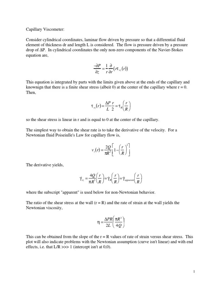
Capillary Viscometer Pdf . In the present work, a general, simple and practical method is proposed for correcting for the effects of pressure variation and viscous dissipation in determining the viscosity of. Consider cylindrical coordinates, laminar flow driven by pressure so that a differential fluid element of thickness dr and. Select a capillary viscometer of appropriate size according to the assumed viscosity of the measured sample to obtain a minimum flow time of 200 s. The following procedures are used to. This method of measurement, measures the time taken for a defined quantity of fluid to flow through a capillary with a known diam. The purpose of this paper is to understand how a capillary viscometer is able to measure the viscosity of a fluid, which equals time required to.
from www.scribd.com
In the present work, a general, simple and practical method is proposed for correcting for the effects of pressure variation and viscous dissipation in determining the viscosity of. The purpose of this paper is to understand how a capillary viscometer is able to measure the viscosity of a fluid, which equals time required to. Select a capillary viscometer of appropriate size according to the assumed viscosity of the measured sample to obtain a minimum flow time of 200 s. The following procedures are used to. This method of measurement, measures the time taken for a defined quantity of fluid to flow through a capillary with a known diam. Consider cylindrical coordinates, laminar flow driven by pressure so that a differential fluid element of thickness dr and.
Capillary PDF Shear Stress Viscosity
Capillary Viscometer Pdf This method of measurement, measures the time taken for a defined quantity of fluid to flow through a capillary with a known diam. This method of measurement, measures the time taken for a defined quantity of fluid to flow through a capillary with a known diam. The purpose of this paper is to understand how a capillary viscometer is able to measure the viscosity of a fluid, which equals time required to. The following procedures are used to. Consider cylindrical coordinates, laminar flow driven by pressure so that a differential fluid element of thickness dr and. Select a capillary viscometer of appropriate size according to the assumed viscosity of the measured sample to obtain a minimum flow time of 200 s. In the present work, a general, simple and practical method is proposed for correcting for the effects of pressure variation and viscous dissipation in determining the viscosity of.
From dokumen.tips
(PDF) For the measurement of kinematic viscosity€¦ · Glass Capillary Viscometer Pdf This method of measurement, measures the time taken for a defined quantity of fluid to flow through a capillary with a known diam. Select a capillary viscometer of appropriate size according to the assumed viscosity of the measured sample to obtain a minimum flow time of 200 s. The following procedures are used to. In the present work, a general,. Capillary Viscometer Pdf.
From www.electricalvolt.com
What is Types, Purpose, Advantages & applications Capillary Viscometer Pdf The following procedures are used to. Consider cylindrical coordinates, laminar flow driven by pressure so that a differential fluid element of thickness dr and. The purpose of this paper is to understand how a capillary viscometer is able to measure the viscosity of a fluid, which equals time required to. Select a capillary viscometer of appropriate size according to the. Capillary Viscometer Pdf.
From www.researchgate.net
Ubbelohde capillary Download Scientific Diagram Capillary Viscometer Pdf Consider cylindrical coordinates, laminar flow driven by pressure so that a differential fluid element of thickness dr and. The purpose of this paper is to understand how a capillary viscometer is able to measure the viscosity of a fluid, which equals time required to. In the present work, a general, simple and practical method is proposed for correcting for the. Capillary Viscometer Pdf.
From dokumen.tips
(PDF) A Detailed Analysis of Capillary Capillary Viscometer Pdf Select a capillary viscometer of appropriate size according to the assumed viscosity of the measured sample to obtain a minimum flow time of 200 s. This method of measurement, measures the time taken for a defined quantity of fluid to flow through a capillary with a known diam. The following procedures are used to. In the present work, a general,. Capillary Viscometer Pdf.
From www.lazada.com.my
Capillary Ubbelohde for Petroleum Viscosity Capillary Viscometer Pdf This method of measurement, measures the time taken for a defined quantity of fluid to flow through a capillary with a known diam. Consider cylindrical coordinates, laminar flow driven by pressure so that a differential fluid element of thickness dr and. The following procedures are used to. Select a capillary viscometer of appropriate size according to the assumed viscosity of. Capillary Viscometer Pdf.
