Industrial Revolution Questions Multiple Choice . Before the industrial revolution making cloth was done. During the industrial revolution of the late 19th century, farmers in the united states worked to increase their land holdings and modernize. Explore quizzes and practice tests. Britan sold a lot of its industrial. Increased purchases of land by wealthy landowners to cultivate larger fields. Quiz yourself with questions and answers for industrial revolution quiz, so you can be ready for test day. Take this quiz and learn about industrial revolution, system of production and machine. What was the industrial revolution? Explore the key factors that fueled europe's transformation, including small populations, the revolutionary steam.
from www.pinterest.co.uk
Britan sold a lot of its industrial. What was the industrial revolution? Quiz yourself with questions and answers for industrial revolution quiz, so you can be ready for test day. Take this quiz and learn about industrial revolution, system of production and machine. During the industrial revolution of the late 19th century, farmers in the united states worked to increase their land holdings and modernize. Explore quizzes and practice tests. Increased purchases of land by wealthy landowners to cultivate larger fields. Explore the key factors that fueled europe's transformation, including small populations, the revolutionary steam. Before the industrial revolution making cloth was done.
AMERICAN INDUSTRIAL REVOLUTION SUMMARY & QUESTIONS Close Read
Industrial Revolution Questions Multiple Choice Britan sold a lot of its industrial. Before the industrial revolution making cloth was done. Britan sold a lot of its industrial. Explore quizzes and practice tests. Explore the key factors that fueled europe's transformation, including small populations, the revolutionary steam. During the industrial revolution of the late 19th century, farmers in the united states worked to increase their land holdings and modernize. What was the industrial revolution? Take this quiz and learn about industrial revolution, system of production and machine. Quiz yourself with questions and answers for industrial revolution quiz, so you can be ready for test day. Increased purchases of land by wealthy landowners to cultivate larger fields.
From www.pinterest.co.uk
AMERICAN INDUSTRIAL REVOLUTION SUMMARY & QUESTIONS Close Read Industrial Revolution Questions Multiple Choice Quiz yourself with questions and answers for industrial revolution quiz, so you can be ready for test day. Take this quiz and learn about industrial revolution, system of production and machine. Before the industrial revolution making cloth was done. Increased purchases of land by wealthy landowners to cultivate larger fields. Explore quizzes and practice tests. During the industrial revolution of. Industrial Revolution Questions Multiple Choice.
From ieltsmaterial.com
Tea and the Industrial Revolution IELTS Reading Answer Industrial Revolution Questions Multiple Choice Quiz yourself with questions and answers for industrial revolution quiz, so you can be ready for test day. Before the industrial revolution making cloth was done. Britan sold a lot of its industrial. Explore the key factors that fueled europe's transformation, including small populations, the revolutionary steam. What was the industrial revolution? Explore quizzes and practice tests. Increased purchases of. Industrial Revolution Questions Multiple Choice.
From www.sporcle.com
The Industrial Revolution Multiple Choice Quiz By MrSmithOlympia Industrial Revolution Questions Multiple Choice What was the industrial revolution? Explore quizzes and practice tests. Before the industrial revolution making cloth was done. Quiz yourself with questions and answers for industrial revolution quiz, so you can be ready for test day. Increased purchases of land by wealthy landowners to cultivate larger fields. Explore the key factors that fueled europe's transformation, including small populations, the revolutionary. Industrial Revolution Questions Multiple Choice.
From www.studocu.com
The Industrial Revolution exam for Year 9 and 10 students The Industrial Revolution Questions Multiple Choice Britan sold a lot of its industrial. Explore quizzes and practice tests. Take this quiz and learn about industrial revolution, system of production and machine. Before the industrial revolution making cloth was done. Explore the key factors that fueled europe's transformation, including small populations, the revolutionary steam. During the industrial revolution of the late 19th century, farmers in the united. Industrial Revolution Questions Multiple Choice.
From www.studenthandouts.com
Industrial Revolution Study Game Cards Student Handouts Industrial Revolution Questions Multiple Choice Take this quiz and learn about industrial revolution, system of production and machine. Britan sold a lot of its industrial. Increased purchases of land by wealthy landowners to cultivate larger fields. What was the industrial revolution? During the industrial revolution of the late 19th century, farmers in the united states worked to increase their land holdings and modernize. Explore quizzes. Industrial Revolution Questions Multiple Choice.
From www.home-tution.com
Important Questions For Class 11 History Chapter9 The Industrial Industrial Revolution Questions Multiple Choice Britan sold a lot of its industrial. Take this quiz and learn about industrial revolution, system of production and machine. Increased purchases of land by wealthy landowners to cultivate larger fields. What was the industrial revolution? Before the industrial revolution making cloth was done. During the industrial revolution of the late 19th century, farmers in the united states worked to. Industrial Revolution Questions Multiple Choice.
