Dinitrogen Tetroxide Standard Enthalpy Of Formation . Ideal gas heat capacity (j/mol×k). Except where otherwise noted, data are given for materials in their standard state (at 25 °c [77 °f], 100 kpa). Dinitrogen tetroxide is one of the most important rocket propellants ever developed, and by the late 1950s it became the storable oxidizer of choice. 193 rows in chemistry and thermodynamics, the standard enthalpy of formation or standard heat of formation of a compound is the change of. For this compound, wtt contains critically evaluated recommendations for:
from www.chegg.com
Ideal gas heat capacity (j/mol×k). Dinitrogen tetroxide is one of the most important rocket propellants ever developed, and by the late 1950s it became the storable oxidizer of choice. 193 rows in chemistry and thermodynamics, the standard enthalpy of formation or standard heat of formation of a compound is the change of. Except where otherwise noted, data are given for materials in their standard state (at 25 °c [77 °f], 100 kpa). For this compound, wtt contains critically evaluated recommendations for:
Solved Dinitrogen tetroxide N2O4 is one of the most
Dinitrogen Tetroxide Standard Enthalpy Of Formation Dinitrogen tetroxide is one of the most important rocket propellants ever developed, and by the late 1950s it became the storable oxidizer of choice. Except where otherwise noted, data are given for materials in their standard state (at 25 °c [77 °f], 100 kpa). Ideal gas heat capacity (j/mol×k). For this compound, wtt contains critically evaluated recommendations for: Dinitrogen tetroxide is one of the most important rocket propellants ever developed, and by the late 1950s it became the storable oxidizer of choice. 193 rows in chemistry and thermodynamics, the standard enthalpy of formation or standard heat of formation of a compound is the change of.
From classhirsch.z21.web.core.windows.net
Standard Enthalpy Of Formation Chart Dinitrogen Tetroxide Standard Enthalpy Of Formation 193 rows in chemistry and thermodynamics, the standard enthalpy of formation or standard heat of formation of a compound is the change of. Except where otherwise noted, data are given for materials in their standard state (at 25 °c [77 °f], 100 kpa). Ideal gas heat capacity (j/mol×k). Dinitrogen tetroxide is one of the most important rocket propellants ever developed,. Dinitrogen Tetroxide Standard Enthalpy Of Formation.
From mungfali.com
Enthalpies Of Formation Chart Dinitrogen Tetroxide Standard Enthalpy Of Formation 193 rows in chemistry and thermodynamics, the standard enthalpy of formation or standard heat of formation of a compound is the change of. Ideal gas heat capacity (j/mol×k). For this compound, wtt contains critically evaluated recommendations for: Dinitrogen tetroxide is one of the most important rocket propellants ever developed, and by the late 1950s it became the storable oxidizer of. Dinitrogen Tetroxide Standard Enthalpy Of Formation.
From www.numerade.com
SOLVED The space shuttle Orbiter utilizes the oxidation of liquid Dinitrogen Tetroxide Standard Enthalpy Of Formation 193 rows in chemistry and thermodynamics, the standard enthalpy of formation or standard heat of formation of a compound is the change of. Except where otherwise noted, data are given for materials in their standard state (at 25 °c [77 °f], 100 kpa). For this compound, wtt contains critically evaluated recommendations for: Dinitrogen tetroxide is one of the most important. Dinitrogen Tetroxide Standard Enthalpy Of Formation.
From www.numerade.com
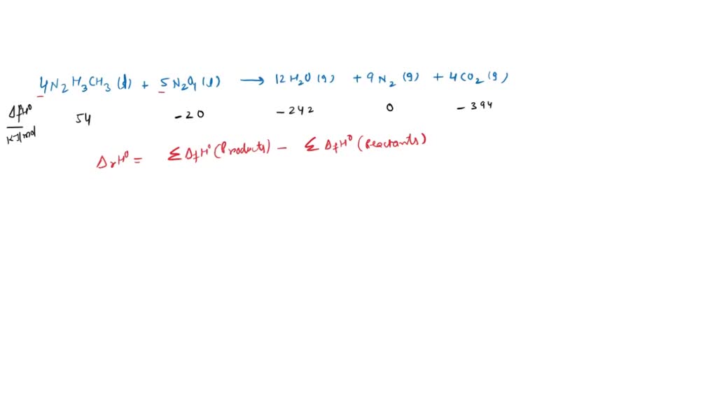
SOLVEDCalculate the standard enthalpy of formation of dinitrogen Dinitrogen Tetroxide Standard Enthalpy Of Formation 193 rows in chemistry and thermodynamics, the standard enthalpy of formation or standard heat of formation of a compound is the change of. Ideal gas heat capacity (j/mol×k). Dinitrogen tetroxide is one of the most important rocket propellants ever developed, and by the late 1950s it became the storable oxidizer of choice. For this compound, wtt contains critically evaluated recommendations. Dinitrogen Tetroxide Standard Enthalpy Of Formation.
