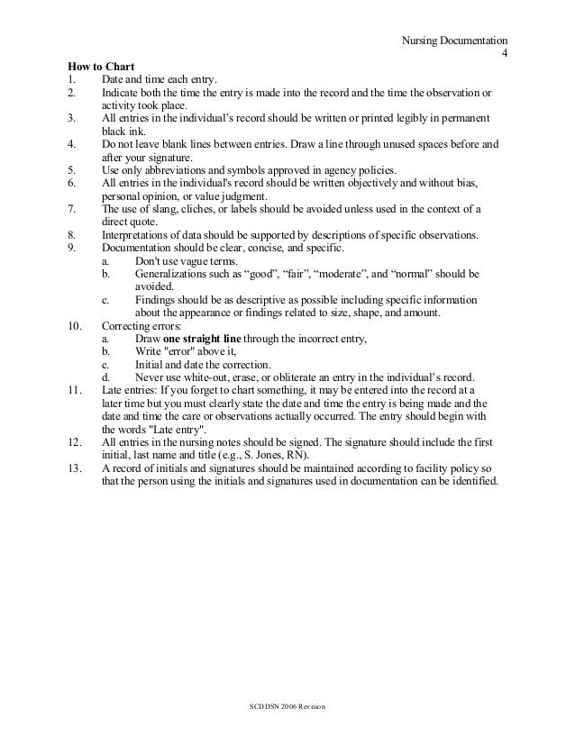
Late Entry Documentation Medical Record . Update for amendments, corrections and delayed entries in medical documentation i. Late entries, addendums, or corrections to a medical record are legitimate occurrences in documentation of clinical services. Amendments or delayed entries to paper records must be clearly signed and dated upon entry into the record. The following tips apply to late entries in the medical record: • identify the new entry as late entry. • enter the current date. A best practice should always be to take proactive approaches to obtain compliant medical records, but when noncompliant records are received, it is important to. When a pertinent entry was missed or not written in a timely manner, the author must meet the following requirements:
from slidetodoc.com
Late entries, addendums, or corrections to a medical record are legitimate occurrences in documentation of clinical services. Update for amendments, corrections and delayed entries in medical documentation i. The following tips apply to late entries in the medical record: A best practice should always be to take proactive approaches to obtain compliant medical records, but when noncompliant records are received, it is important to. When a pertinent entry was missed or not written in a timely manner, the author must meet the following requirements: Amendments or delayed entries to paper records must be clearly signed and dated upon entry into the record. • identify the new entry as late entry. • enter the current date.
Good Documentation Practices for NIMHSponsored Studies Clinical Research
Late Entry Documentation Medical Record A best practice should always be to take proactive approaches to obtain compliant medical records, but when noncompliant records are received, it is important to. Late entries, addendums, or corrections to a medical record are legitimate occurrences in documentation of clinical services. The following tips apply to late entries in the medical record: Amendments or delayed entries to paper records must be clearly signed and dated upon entry into the record. Update for amendments, corrections and delayed entries in medical documentation i. A best practice should always be to take proactive approaches to obtain compliant medical records, but when noncompliant records are received, it is important to. • identify the new entry as late entry. • enter the current date. When a pertinent entry was missed or not written in a timely manner, the author must meet the following requirements:
From www.terryfletcher.net
Terry Fletcher Consulting, Inc. Addendums, corrections and late Late Entry Documentation Medical Record The following tips apply to late entries in the medical record: Late entries, addendums, or corrections to a medical record are legitimate occurrences in documentation of clinical services. Amendments or delayed entries to paper records must be clearly signed and dated upon entry into the record. A best practice should always be to take proactive approaches to obtain compliant medical. Late Entry Documentation Medical Record.
From studylib.net
How to Enter Late Entries to Patient Documentation in StarPanel Late Entry Documentation Medical Record A best practice should always be to take proactive approaches to obtain compliant medical records, but when noncompliant records are received, it is important to. Late entries, addendums, or corrections to a medical record are legitimate occurrences in documentation of clinical services. The following tips apply to late entries in the medical record: Amendments or delayed entries to paper records. Late Entry Documentation Medical Record.
From nursekey.com
Documentation forms fully and concisely Nurse Key Late Entry Documentation Medical Record Amendments or delayed entries to paper records must be clearly signed and dated upon entry into the record. Update for amendments, corrections and delayed entries in medical documentation i. A best practice should always be to take proactive approaches to obtain compliant medical records, but when noncompliant records are received, it is important to. When a pertinent entry was missed. Late Entry Documentation Medical Record.