From dokumen.tips
(PDF) Viscosity of pulp (capillary method) (Revision Capillary Viscometer Pdf The purpose of this paper is to understand how a capillary viscometer is able to measure the viscosity of a fluid, which equals time required to. This method of measurement, measures the time taken for a defined quantity of fluid to flow through a capillary with a known diam. Consider cylindrical coordinates, laminar flow driven by pressure so that a. Capillary Viscometer Pdf.
From pdfslide.net
(PDF) 2.2.9. CAPILLARY METHOD Pharmacopeia …. 9. capillary Capillary Viscometer Pdf The following procedures are used to. The purpose of this paper is to understand how a capillary viscometer is able to measure the viscosity of a fluid, which equals time required to. This method of measurement, measures the time taken for a defined quantity of fluid to flow through a capillary with a known diam. In the present work, a. Capillary Viscometer Pdf.
From inspectiontestplus.com
1835 Ubbelohde Glass Capillary Viscosity Meter (1.21.3mm Capillary Viscometer Pdf Select a capillary viscometer of appropriate size according to the assumed viscosity of the measured sample to obtain a minimum flow time of 200 s. The purpose of this paper is to understand how a capillary viscometer is able to measure the viscosity of a fluid, which equals time required to. Consider cylindrical coordinates, laminar flow driven by pressure so. Capillary Viscometer Pdf.
From jcp.bmj.com
A Simple Capillary Journal of Clinical Pathology Capillary Viscometer Pdf Consider cylindrical coordinates, laminar flow driven by pressure so that a differential fluid element of thickness dr and. This method of measurement, measures the time taken for a defined quantity of fluid to flow through a capillary with a known diam. Select a capillary viscometer of appropriate size according to the assumed viscosity of the measured sample to obtain a. Capillary Viscometer Pdf.
From www.scribd.com
2.2.9. Capillary Method PDF Viscosity Liquids Capillary Viscometer Pdf Select a capillary viscometer of appropriate size according to the assumed viscosity of the measured sample to obtain a minimum flow time of 200 s. The following procedures are used to. Consider cylindrical coordinates, laminar flow driven by pressure so that a differential fluid element of thickness dr and. In the present work, a general, simple and practical method is. Capillary Viscometer Pdf.
From dokumen.tips
(PDF) Precision capillary DOKUMEN.TIPS Capillary Viscometer Pdf Consider cylindrical coordinates, laminar flow driven by pressure so that a differential fluid element of thickness dr and. In the present work, a general, simple and practical method is proposed for correcting for the effects of pressure variation and viscous dissipation in determining the viscosity of. This method of measurement, measures the time taken for a defined quantity of fluid. Capillary Viscometer Pdf.
From www.scribd.com
A Capillary For Characterization of Fluid Foods PDF Capillary Viscometer Pdf The purpose of this paper is to understand how a capillary viscometer is able to measure the viscosity of a fluid, which equals time required to. This method of measurement, measures the time taken for a defined quantity of fluid to flow through a capillary with a known diam. Select a capillary viscometer of appropriate size according to the assumed. Capillary Viscometer Pdf.
From www.nexus-analytics.com.my
Capillary Nexus Analytics Capillary Viscometer Pdf Select a capillary viscometer of appropriate size according to the assumed viscosity of the measured sample to obtain a minimum flow time of 200 s. Consider cylindrical coordinates, laminar flow driven by pressure so that a differential fluid element of thickness dr and. The purpose of this paper is to understand how a capillary viscometer is able to measure the. Capillary Viscometer Pdf.
From ritmindustry.com
Capillary / laboratory / inline RITM Industry Capillary Viscometer Pdf The purpose of this paper is to understand how a capillary viscometer is able to measure the viscosity of a fluid, which equals time required to. This method of measurement, measures the time taken for a defined quantity of fluid to flow through a capillary with a known diam. Consider cylindrical coordinates, laminar flow driven by pressure so that a. Capillary Viscometer Pdf.
From chemistnotes.com
Determination of Viscosity by Ostwald's Easy Explanation Capillary Viscometer Pdf The purpose of this paper is to understand how a capillary viscometer is able to measure the viscosity of a fluid, which equals time required to. In the present work, a general, simple and practical method is proposed for correcting for the effects of pressure variation and viscous dissipation in determining the viscosity of. Consider cylindrical coordinates, laminar flow driven. Capillary Viscometer Pdf.
