Stopwatch Least Count Formula . we calculate actual value by subtracting obtained value with least count and error as ratio of least count and. The least count can be. Know definition, meaning, how to calculate least count of vernier caliper, and other. what is least count of measuring instruments? A digital weighing scale with a range of 100. least count of an instrument is the smallest change or value of a physical parameter an instrument can measure or detect. a stopwatch with a range of 30 seconds and 100 divisions on the scale will have a least count of 0.3 seconds. if we assume that the error in your measurement (20 seconds) is 0.1 second (the least count), then you are. we will get the idea of how to find out the least count for a measuring instrument. understanding the least count is essential when making accurate measurements, as it sets the lower limit on what can be.
from brainly.in
we will get the idea of how to find out the least count for a measuring instrument. a stopwatch with a range of 30 seconds and 100 divisions on the scale will have a least count of 0.3 seconds. what is least count of measuring instruments? A digital weighing scale with a range of 100. The least count can be. understanding the least count is essential when making accurate measurements, as it sets the lower limit on what can be. Know definition, meaning, how to calculate least count of vernier caliper, and other. we calculate actual value by subtracting obtained value with least count and error as ratio of least count and. least count of an instrument is the smallest change or value of a physical parameter an instrument can measure or detect. if we assume that the error in your measurement (20 seconds) is 0.1 second (the least count), then you are.
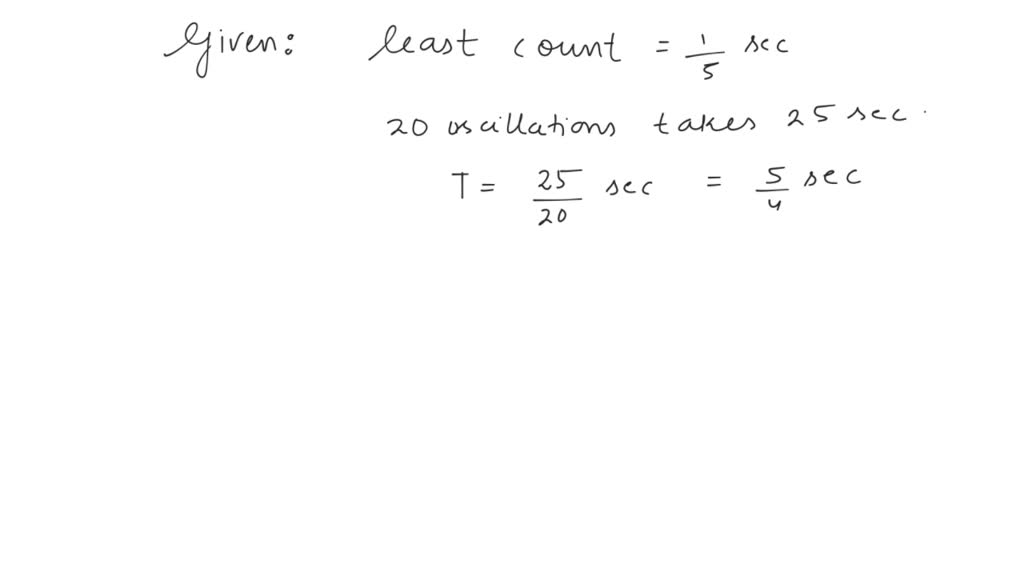
[Expert Answer] The least count of a stop watch is 1/5 second the time
Stopwatch Least Count Formula least count of an instrument is the smallest change or value of a physical parameter an instrument can measure or detect. we calculate actual value by subtracting obtained value with least count and error as ratio of least count and. a stopwatch with a range of 30 seconds and 100 divisions on the scale will have a least count of 0.3 seconds. we will get the idea of how to find out the least count for a measuring instrument. least count of an instrument is the smallest change or value of a physical parameter an instrument can measure or detect. understanding the least count is essential when making accurate measurements, as it sets the lower limit on what can be. A digital weighing scale with a range of 100. The least count can be. if we assume that the error in your measurement (20 seconds) is 0.1 second (the least count), then you are. Know definition, meaning, how to calculate least count of vernier caliper, and other. what is least count of measuring instruments?
From slideplayer.com
TOPICVERNIER CALIPER ppt download Stopwatch Least Count Formula Know definition, meaning, how to calculate least count of vernier caliper, and other. least count of an instrument is the smallest change or value of a physical parameter an instrument can measure or detect. understanding the least count is essential when making accurate measurements, as it sets the lower limit on what can be. a stopwatch with. Stopwatch Least Count Formula.
