob.core.windows.net
Luxury Hotel Room Photos at Jose Bolivar blog Standard Room Velocity Indoor air quality should be closely monitored and maintained according to singapore standard ss554:2016 code of practice for indoor air. Flow velocity in air ducts should be kept within certain limits to avoid noise and unacceptable friction. Purge indoor air before occupancy: Onditioning & mechanical ventilation systems7.1.1. Recommended air velocities in hvac ducts. Mechanical ventilation and smoke control systems. As. Standard Room Velocity.
From freepoints.com.au
Bonus 30,000 Velocity points or 250 Status Credits or 200 Coles gift Standard Room Velocity As stated before, clean rooms are classified by how. Purge indoor air before occupancy: Perform air purging at least once a day and for at least two hours before. Flow velocity in air ducts should be kept within certain limits to avoid noise and unacceptable friction. Recommended air velocities in hvac ducts. Mechanical ventilation and smoke control systems. Indoor air. Standard Room Velocity.
From atlona.com
Velocity Room Support System Atlona® AV Solutions Commercial Standard Room Velocity Indoor air quality should be closely monitored and maintained according to singapore standard ss554:2016 code of practice for indoor air. Recommended air velocities in hvac ducts. As stated before, clean rooms are classified by how. Onditioning & mechanical ventilation systems7.1.1. The basis of clean room standards is the micrometer, or micron for short (µm), which is the size of the. Standard Room Velocity.
From velocitymotel.com.au
Velocity Motel Standard Room Velocity Onditioning & mechanical ventilation systems7.1.1. Mechanical ventilation and smoke control systems. Flow velocity in air ducts should be kept within certain limits to avoid noise and unacceptable friction. Perform air purging at least once a day and for at least two hours before. The basis of clean room standards is the micrometer, or micron for short (µm), which is the. Standard Room Velocity.