From dokumen.tips
(PDF) A simple capillary based on the ideal gas law Capillary Viscometer Pdf The following procedures are used to. This method of measurement, measures the time taken for a defined quantity of fluid to flow through a capillary with a known diam. The purpose of this paper is to understand how a capillary viscometer is able to measure the viscosity of a fluid, which equals time required to. In the present work, a. Capillary Viscometer Pdf.
From www.researchgate.net
(PDF) Capillary with a pressure sensor A subject for Capillary Viscometer Pdf The following procedures are used to. Consider cylindrical coordinates, laminar flow driven by pressure so that a differential fluid element of thickness dr and. In the present work, a general, simple and practical method is proposed for correcting for the effects of pressure variation and viscous dissipation in determining the viscosity of. Select a capillary viscometer of appropriate size according. Capillary Viscometer Pdf.
From dokumen.tips
(PDF) Method for Determining the Time of Flow in a Capillary Capillary Viscometer Pdf This method of measurement, measures the time taken for a defined quantity of fluid to flow through a capillary with a known diam. In the present work, a general, simple and practical method is proposed for correcting for the effects of pressure variation and viscous dissipation in determining the viscosity of. Consider cylindrical coordinates, laminar flow driven by pressure so. Capillary Viscometer Pdf.
From dxoqnvsmb.blob.core.windows.net
Ubbelohde Manual at Cindy Mancuso blog Capillary Viscometer Pdf This method of measurement, measures the time taken for a defined quantity of fluid to flow through a capillary with a known diam. Consider cylindrical coordinates, laminar flow driven by pressure so that a differential fluid element of thickness dr and. The following procedures are used to. Select a capillary viscometer of appropriate size according to the assumed viscosity of. Capillary Viscometer Pdf.
From dokumen.tips
(PDF) Rheometry2for printdrhojjat.iauq.ac.ir/assets/subdomains Capillary Viscometer Pdf Consider cylindrical coordinates, laminar flow driven by pressure so that a differential fluid element of thickness dr and. The purpose of this paper is to understand how a capillary viscometer is able to measure the viscosity of a fluid, which equals time required to. In the present work, a general, simple and practical method is proposed for correcting for the. Capillary Viscometer Pdf.
From www.semanticscholar.org
Figure 3 from Capillary for fully automated measurement of Capillary Viscometer Pdf Consider cylindrical coordinates, laminar flow driven by pressure so that a differential fluid element of thickness dr and. The purpose of this paper is to understand how a capillary viscometer is able to measure the viscosity of a fluid, which equals time required to. This method of measurement, measures the time taken for a defined quantity of fluid to flow. Capillary Viscometer Pdf.
From dokumen.tips
(PDF) • Capillary compliant with DIN 51562, ASTM D445 Capillary Viscometer Pdf The following procedures are used to. Select a capillary viscometer of appropriate size according to the assumed viscosity of the measured sample to obtain a minimum flow time of 200 s. This method of measurement, measures the time taken for a defined quantity of fluid to flow through a capillary with a known diam. Consider cylindrical coordinates, laminar flow driven. Capillary Viscometer Pdf.
From dokumen.tips
(PDF) CapillaryTube DOKUMEN.TIPS Capillary Viscometer Pdf The purpose of this paper is to understand how a capillary viscometer is able to measure the viscosity of a fluid, which equals time required to. The following procedures are used to. Select a capillary viscometer of appropriate size according to the assumed viscosity of the measured sample to obtain a minimum flow time of 200 s. In the present. Capillary Viscometer Pdf.
From www.semanticscholar.org
Figure 2 from Capillary for fully automated measurement of Capillary Viscometer Pdf In the present work, a general, simple and practical method is proposed for correcting for the effects of pressure variation and viscous dissipation in determining the viscosity of. The purpose of this paper is to understand how a capillary viscometer is able to measure the viscosity of a fluid, which equals time required to. This method of measurement, measures the. Capillary Viscometer Pdf.
From www.researchgate.net
(PDF) A Capillary based Capillary Viscometer Pdf The purpose of this paper is to understand how a capillary viscometer is able to measure the viscosity of a fluid, which equals time required to. This method of measurement, measures the time taken for a defined quantity of fluid to flow through a capillary with a known diam. In the present work, a general, simple and practical method is. Capillary Viscometer Pdf.