From www.terryfletcher.net
Terry Fletcher Consulting, Inc. Addendums, Late Entries, and Medical Late Entry Documentation Medical Record Update for amendments, corrections and delayed entries in medical documentation i. The following tips apply to late entries in the medical record: Amendments or delayed entries to paper records must be clearly signed and dated upon entry into the record. When a pertinent entry was missed or not written in a timely manner, the author must meet the following requirements:. Late Entry Documentation Medical Record.
From www.wordtemplatesonline.net
How to Write Nursing Notes (20+ Nursing Note Examples) Late Entry Documentation Medical Record Update for amendments, corrections and delayed entries in medical documentation i. When a pertinent entry was missed or not written in a timely manner, the author must meet the following requirements: Amendments or delayed entries to paper records must be clearly signed and dated upon entry into the record. A best practice should always be to take proactive approaches to. Late Entry Documentation Medical Record.
From www.youtube.com
Cerner Medication Administration Record (MAR) Demo YouTube Late Entry Documentation Medical Record Update for amendments, corrections and delayed entries in medical documentation i. The following tips apply to late entries in the medical record: • identify the new entry as late entry. • enter the current date. When a pertinent entry was missed or not written in a timely manner, the author must meet the following requirements: Amendments or delayed entries to. Late Entry Documentation Medical Record.
From www.slideserve.com
PPT Observation, Documentation, and Reporting to the RN PowerPoint Late Entry Documentation Medical Record Late entries, addendums, or corrections to a medical record are legitimate occurrences in documentation of clinical services. Amendments or delayed entries to paper records must be clearly signed and dated upon entry into the record. Update for amendments, corrections and delayed entries in medical documentation i. A best practice should always be to take proactive approaches to obtain compliant medical. Late Entry Documentation Medical Record.
From www.slideshare.net
Nursing documentation(1) Late Entry Documentation Medical Record Late entries, addendums, or corrections to a medical record are legitimate occurrences in documentation of clinical services. Update for amendments, corrections and delayed entries in medical documentation i. A best practice should always be to take proactive approaches to obtain compliant medical records, but when noncompliant records are received, it is important to. The following tips apply to late entries. Late Entry Documentation Medical Record.
From studylistbaecker.z1.web.core.windows.net
Epic Charting System Brain Late Entry Documentation Medical Record When a pertinent entry was missed or not written in a timely manner, the author must meet the following requirements: • identify the new entry as late entry. • enter the current date. A best practice should always be to take proactive approaches to obtain compliant medical records, but when noncompliant records are received, it is important to. Late entries,. Late Entry Documentation Medical Record.
From aplmed.com
4. Documenting Medications (MAR). Aplmed Academy Late Entry Documentation Medical Record Late entries, addendums, or corrections to a medical record are legitimate occurrences in documentation of clinical services. • identify the new entry as late entry. • enter the current date. The following tips apply to late entries in the medical record: Update for amendments, corrections and delayed entries in medical documentation i. A best practice should always be to take. Late Entry Documentation Medical Record.
From brooksidepress.org
6.1 What are some of the forms on which vital signs are recorded Late Entry Documentation Medical Record Update for amendments, corrections and delayed entries in medical documentation i. A best practice should always be to take proactive approaches to obtain compliant medical records, but when noncompliant records are received, it is important to. • identify the new entry as late entry. • enter the current date. Amendments or delayed entries to paper records must be clearly signed. Late Entry Documentation Medical Record.
From www.slideshare.net
Nursing Documentation Do Your Medical Records Support Skilled Care? Late Entry Documentation Medical Record Late entries, addendums, or corrections to a medical record are legitimate occurrences in documentation of clinical services. A best practice should always be to take proactive approaches to obtain compliant medical records, but when noncompliant records are received, it is important to. When a pertinent entry was missed or not written in a timely manner, the author must meet the. Late Entry Documentation Medical Record.
From www.slideserve.com
PPT Observation, Documentation, and Reporting to the RN PowerPoint Late Entry Documentation Medical Record The following tips apply to late entries in the medical record: Amendments or delayed entries to paper records must be clearly signed and dated upon entry into the record. Late entries, addendums, or corrections to a medical record are legitimate occurrences in documentation of clinical services. Update for amendments, corrections and delayed entries in medical documentation i. • identify the. Late Entry Documentation Medical Record.