From www.dreamstime.com
Dinitrogen Tetroxide, Molecular Structures, Rocket Propellant, 3d Model Dinitrogen Tetroxide Standard Enthalpy Of Formation 193 rows in chemistry and thermodynamics, the standard enthalpy of formation or standard heat of formation of a compound is the change of. Except where otherwise noted, data are given for materials in their standard state (at 25 °c [77 °f], 100 kpa). Dinitrogen tetroxide is one of the most important rocket propellants ever developed, and by the late 1950s. Dinitrogen Tetroxide Standard Enthalpy Of Formation.
From www.numerade.com
SOLVEDDinitrogen tetroxide to nitroge… Dinitrogen Tetroxide Standard Enthalpy Of Formation For this compound, wtt contains critically evaluated recommendations for: Ideal gas heat capacity (j/mol×k). Dinitrogen tetroxide is one of the most important rocket propellants ever developed, and by the late 1950s it became the storable oxidizer of choice. 193 rows in chemistry and thermodynamics, the standard enthalpy of formation or standard heat of formation of a compound is the change. Dinitrogen Tetroxide Standard Enthalpy Of Formation.
From studylib.net
Standard Enthalpy of Formation and Reaction Dinitrogen Tetroxide Standard Enthalpy Of Formation Except where otherwise noted, data are given for materials in their standard state (at 25 °c [77 °f], 100 kpa). Dinitrogen tetroxide is one of the most important rocket propellants ever developed, and by the late 1950s it became the storable oxidizer of choice. 193 rows in chemistry and thermodynamics, the standard enthalpy of formation or standard heat of formation. Dinitrogen Tetroxide Standard Enthalpy Of Formation.
From www.chegg.com
Solved The standard enthalpy of formation (ΔHf∘) is the Dinitrogen Tetroxide Standard Enthalpy Of Formation Ideal gas heat capacity (j/mol×k). 193 rows in chemistry and thermodynamics, the standard enthalpy of formation or standard heat of formation of a compound is the change of. Dinitrogen tetroxide is one of the most important rocket propellants ever developed, and by the late 1950s it became the storable oxidizer of choice. For this compound, wtt contains critically evaluated recommendations. Dinitrogen Tetroxide Standard Enthalpy Of Formation.
From mungfali.com
Standard Enthalpy Of Formation Equation Dinitrogen Tetroxide Standard Enthalpy Of Formation Except where otherwise noted, data are given for materials in their standard state (at 25 °c [77 °f], 100 kpa). Ideal gas heat capacity (j/mol×k). 193 rows in chemistry and thermodynamics, the standard enthalpy of formation or standard heat of formation of a compound is the change of. Dinitrogen tetroxide is one of the most important rocket propellants ever developed,. Dinitrogen Tetroxide Standard Enthalpy Of Formation.
From slideplayer.com
Equilibrium. ppt download Dinitrogen Tetroxide Standard Enthalpy Of Formation Ideal gas heat capacity (j/mol×k). Except where otherwise noted, data are given for materials in their standard state (at 25 °c [77 °f], 100 kpa). Dinitrogen tetroxide is one of the most important rocket propellants ever developed, and by the late 1950s it became the storable oxidizer of choice. 193 rows in chemistry and thermodynamics, the standard enthalpy of formation. Dinitrogen Tetroxide Standard Enthalpy Of Formation.
From www.numerade.com
SOLVED Activities and Assessment 1. Use standard enthalpy and entropy Dinitrogen Tetroxide Standard Enthalpy Of Formation Dinitrogen tetroxide is one of the most important rocket propellants ever developed, and by the late 1950s it became the storable oxidizer of choice. Except where otherwise noted, data are given for materials in their standard state (at 25 °c [77 °f], 100 kpa). Ideal gas heat capacity (j/mol×k). For this compound, wtt contains critically evaluated recommendations for: 193 rows. Dinitrogen Tetroxide Standard Enthalpy Of Formation.