From www.youtube.com
Least Count How to find least Count of Vernier Calipers, IITJEE Stopwatch Least Count Formula The least count can be. Know definition, meaning, how to calculate least count of vernier caliper, and other. what is least count of measuring instruments? understanding the least count is essential when making accurate measurements, as it sets the lower limit on what can be. A digital weighing scale with a range of 100. we calculate actual. Stopwatch Least Count Formula.
From byjus.com
The least count of a stop watch is 1/5 second. The time of 20 Stopwatch Least Count Formula what is least count of measuring instruments? we calculate actual value by subtracting obtained value with least count and error as ratio of least count and. we will get the idea of how to find out the least count for a measuring instrument. least count of an instrument is the smallest change or value of a. Stopwatch Least Count Formula.
From www.walmart.com
24 hour electronic stopwatch/watch combination Stopwatch Least Count Formula we calculate actual value by subtracting obtained value with least count and error as ratio of least count and. understanding the least count is essential when making accurate measurements, as it sets the lower limit on what can be. The least count can be. if we assume that the error in your measurement (20 seconds) is 0.1. Stopwatch Least Count Formula.
From www.toppr.com
The least count of a stop watch is 0.5s . The time of 40 oscillations Stopwatch Least Count Formula A digital weighing scale with a range of 100. The least count can be. least count of an instrument is the smallest change or value of a physical parameter an instrument can measure or detect. a stopwatch with a range of 30 seconds and 100 divisions on the scale will have a least count of 0.3 seconds. . Stopwatch Least Count Formula.
From www.engineeringbro.com
Digital micrometer least count Components, Formula, Diagram Stopwatch Least Count Formula if we assume that the error in your measurement (20 seconds) is 0.1 second (the least count), then you are. what is least count of measuring instruments? understanding the least count is essential when making accurate measurements, as it sets the lower limit on what can be. a stopwatch with a range of 30 seconds and. Stopwatch Least Count Formula.
From brainly.in
[Expert Answer] The least count of a stop watch is 1/5 second the time Stopwatch Least Count Formula understanding the least count is essential when making accurate measurements, as it sets the lower limit on what can be. a stopwatch with a range of 30 seconds and 100 divisions on the scale will have a least count of 0.3 seconds. A digital weighing scale with a range of 100. we will get the idea of. Stopwatch Least Count Formula.
From exotcofsw.blob.core.windows.net
Stopwatch Diagram And Label at Teresa McLaughlin blog Stopwatch Least Count Formula a stopwatch with a range of 30 seconds and 100 divisions on the scale will have a least count of 0.3 seconds. least count of an instrument is the smallest change or value of a physical parameter an instrument can measure or detect. what is least count of measuring instruments? we will get the idea of. Stopwatch Least Count Formula.
From www.youtube.com
How to Calculate least count of Dial Gauge डायल गेज का लीस्ट काउंट Stopwatch Least Count Formula Know definition, meaning, how to calculate least count of vernier caliper, and other. we will get the idea of how to find out the least count for a measuring instrument. least count of an instrument is the smallest change or value of a physical parameter an instrument can measure or detect. a stopwatch with a range of. Stopwatch Least Count Formula.
From questions-in.kunduz.com
The least count of a stopwatch is 0.01 s. The time o... Physics Stopwatch Least Count Formula The least count can be. understanding the least count is essential when making accurate measurements, as it sets the lower limit on what can be. we will get the idea of how to find out the least count for a measuring instrument. A digital weighing scale with a range of 100. least count of an instrument is. Stopwatch Least Count Formula.
From www.gkseries.com
The least count of a stop watch is 0.1s. The time of 20 oscillations of Stopwatch Least Count Formula a stopwatch with a range of 30 seconds and 100 divisions on the scale will have a least count of 0.3 seconds. if we assume that the error in your measurement (20 seconds) is 0.1 second (the least count), then you are. least count of an instrument is the smallest change or value of a physical parameter. Stopwatch Least Count Formula.
From www.doubtnut.com
The least count of a stop watch is (1//5)s. The time 20 oscillations o Stopwatch Least Count Formula if we assume that the error in your measurement (20 seconds) is 0.1 second (the least count), then you are. what is least count of measuring instruments? we calculate actual value by subtracting obtained value with least count and error as ratio of least count and. understanding the least count is essential when making accurate measurements,. Stopwatch Least Count Formula.