From dokumen.tips
(PDF) Viscosity Kinematic Capillary StanhopeSeta · 835420 Capillary Viscometer Pdf In the present work, a general, simple and practical method is proposed for correcting for the effects of pressure variation and viscous dissipation in determining the viscosity of. This method of measurement, measures the time taken for a defined quantity of fluid to flow through a capillary with a known diam. The following procedures are used to. The purpose of. Capillary Viscometer Pdf.
From www.scribd.com
Capillary PDF Shear Stress Viscosity Capillary Viscometer Pdf Consider cylindrical coordinates, laminar flow driven by pressure so that a differential fluid element of thickness dr and. In the present work, a general, simple and practical method is proposed for correcting for the effects of pressure variation and viscous dissipation in determining the viscosity of. The following procedures are used to. This method of measurement, measures the time taken. Capillary Viscometer Pdf.
From dokumen.tips
(PDF) Weightcontrolled capillary DOKUMEN.TIPS Capillary Viscometer Pdf This method of measurement, measures the time taken for a defined quantity of fluid to flow through a capillary with a known diam. Select a capillary viscometer of appropriate size according to the assumed viscosity of the measured sample to obtain a minimum flow time of 200 s. In the present work, a general, simple and practical method is proposed. Capillary Viscometer Pdf.
From instrumentationtools.com
What is a Types, Applications, Advantages Capillary Viscometer Pdf Select a capillary viscometer of appropriate size according to the assumed viscosity of the measured sample to obtain a minimum flow time of 200 s. In the present work, a general, simple and practical method is proposed for correcting for the effects of pressure variation and viscous dissipation in determining the viscosity of. This method of measurement, measures the time. Capillary Viscometer Pdf.
From www.researchgate.net
(PDF) A simple capillary based on the ideal gas law Capillary Viscometer Pdf In the present work, a general, simple and practical method is proposed for correcting for the effects of pressure variation and viscous dissipation in determining the viscosity of. The purpose of this paper is to understand how a capillary viscometer is able to measure the viscosity of a fluid, which equals time required to. Consider cylindrical coordinates, laminar flow driven. Capillary Viscometer Pdf.
From process-technology-online.com
Fully automatic capillary Capillary Viscometer Pdf This method of measurement, measures the time taken for a defined quantity of fluid to flow through a capillary with a known diam. Select a capillary viscometer of appropriate size according to the assumed viscosity of the measured sample to obtain a minimum flow time of 200 s. In the present work, a general, simple and practical method is proposed. Capillary Viscometer Pdf.
From pubs.rsc.org
A simple capillary based on the ideal gas law RSC Advances Capillary Viscometer Pdf The following procedures are used to. In the present work, a general, simple and practical method is proposed for correcting for the effects of pressure variation and viscous dissipation in determining the viscosity of. This method of measurement, measures the time taken for a defined quantity of fluid to flow through a capillary with a known diam. Consider cylindrical coordinates,. Capillary Viscometer Pdf.
From www.directindustry.com
Capillary VS9613 Weshine Electric Manufacturer CO Ltd Capillary Viscometer Pdf The following procedures are used to. The purpose of this paper is to understand how a capillary viscometer is able to measure the viscosity of a fluid, which equals time required to. This method of measurement, measures the time taken for a defined quantity of fluid to flow through a capillary with a known diam. In the present work, a. Capillary Viscometer Pdf.
From www.researchgate.net
(PDF) Precision capillary Capillary Viscometer Pdf Select a capillary viscometer of appropriate size according to the assumed viscosity of the measured sample to obtain a minimum flow time of 200 s. Consider cylindrical coordinates, laminar flow driven by pressure so that a differential fluid element of thickness dr and. In the present work, a general, simple and practical method is proposed for correcting for the effects. Capillary Viscometer Pdf.
From www.pinterest.co.uk
Capillary in physical pharmaceutics Capillary Viscometer Pdf The following procedures are used to. This method of measurement, measures the time taken for a defined quantity of fluid to flow through a capillary with a known diam. Select a capillary viscometer of appropriate size according to the assumed viscosity of the measured sample to obtain a minimum flow time of 200 s. In the present work, a general,. Capillary Viscometer Pdf.