From www.youtube.com
N2O4 Lewis Structure Dinitrogen Tetroxide Lewis Dot Structure YouTube Dinitrogen Tetroxide Standard Enthalpy Of Formation Except where otherwise noted, data are given for materials in their standard state (at 25 °c [77 °f], 100 kpa). Ideal gas heat capacity (j/mol×k). Dinitrogen tetroxide is one of the most important rocket propellants ever developed, and by the late 1950s it became the storable oxidizer of choice. For this compound, wtt contains critically evaluated recommendations for: 193 rows. Dinitrogen Tetroxide Standard Enthalpy Of Formation.
From www.chegg.com
Solved Dinitrogen tetroxide N2O4 is one of the most Dinitrogen Tetroxide Standard Enthalpy Of Formation For this compound, wtt contains critically evaluated recommendations for: 193 rows in chemistry and thermodynamics, the standard enthalpy of formation or standard heat of formation of a compound is the change of. Dinitrogen tetroxide is one of the most important rocket propellants ever developed, and by the late 1950s it became the storable oxidizer of choice. Except where otherwise noted,. Dinitrogen Tetroxide Standard Enthalpy Of Formation.
From www.chegg.com
Solved Write a balanced chemical equation for the standard Dinitrogen Tetroxide Standard Enthalpy Of Formation Except where otherwise noted, data are given for materials in their standard state (at 25 °c [77 °f], 100 kpa). For this compound, wtt contains critically evaluated recommendations for: Dinitrogen tetroxide is one of the most important rocket propellants ever developed, and by the late 1950s it became the storable oxidizer of choice. Ideal gas heat capacity (j/mol×k). 193 rows. Dinitrogen Tetroxide Standard Enthalpy Of Formation.
From www.numerade.com
SOLVED . Calculate the standard enthalpy of formation of dinitrogen Dinitrogen Tetroxide Standard Enthalpy Of Formation Except where otherwise noted, data are given for materials in their standard state (at 25 °c [77 °f], 100 kpa). Ideal gas heat capacity (j/mol×k). For this compound, wtt contains critically evaluated recommendations for: 193 rows in chemistry and thermodynamics, the standard enthalpy of formation or standard heat of formation of a compound is the change of. Dinitrogen tetroxide is. Dinitrogen Tetroxide Standard Enthalpy Of Formation.
From www.numerade.com
SOLVED Use the standard enthalpy of formation (ΔHf) values in Dinitrogen Tetroxide Standard Enthalpy Of Formation Dinitrogen tetroxide is one of the most important rocket propellants ever developed, and by the late 1950s it became the storable oxidizer of choice. Ideal gas heat capacity (j/mol×k). For this compound, wtt contains critically evaluated recommendations for: 193 rows in chemistry and thermodynamics, the standard enthalpy of formation or standard heat of formation of a compound is the change. Dinitrogen Tetroxide Standard Enthalpy Of Formation.
From www.alamy.com
Dinitrogen tetroxide , N2O4 molecule. Structural chemical formula and Dinitrogen Tetroxide Standard Enthalpy Of Formation For this compound, wtt contains critically evaluated recommendations for: Except where otherwise noted, data are given for materials in their standard state (at 25 °c [77 °f], 100 kpa). 193 rows in chemistry and thermodynamics, the standard enthalpy of formation or standard heat of formation of a compound is the change of. Ideal gas heat capacity (j/mol×k). Dinitrogen tetroxide is. Dinitrogen Tetroxide Standard Enthalpy Of Formation.
From www.chegg.com
Solved Nitrogen gas reacts with oxygen gas to form Dinitrogen Tetroxide Standard Enthalpy Of Formation Ideal gas heat capacity (j/mol×k). For this compound, wtt contains critically evaluated recommendations for: Dinitrogen tetroxide is one of the most important rocket propellants ever developed, and by the late 1950s it became the storable oxidizer of choice. 193 rows in chemistry and thermodynamics, the standard enthalpy of formation or standard heat of formation of a compound is the change. Dinitrogen Tetroxide Standard Enthalpy Of Formation.
From narodnatribuna.info
Calculating Reaction Enthalpy From Enthalpies Of Formation Dinitrogen Tetroxide Standard Enthalpy Of Formation For this compound, wtt contains critically evaluated recommendations for: Dinitrogen tetroxide is one of the most important rocket propellants ever developed, and by the late 1950s it became the storable oxidizer of choice. Except where otherwise noted, data are given for materials in their standard state (at 25 °c [77 °f], 100 kpa). 193 rows in chemistry and thermodynamics, the. Dinitrogen Tetroxide Standard Enthalpy Of Formation.