From www.studypool.com
SOLUTION The industrial revolution important questions and answers Industrial Revolution Questions Multiple Choice Before the industrial revolution making cloth was done. Explore the key factors that fueled europe's transformation, including small populations, the revolutionary steam. What was the industrial revolution? Explore quizzes and practice tests. During the industrial revolution of the late 19th century, farmers in the united states worked to increase their land holdings and modernize. Take this quiz and learn about. Industrial Revolution Questions Multiple Choice.
From www.youtube.com
Class 11 History chapter 9 important questions class 11 The Industrial Revolution Questions Multiple Choice What was the industrial revolution? During the industrial revolution of the late 19th century, farmers in the united states worked to increase their land holdings and modernize. Britan sold a lot of its industrial. Quiz yourself with questions and answers for industrial revolution quiz, so you can be ready for test day. Explore quizzes and practice tests. Increased purchases of. Industrial Revolution Questions Multiple Choice.
From app.formative.com
Industrial Revolution Quiz Tony Trevino Library Formative Industrial Revolution Questions Multiple Choice Explore quizzes and practice tests. Before the industrial revolution making cloth was done. Explore the key factors that fueled europe's transformation, including small populations, the revolutionary steam. Britan sold a lot of its industrial. What was the industrial revolution? During the industrial revolution of the late 19th century, farmers in the united states worked to increase their land holdings and. Industrial Revolution Questions Multiple Choice.
From mrklaff.com
Naionalism and Industrial Revolution Multiple Choice AP World History Industrial Revolution Questions Multiple Choice Before the industrial revolution making cloth was done. During the industrial revolution of the late 19th century, farmers in the united states worked to increase their land holdings and modernize. Take this quiz and learn about industrial revolution, system of production and machine. Explore the key factors that fueled europe's transformation, including small populations, the revolutionary steam. What was the. Industrial Revolution Questions Multiple Choice.
From quizizz.com
50+ the industrial revolution worksheets for 10th Class on Quizizz Industrial Revolution Questions Multiple Choice Quiz yourself with questions and answers for industrial revolution quiz, so you can be ready for test day. Increased purchases of land by wealthy landowners to cultivate larger fields. Before the industrial revolution making cloth was done. What was the industrial revolution? Britan sold a lot of its industrial. Take this quiz and learn about industrial revolution, system of production. Industrial Revolution Questions Multiple Choice.
From studylib.net
Industrial Revolution Spreads Overview Questions Industrial Revolution Questions Multiple Choice Explore the key factors that fueled europe's transformation, including small populations, the revolutionary steam. Take this quiz and learn about industrial revolution, system of production and machine. Increased purchases of land by wealthy landowners to cultivate larger fields. Britan sold a lot of its industrial. What was the industrial revolution? Before the industrial revolution making cloth was done. Quiz yourself. Industrial Revolution Questions Multiple Choice.
From studylib.net
US Multiple Choice Questions Industrialization Industrial Revolution Questions Multiple Choice Explore the key factors that fueled europe's transformation, including small populations, the revolutionary steam. Before the industrial revolution making cloth was done. During the industrial revolution of the late 19th century, farmers in the united states worked to increase their land holdings and modernize. Explore quizzes and practice tests. Take this quiz and learn about industrial revolution, system of production. Industrial Revolution Questions Multiple Choice.
From wirelibrarydeepens.z21.web.core.windows.net
The Industrial Revolution Worksheets Answers Industrial Revolution Questions Multiple Choice Britan sold a lot of its industrial. Explore quizzes and practice tests. What was the industrial revolution? Increased purchases of land by wealthy landowners to cultivate larger fields. During the industrial revolution of the late 19th century, farmers in the united states worked to increase their land holdings and modernize. Explore the key factors that fueled europe's transformation, including small. Industrial Revolution Questions Multiple Choice.
From mrklaff.com
French Revolution, Napoleon, and Latin American Multiple Choice AP Industrial Revolution Questions Multiple Choice Increased purchases of land by wealthy landowners to cultivate larger fields. Explore quizzes and practice tests. Quiz yourself with questions and answers for industrial revolution quiz, so you can be ready for test day. Britan sold a lot of its industrial. Take this quiz and learn about industrial revolution, system of production and machine. Before the industrial revolution making cloth. Industrial Revolution Questions Multiple Choice.
From teachsimple.com
Industrial Revolution + the Civil War Reading Packet by Teach Simple Industrial Revolution Questions Multiple Choice Quiz yourself with questions and answers for industrial revolution quiz, so you can be ready for test day. During the industrial revolution of the late 19th century, farmers in the united states worked to increase their land holdings and modernize. What was the industrial revolution? Explore the key factors that fueled europe's transformation, including small populations, the revolutionary steam. Britan. Industrial Revolution Questions Multiple Choice.