From nursekey.com
Documentation forms fully and concisely Nurse Key Late Entry Documentation Medical Record Late entries, addendums, or corrections to a medical record are legitimate occurrences in documentation of clinical services. A best practice should always be to take proactive approaches to obtain compliant medical records, but when noncompliant records are received, it is important to. Update for amendments, corrections and delayed entries in medical documentation i. • identify the new entry as late. Late Entry Documentation Medical Record.
From studylib.net
Medical Records and Documentation Late Entry Documentation Medical Record • identify the new entry as late entry. • enter the current date. Amendments or delayed entries to paper records must be clearly signed and dated upon entry into the record. A best practice should always be to take proactive approaches to obtain compliant medical records, but when noncompliant records are received, it is important to. The following tips apply. Late Entry Documentation Medical Record.
From americanmedical.com
Electronic Medical Records Software American Medical Software Late Entry Documentation Medical Record • identify the new entry as late entry. • enter the current date. Update for amendments, corrections and delayed entries in medical documentation i. The following tips apply to late entries in the medical record: Amendments or delayed entries to paper records must be clearly signed and dated upon entry into the record. When a pertinent entry was missed or. Late Entry Documentation Medical Record.
From www.slideshare.net
Medical Records Late Entry Documentation Medical Record When a pertinent entry was missed or not written in a timely manner, the author must meet the following requirements: Update for amendments, corrections and delayed entries in medical documentation i. A best practice should always be to take proactive approaches to obtain compliant medical records, but when noncompliant records are received, it is important to. Late entries, addendums, or. Late Entry Documentation Medical Record.
From armymedical.tpub.com
Figure 116. SF 510, Nursing Notes, showing an admitting entry Late Entry Documentation Medical Record The following tips apply to late entries in the medical record: Amendments or delayed entries to paper records must be clearly signed and dated upon entry into the record. Late entries, addendums, or corrections to a medical record are legitimate occurrences in documentation of clinical services. Update for amendments, corrections and delayed entries in medical documentation i. When a pertinent. Late Entry Documentation Medical Record.
From www.slideserve.com
PPT FOCUS CHARTING PowerPoint Presentation, free download ID185481 Late Entry Documentation Medical Record The following tips apply to late entries in the medical record: • identify the new entry as late entry. • enter the current date. Update for amendments, corrections and delayed entries in medical documentation i. When a pertinent entry was missed or not written in a timely manner, the author must meet the following requirements: Amendments or delayed entries to. Late Entry Documentation Medical Record.
From www.template.net
9+ Medical Chart Template Free Word, Excel, PDF Format Download! Late Entry Documentation Medical Record Update for amendments, corrections and delayed entries in medical documentation i. When a pertinent entry was missed or not written in a timely manner, the author must meet the following requirements: Amendments or delayed entries to paper records must be clearly signed and dated upon entry into the record. Late entries, addendums, or corrections to a medical record are legitimate. Late Entry Documentation Medical Record.
From www.pinterest.com
Nurse Notes Template New Professional Template Nursing notes, Notes Late Entry Documentation Medical Record Update for amendments, corrections and delayed entries in medical documentation i. When a pertinent entry was missed or not written in a timely manner, the author must meet the following requirements: The following tips apply to late entries in the medical record: A best practice should always be to take proactive approaches to obtain compliant medical records, but when noncompliant. Late Entry Documentation Medical Record.
From quizzmediasophie.z13.web.core.windows.net
The E Entry In The Soaper Charting Method Means Late Entry Documentation Medical Record Amendments or delayed entries to paper records must be clearly signed and dated upon entry into the record. The following tips apply to late entries in the medical record: Late entries, addendums, or corrections to a medical record are legitimate occurrences in documentation of clinical services. • identify the new entry as late entry. • enter the current date. A. Late Entry Documentation Medical Record.
From www.slideserve.com
PPT Documentation and the Medical Record PowerPoint Presentation Late Entry Documentation Medical Record A best practice should always be to take proactive approaches to obtain compliant medical records, but when noncompliant records are received, it is important to. • identify the new entry as late entry. • enter the current date. The following tips apply to late entries in the medical record: Update for amendments, corrections and delayed entries in medical documentation i.. Late Entry Documentation Medical Record.
From www.slideshare.net
Good Documentation Practice Late Entry Documentation Medical Record • identify the new entry as late entry. • enter the current date. When a pertinent entry was missed or not written in a timely manner, the author must meet the following requirements: The following tips apply to late entries in the medical record: Update for amendments, corrections and delayed entries in medical documentation i. A best practice should always. Late Entry Documentation Medical Record.