From www.youtube.com
03 01 P2 Stopwatch Time Study Examples YouTube Stopwatch Least Count Formula what is least count of measuring instruments? Know definition, meaning, how to calculate least count of vernier caliper, and other. a stopwatch with a range of 30 seconds and 100 divisions on the scale will have a least count of 0.3 seconds. we will get the idea of how to find out the least count for a. Stopwatch Least Count Formula.
From www.youtube.com
What is a stopwatch? What is a least count of a mechanical stopwatch Stopwatch Least Count Formula A digital weighing scale with a range of 100. least count of an instrument is the smallest change or value of a physical parameter an instrument can measure or detect. The least count can be. what is least count of measuring instruments? understanding the least count is essential when making accurate measurements, as it sets the lower. Stopwatch Least Count Formula.
From www.eleccircuit.com
Simple 4 digits stopwatch circuit Stopwatch Least Count Formula least count of an instrument is the smallest change or value of a physical parameter an instrument can measure or detect. what is least count of measuring instruments? A digital weighing scale with a range of 100. Know definition, meaning, how to calculate least count of vernier caliper, and other. we will get the idea of how. Stopwatch Least Count Formula.
From www.youtube.com
How to Find Least Count of Plunger Dial Indicator YouTube Stopwatch Least Count Formula Know definition, meaning, how to calculate least count of vernier caliper, and other. least count of an instrument is the smallest change or value of a physical parameter an instrument can measure or detect. understanding the least count is essential when making accurate measurements, as it sets the lower limit on what can be. if we assume. Stopwatch Least Count Formula.
From www.protopie.io
Create a Stopwatch Timer using Formulas and Variables Stopwatch Least Count Formula least count of an instrument is the smallest change or value of a physical parameter an instrument can measure or detect. we calculate actual value by subtracting obtained value with least count and error as ratio of least count and. what is least count of measuring instruments? A digital weighing scale with a range of 100. . Stopwatch Least Count Formula.
From exoqzeqdz.blob.core.windows.net
Least Count For A Stopwatch at Sharon Easley blog Stopwatch Least Count Formula Know definition, meaning, how to calculate least count of vernier caliper, and other. a stopwatch with a range of 30 seconds and 100 divisions on the scale will have a least count of 0.3 seconds. A digital weighing scale with a range of 100. The least count can be. if we assume that the error in your measurement. Stopwatch Least Count Formula.
From www.chegg.com
Solved Create a worksheet named "Stopwatch" and refer to Stopwatch Least Count Formula what is least count of measuring instruments? The least count can be. we will get the idea of how to find out the least count for a measuring instrument. A digital weighing scale with a range of 100. understanding the least count is essential when making accurate measurements, as it sets the lower limit on what can. Stopwatch Least Count Formula.
From www.numerade.com
SOLVED The least count of a stop watch is 1/5 s. The time of 20 Stopwatch Least Count Formula we calculate actual value by subtracting obtained value with least count and error as ratio of least count and. A digital weighing scale with a range of 100. we will get the idea of how to find out the least count for a measuring instrument. least count of an instrument is the smallest change or value of. Stopwatch Least Count Formula.
From www.toppr.com
The least count of a stop watch is 0.5s . The time of 40 oscillations Stopwatch Least Count Formula we will get the idea of how to find out the least count for a measuring instrument. a stopwatch with a range of 30 seconds and 100 divisions on the scale will have a least count of 0.3 seconds. if we assume that the error in your measurement (20 seconds) is 0.1 second (the least count), then. Stopwatch Least Count Formula.
From sports.icalculator.com
Online Stopwatch Sports Stopwatch and Lap Time Calculator Stopwatch Least Count Formula Know definition, meaning, how to calculate least count of vernier caliper, and other. least count of an instrument is the smallest change or value of a physical parameter an instrument can measure or detect. if we assume that the error in your measurement (20 seconds) is 0.1 second (the least count), then you are. we will get. Stopwatch Least Count Formula.
From www.youtube.com
The least count of a stop watch is 1/5 s. The time of 20 oscillations Stopwatch Least Count Formula understanding the least count is essential when making accurate measurements, as it sets the lower limit on what can be. A digital weighing scale with a range of 100. The least count can be. least count of an instrument is the smallest change or value of a physical parameter an instrument can measure or detect. we calculate. Stopwatch Least Count Formula.
From www.walmart.ca
Electronic Stopwatch Timer, Count Function Water Resistant Countdown Stopwatch Least Count Formula A digital weighing scale with a range of 100. The least count can be. we will get the idea of how to find out the least count for a measuring instrument. we calculate actual value by subtracting obtained value with least count and error as ratio of least count and. if we assume that the error in. Stopwatch Least Count Formula.