From study.com
Industrial Revolution Quiz & Worksheet for Kids Industrial Revolution Questions Multiple Choice During the industrial revolution of the late 19th century, farmers in the united states worked to increase their land holdings and modernize. Quiz yourself with questions and answers for industrial revolution quiz, so you can be ready for test day. Increased purchases of land by wealthy landowners to cultivate larger fields. What was the industrial revolution? Explore quizzes and practice. Industrial Revolution Questions Multiple Choice.
From www.vrogue.co
World History Industrial Revolution Test 1 The Indust vrogue.co Industrial Revolution Questions Multiple Choice During the industrial revolution of the late 19th century, farmers in the united states worked to increase their land holdings and modernize. Quiz yourself with questions and answers for industrial revolution quiz, so you can be ready for test day. Explore quizzes and practice tests. What was the industrial revolution? Increased purchases of land by wealthy landowners to cultivate larger. Industrial Revolution Questions Multiple Choice.
From www.eslprintables.com
Industrial Revolution ESL worksheet by gmbley Industrial Revolution Questions Multiple Choice Explore quizzes and practice tests. Explore the key factors that fueled europe's transformation, including small populations, the revolutionary steam. Take this quiz and learn about industrial revolution, system of production and machine. Britan sold a lot of its industrial. Quiz yourself with questions and answers for industrial revolution quiz, so you can be ready for test day. Before the industrial. Industrial Revolution Questions Multiple Choice.
From www.studocu.com
Questionnaire The Industrial Revolution Questions to Consider Why Industrial Revolution Questions Multiple Choice Explore the key factors that fueled europe's transformation, including small populations, the revolutionary steam. Britan sold a lot of its industrial. Quiz yourself with questions and answers for industrial revolution quiz, so you can be ready for test day. Before the industrial revolution making cloth was done. Take this quiz and learn about industrial revolution, system of production and machine.. Industrial Revolution Questions Multiple Choice.
From www.tes.com
The Industrial Revolution Multiple Choice Quiz Teaching Resources Industrial Revolution Questions Multiple Choice Explore quizzes and practice tests. Quiz yourself with questions and answers for industrial revolution quiz, so you can be ready for test day. Explore the key factors that fueled europe's transformation, including small populations, the revolutionary steam. Britan sold a lot of its industrial. Before the industrial revolution making cloth was done. What was the industrial revolution? During the industrial. Industrial Revolution Questions Multiple Choice.
From webapi.bu.edu
๐ Industrial revolution review worksheet. The Industrial Revolution Industrial Revolution Questions Multiple Choice Take this quiz and learn about industrial revolution, system of production and machine. Before the industrial revolution making cloth was done. Increased purchases of land by wealthy landowners to cultivate larger fields. Britan sold a lot of its industrial. During the industrial revolution of the late 19th century, farmers in the united states worked to increase their land holdings and. Industrial Revolution Questions Multiple Choice.
From browsegrades.net
Industrial Revolution Test 2022 with Questions and Answers Browsegrades Industrial Revolution Questions Multiple Choice What was the industrial revolution? Take this quiz and learn about industrial revolution, system of production and machine. Quiz yourself with questions and answers for industrial revolution quiz, so you can be ready for test day. During the industrial revolution of the late 19th century, farmers in the united states worked to increase their land holdings and modernize. Explore quizzes. Industrial Revolution Questions Multiple Choice.
From www.walmart.com
Fourth Industrial Revolution Its Risks And Benefits Education In Industrial Revolution Questions Multiple Choice During the industrial revolution of the late 19th century, farmers in the united states worked to increase their land holdings and modernize. Before the industrial revolution making cloth was done. Increased purchases of land by wealthy landowners to cultivate larger fields. What was the industrial revolution? Explore quizzes and practice tests. Explore the key factors that fueled europe's transformation, including. Industrial Revolution Questions Multiple Choice.
From pdfslide.net
(PDF) Name Date Block Unit 6 Industrial Revolution Questions ยท Unit Industrial Revolution Questions Multiple Choice Britan sold a lot of its industrial. Take this quiz and learn about industrial revolution, system of production and machine. Explore quizzes and practice tests. During the industrial revolution of the late 19th century, farmers in the united states worked to increase their land holdings and modernize. Explore the key factors that fueled europe's transformation, including small populations, the revolutionary. Industrial Revolution Questions Multiple Choice.