From mavink.com
Enthalpy Of Formation Symbol Dinitrogen Tetroxide Standard Enthalpy Of Formation Except where otherwise noted, data are given for materials in their standard state (at 25 °c [77 °f], 100 kpa). 193 rows in chemistry and thermodynamics, the standard enthalpy of formation or standard heat of formation of a compound is the change of. Dinitrogen tetroxide is one of the most important rocket propellants ever developed, and by the late 1950s. Dinitrogen Tetroxide Standard Enthalpy Of Formation.
From schoolworkhelper.net
Standard Enthalpies of Formation SchoolWorkHelper Dinitrogen Tetroxide Standard Enthalpy Of Formation 193 rows in chemistry and thermodynamics, the standard enthalpy of formation or standard heat of formation of a compound is the change of. For this compound, wtt contains critically evaluated recommendations for: Ideal gas heat capacity (j/mol×k). Except where otherwise noted, data are given for materials in their standard state (at 25 °c [77 °f], 100 kpa). Dinitrogen tetroxide is. Dinitrogen Tetroxide Standard Enthalpy Of Formation.
From www.researchgate.net
Enthalpies of formation for stable and radical species used in work Dinitrogen Tetroxide Standard Enthalpy Of Formation For this compound, wtt contains critically evaluated recommendations for: Dinitrogen tetroxide is one of the most important rocket propellants ever developed, and by the late 1950s it became the storable oxidizer of choice. Ideal gas heat capacity (j/mol×k). Except where otherwise noted, data are given for materials in their standard state (at 25 °c [77 °f], 100 kpa). 193 rows. Dinitrogen Tetroxide Standard Enthalpy Of Formation.
From www.acs.org
Dinitrogen tetroxide American Chemical Society Dinitrogen Tetroxide Standard Enthalpy Of Formation Except where otherwise noted, data are given for materials in their standard state (at 25 °c [77 °f], 100 kpa). For this compound, wtt contains critically evaluated recommendations for: 193 rows in chemistry and thermodynamics, the standard enthalpy of formation or standard heat of formation of a compound is the change of. Dinitrogen tetroxide is one of the most important. Dinitrogen Tetroxide Standard Enthalpy Of Formation.
From www.slideserve.com
PPT Standard Enthalpies of Formation PowerPoint Presentation, free Dinitrogen Tetroxide Standard Enthalpy Of Formation Except where otherwise noted, data are given for materials in their standard state (at 25 °c [77 °f], 100 kpa). 193 rows in chemistry and thermodynamics, the standard enthalpy of formation or standard heat of formation of a compound is the change of. Ideal gas heat capacity (j/mol×k). Dinitrogen tetroxide is one of the most important rocket propellants ever developed,. Dinitrogen Tetroxide Standard Enthalpy Of Formation.
From www.bartleby.com
Answered Determine, at 298 K, Ar1H°, the… bartleby Dinitrogen Tetroxide Standard Enthalpy Of Formation Except where otherwise noted, data are given for materials in their standard state (at 25 °c [77 °f], 100 kpa). 193 rows in chemistry and thermodynamics, the standard enthalpy of formation or standard heat of formation of a compound is the change of. Dinitrogen tetroxide is one of the most important rocket propellants ever developed, and by the late 1950s. Dinitrogen Tetroxide Standard Enthalpy Of Formation.
From favpng.com
Dinitrogen Tetroxide Nitrogen Dioxide Standard Enthalpy Of Reaction Dinitrogen Tetroxide Standard Enthalpy Of Formation Except where otherwise noted, data are given for materials in their standard state (at 25 °c [77 °f], 100 kpa). For this compound, wtt contains critically evaluated recommendations for: Dinitrogen tetroxide is one of the most important rocket propellants ever developed, and by the late 1950s it became the storable oxidizer of choice. Ideal gas heat capacity (j/mol×k). 193 rows. Dinitrogen Tetroxide Standard Enthalpy Of Formation.
From www.numerade.com
⏩SOLVEDCalculate the standard enthalpy of formation of dinitrogen Dinitrogen Tetroxide Standard Enthalpy Of Formation 193 rows in chemistry and thermodynamics, the standard enthalpy of formation or standard heat of formation of a compound is the change of. Except where otherwise noted, data are given for materials in their standard state (at 25 °c [77 °f], 100 kpa). Dinitrogen tetroxide is one of the most important rocket propellants ever developed, and by the late 1950s. Dinitrogen Tetroxide Standard Enthalpy Of Formation.