From www.slideserve.com
PPT The Importance of Documentation The Medical and Legal Issues Late Entry Documentation Medical Record • identify the new entry as late entry. • enter the current date. When a pertinent entry was missed or not written in a timely manner, the author must meet the following requirements: A best practice should always be to take proactive approaches to obtain compliant medical records, but when noncompliant records are received, it is important to. The following. Late Entry Documentation Medical Record.
From slideplayer.com
Chapter 13 Managing Medical Records ppt download Late Entry Documentation Medical Record Update for amendments, corrections and delayed entries in medical documentation i. Amendments or delayed entries to paper records must be clearly signed and dated upon entry into the record. When a pertinent entry was missed or not written in a timely manner, the author must meet the following requirements: The following tips apply to late entries in the medical record:. Late Entry Documentation Medical Record.
From www.slideserve.com
PPT MEDICAL RECORD DOCUMENTATION PowerPoint Presentation ID4054050 Late Entry Documentation Medical Record Update for amendments, corrections and delayed entries in medical documentation i. When a pertinent entry was missed or not written in a timely manner, the author must meet the following requirements: The following tips apply to late entries in the medical record: A best practice should always be to take proactive approaches to obtain compliant medical records, but when noncompliant. Late Entry Documentation Medical Record.
From www.wisegeek.com
What is a Medical Records Request Form? (with pictures) Late Entry Documentation Medical Record When a pertinent entry was missed or not written in a timely manner, the author must meet the following requirements: Late entries, addendums, or corrections to a medical record are legitimate occurrences in documentation of clinical services. Amendments or delayed entries to paper records must be clearly signed and dated upon entry into the record. Update for amendments, corrections and. Late Entry Documentation Medical Record.
From www.youtube.com
What is the purpose of accurate record keeping in nursing?, Nursing Late Entry Documentation Medical Record The following tips apply to late entries in the medical record: A best practice should always be to take proactive approaches to obtain compliant medical records, but when noncompliant records are received, it is important to. When a pertinent entry was missed or not written in a timely manner, the author must meet the following requirements: • identify the new. Late Entry Documentation Medical Record.
From blog.wcei.net
Determining Liability Documentation in Wound Care WCEI Late Entry Documentation Medical Record Amendments or delayed entries to paper records must be clearly signed and dated upon entry into the record. The following tips apply to late entries in the medical record: A best practice should always be to take proactive approaches to obtain compliant medical records, but when noncompliant records are received, it is important to. Late entries, addendums, or corrections to. Late Entry Documentation Medical Record.
From es.slideshare.net
Documentation Late Entry Documentation Medical Record • identify the new entry as late entry. • enter the current date. Amendments or delayed entries to paper records must be clearly signed and dated upon entry into the record. A best practice should always be to take proactive approaches to obtain compliant medical records, but when noncompliant records are received, it is important to. Update for amendments, corrections. Late Entry Documentation Medical Record.
From www.slideshare.net
Nursing documentation(1) Late Entry Documentation Medical Record Late entries, addendums, or corrections to a medical record are legitimate occurrences in documentation of clinical services. Amendments or delayed entries to paper records must be clearly signed and dated upon entry into the record. A best practice should always be to take proactive approaches to obtain compliant medical records, but when noncompliant records are received, it is important to.. Late Entry Documentation Medical Record.
From geekymedics.com
Writing in the Notes an overview Geeky Medics Late Entry Documentation Medical Record A best practice should always be to take proactive approaches to obtain compliant medical records, but when noncompliant records are received, it is important to. • identify the new entry as late entry. • enter the current date. Amendments or delayed entries to paper records must be clearly signed and dated upon entry into the record. When a pertinent entry. Late Entry Documentation Medical Record.
From clinton14burns.blogspot.com
Problemoriented Medical Record What Is It Late Entry Documentation Medical Record Update for amendments, corrections and delayed entries in medical documentation i. The following tips apply to late entries in the medical record: Amendments or delayed entries to paper records must be clearly signed and dated upon entry into the record. When a pertinent entry was missed or not written in a timely manner, the author must meet the following requirements:. Late Entry Documentation Medical Record.
From slidetodoc.com
Good Documentation Practices for NIMHSponsored Studies Clinical Research Late Entry Documentation Medical Record When a pertinent entry was missed or not written in a timely manner, the author must meet the following requirements: A best practice should always be to take proactive approaches to obtain compliant medical records, but when noncompliant records are received, it is important to. Update for amendments, corrections and delayed entries in medical documentation i. • identify the new. Late Entry Documentation Medical Record.