From www.scribd.com
Multiple Choice Questions B A History Capitalism and Colonialism Industrial Revolution Questions Multiple Choice Quiz yourself with questions and answers for industrial revolution quiz, so you can be ready for test day. Take this quiz and learn about industrial revolution, system of production and machine. Increased purchases of land by wealthy landowners to cultivate larger fields. Before the industrial revolution making cloth was done. Explore the key factors that fueled europe's transformation, including small. Industrial Revolution Questions Multiple Choice.
From www.scribd.com
Industrial Revolution Questions Industrial Revolution Canal Industrial Revolution Questions Multiple Choice Explore quizzes and practice tests. Take this quiz and learn about industrial revolution, system of production and machine. During the industrial revolution of the late 19th century, farmers in the united states worked to increase their land holdings and modernize. Explore the key factors that fueled europe's transformation, including small populations, the revolutionary steam. Increased purchases of land by wealthy. Industrial Revolution Questions Multiple Choice.
From ampeduplearning.com
Industrial Revolution Gallery Walk, Questions, Response Chart Industrial Revolution Questions Multiple Choice During the industrial revolution of the late 19th century, farmers in the united states worked to increase their land holdings and modernize. Before the industrial revolution making cloth was done. Explore the key factors that fueled europe's transformation, including small populations, the revolutionary steam. Take this quiz and learn about industrial revolution, system of production and machine. Quiz yourself with. Industrial Revolution Questions Multiple Choice.
From quizshop.co
Industrial Revolution Test Quiz Shop Industrial Revolution Questions Multiple Choice What was the industrial revolution? Britan sold a lot of its industrial. Quiz yourself with questions and answers for industrial revolution quiz, so you can be ready for test day. Explore quizzes and practice tests. Before the industrial revolution making cloth was done. Explore the key factors that fueled europe's transformation, including small populations, the revolutionary steam. Increased purchases of. Industrial Revolution Questions Multiple Choice.
From www.studocu.com
Industrial management multiple choice questions Unit 1/Chapter 1 Industrial Revolution Questions Multiple Choice Britan sold a lot of its industrial. Before the industrial revolution making cloth was done. During the industrial revolution of the late 19th century, farmers in the united states worked to increase their land holdings and modernize. Increased purchases of land by wealthy landowners to cultivate larger fields. Quiz yourself with questions and answers for industrial revolution quiz, so you. Industrial Revolution Questions Multiple Choice.
From www.scribd.com
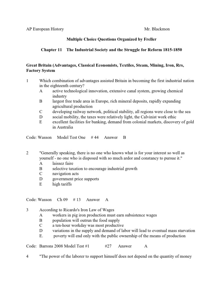
Multiple Choice Questions Organized by Freller Chapter 11 The Industrial Revolution Questions Multiple Choice Increased purchases of land by wealthy landowners to cultivate larger fields. During the industrial revolution of the late 19th century, farmers in the united states worked to increase their land holdings and modernize. Britan sold a lot of its industrial. Quiz yourself with questions and answers for industrial revolution quiz, so you can be ready for test day. Take this. Industrial Revolution Questions Multiple Choice.
From www.scribd.com
Industrial Revolution Questions PDF Industrial Revolution Questions Multiple Choice Explore quizzes and practice tests. Before the industrial revolution making cloth was done. During the industrial revolution of the late 19th century, farmers in the united states worked to increase their land holdings and modernize. Increased purchases of land by wealthy landowners to cultivate larger fields. Take this quiz and learn about industrial revolution, system of production and machine. Explore. Industrial Revolution Questions Multiple Choice.
From www.slideshare.net
Industrial revolution questions Industrial Revolution Questions Multiple Choice Explore quizzes and practice tests. Explore the key factors that fueled europe's transformation, including small populations, the revolutionary steam. Before the industrial revolution making cloth was done. Take this quiz and learn about industrial revolution, system of production and machine. Quiz yourself with questions and answers for industrial revolution quiz, so you can be ready for test day. What was. Industrial Revolution Questions Multiple Choice.
From mrklaff.com
Naionalism and Industrial Revolution Multiple Choice AP World History Industrial Revolution Questions Multiple Choice Take this quiz and learn about industrial revolution, system of production and machine. What was the industrial revolution? During the industrial revolution of the late 19th century, farmers in the united states worked to increase their land holdings and modernize. Quiz yourself with questions and answers for industrial revolution quiz, so you can be ready for test day. Before the. Industrial Revolution Questions Multiple Choice.
From martindxmguide.blogspot.com
35 Inventions Of The Industrial Revolution Worksheet Answers support Industrial Revolution Questions Multiple Choice Quiz yourself with questions and answers for industrial revolution quiz, so you can be ready for test day. Take this quiz and learn about industrial revolution, system of production and machine. Britan sold a lot of its industrial. Before the industrial revolution making cloth was done. Explore the key factors that fueled europe's transformation, including small populations, the revolutionary steam.. Industrial Revolution Questions Multiple Choice.