From www.numerade.com
SOLVED The space shuttle Orbiter utilizes the oxidation of liquid Dinitrogen Tetroxide Standard Enthalpy Of Formation Dinitrogen tetroxide is one of the most important rocket propellants ever developed, and by the late 1950s it became the storable oxidizer of choice. 193 rows in chemistry and thermodynamics, the standard enthalpy of formation or standard heat of formation of a compound is the change of. For this compound, wtt contains critically evaluated recommendations for: Ideal gas heat capacity. Dinitrogen Tetroxide Standard Enthalpy Of Formation.
From www.youtube.com
CHEMISTRY 101 Standard enthalpies of formation and reaction YouTube Dinitrogen Tetroxide Standard Enthalpy Of Formation Dinitrogen tetroxide is one of the most important rocket propellants ever developed, and by the late 1950s it became the storable oxidizer of choice. Ideal gas heat capacity (j/mol×k). For this compound, wtt contains critically evaluated recommendations for: Except where otherwise noted, data are given for materials in their standard state (at 25 °c [77 °f], 100 kpa). 193 rows. Dinitrogen Tetroxide Standard Enthalpy Of Formation.
From byjus.com
38. At 60^° , dinitrogen tetroxide is 50 Dinitrogen Tetroxide Standard Enthalpy Of Formation 193 rows in chemistry and thermodynamics, the standard enthalpy of formation or standard heat of formation of a compound is the change of. Ideal gas heat capacity (j/mol×k). For this compound, wtt contains critically evaluated recommendations for: Except where otherwise noted, data are given for materials in their standard state (at 25 °c [77 °f], 100 kpa). Dinitrogen tetroxide is. Dinitrogen Tetroxide Standard Enthalpy Of Formation.
From www.numerade.com
SOLVED The space shuttle orbiter utilizes the oxidation of methyl Dinitrogen Tetroxide Standard Enthalpy Of Formation Ideal gas heat capacity (j/mol×k). Except where otherwise noted, data are given for materials in their standard state (at 25 °c [77 °f], 100 kpa). For this compound, wtt contains critically evaluated recommendations for: 193 rows in chemistry and thermodynamics, the standard enthalpy of formation or standard heat of formation of a compound is the change of. Dinitrogen tetroxide is. Dinitrogen Tetroxide Standard Enthalpy Of Formation.
From www.numerade.com
SOLVED Calculate the standard enthalpy change when gaseous dinitrogen Dinitrogen Tetroxide Standard Enthalpy Of Formation 193 rows in chemistry and thermodynamics, the standard enthalpy of formation or standard heat of formation of a compound is the change of. Ideal gas heat capacity (j/mol×k). Except where otherwise noted, data are given for materials in their standard state (at 25 °c [77 °f], 100 kpa). Dinitrogen tetroxide is one of the most important rocket propellants ever developed,. Dinitrogen Tetroxide Standard Enthalpy Of Formation.
From www.chegg.com
Solved Use the standard enthalpies of formation in the table Dinitrogen Tetroxide Standard Enthalpy Of Formation Ideal gas heat capacity (j/mol×k). For this compound, wtt contains critically evaluated recommendations for: Dinitrogen tetroxide is one of the most important rocket propellants ever developed, and by the late 1950s it became the storable oxidizer of choice. 193 rows in chemistry and thermodynamics, the standard enthalpy of formation or standard heat of formation of a compound is the change. Dinitrogen Tetroxide Standard Enthalpy Of Formation.
From www.numerade.com
SOLVED Based on the data chart for the reaction of dinitrogen Dinitrogen Tetroxide Standard Enthalpy Of Formation Except where otherwise noted, data are given for materials in their standard state (at 25 °c [77 °f], 100 kpa). Ideal gas heat capacity (j/mol×k). For this compound, wtt contains critically evaluated recommendations for: 193 rows in chemistry and thermodynamics, the standard enthalpy of formation or standard heat of formation of a compound is the change of. Dinitrogen tetroxide is. Dinitrogen Tetroxide Standard Enthalpy Of Formation.
From www.chegg.com
Solved At 25 °C dinitrogen tetroxide (N204), used as a Dinitrogen Tetroxide Standard Enthalpy Of Formation Ideal gas heat capacity (j/mol×k). For this compound, wtt contains critically evaluated recommendations for: 193 rows in chemistry and thermodynamics, the standard enthalpy of formation or standard heat of formation of a compound is the change of. Dinitrogen tetroxide is one of the most important rocket propellants ever developed, and by the late 1950s it became the storable oxidizer of. Dinitrogen Tetroxide Standard Enthalpy Of Formation.