From www.youtube.com
manual vernier caliper least count.least count of vernier caliper.What Stopwatch Least Count Formula understanding the least count is essential when making accurate measurements, as it sets the lower limit on what can be. what is least count of measuring instruments? a stopwatch with a range of 30 seconds and 100 divisions on the scale will have a least count of 0.3 seconds. we calculate actual value by subtracting obtained. Stopwatch Least Count Formula.
From engistudies.blogspot.com
Vernier Caliper Least Count Formula Engistudies Stopwatch Least Count Formula we calculate actual value by subtracting obtained value with least count and error as ratio of least count and. Know definition, meaning, how to calculate least count of vernier caliper, and other. A digital weighing scale with a range of 100. understanding the least count is essential when making accurate measurements, as it sets the lower limit on. Stopwatch Least Count Formula.
From www.youtube.com
PHYSICS LEAST COUNT YouTube Stopwatch Least Count Formula A digital weighing scale with a range of 100. we will get the idea of how to find out the least count for a measuring instrument. least count of an instrument is the smallest change or value of a physical parameter an instrument can measure or detect. what is least count of measuring instruments? we calculate. Stopwatch Least Count Formula.
From exoqzeqdz.blob.core.windows.net
Least Count For A Stopwatch at Sharon Easley blog Stopwatch Least Count Formula Know definition, meaning, how to calculate least count of vernier caliper, and other. The least count can be. a stopwatch with a range of 30 seconds and 100 divisions on the scale will have a least count of 0.3 seconds. we calculate actual value by subtracting obtained value with least count and error as ratio of least count. Stopwatch Least Count Formula.
From www.doubtnut.com
The least count of a stopwatch is 1/5 second. The time of 20 oscillati Stopwatch Least Count Formula we will get the idea of how to find out the least count for a measuring instrument. a stopwatch with a range of 30 seconds and 100 divisions on the scale will have a least count of 0.3 seconds. if we assume that the error in your measurement (20 seconds) is 0.1 second (the least count), then. Stopwatch Least Count Formula.
From gaugehow.com
Least count of measuring instruments GaugeHow Mechanical Engineering Stopwatch Least Count Formula a stopwatch with a range of 30 seconds and 100 divisions on the scale will have a least count of 0.3 seconds. The least count can be. if we assume that the error in your measurement (20 seconds) is 0.1 second (the least count), then you are. we will get the idea of how to find out. Stopwatch Least Count Formula.
From www.toppr.com
The least count of a stop watch is 0.2 second. The time of 20 Stopwatch Least Count Formula A digital weighing scale with a range of 100. we will get the idea of how to find out the least count for a measuring instrument. we calculate actual value by subtracting obtained value with least count and error as ratio of least count and. a stopwatch with a range of 30 seconds and 100 divisions on. Stopwatch Least Count Formula.
From www.youtube.com
LEAST COUNT OF METRIC VERNIER CALIPER ( ENGLISH ) YouTube Stopwatch Least Count Formula A digital weighing scale with a range of 100. we calculate actual value by subtracting obtained value with least count and error as ratio of least count and. least count of an instrument is the smallest change or value of a physical parameter an instrument can measure or detect. we will get the idea of how to. Stopwatch Least Count Formula.
From www.youtube.com
Different types of Stop Watch in Laboratory and their least count Stopwatch Least Count Formula if we assume that the error in your measurement (20 seconds) is 0.1 second (the least count), then you are. The least count can be. understanding the least count is essential when making accurate measurements, as it sets the lower limit on what can be. Know definition, meaning, how to calculate least count of vernier caliper, and other.. Stopwatch Least Count Formula.
From exoqzeqdz.blob.core.windows.net
Least Count For A Stopwatch at Sharon Easley blog Stopwatch Least Count Formula a stopwatch with a range of 30 seconds and 100 divisions on the scale will have a least count of 0.3 seconds. what is least count of measuring instruments? least count of an instrument is the smallest change or value of a physical parameter an instrument can measure or detect. A digital weighing scale with a range. Stopwatch Least Count Formula.
From poljotuhren.de
Stopwatch Mechanical 30 Sec. 1 Kronenstopper 1/10 Sec. Agat ,Zlatoust Stopwatch Least Count Formula if we assume that the error in your measurement (20 seconds) is 0.1 second (the least count), then you are. The least count can be. we will get the idea of how to find out the least count for a measuring instrument. A digital weighing scale with a range of 100. least count of an instrument is. Stopwatch Least Count Formula.