If A Constant Force Is Applied To An Object . Newton’s second law of motion is one of the three fundamental. Newton's second law says that when a constant force acts on a massive body, it causes it to accelerate, i.e., to change its velocity, at a. If mass is constant, than force equals mass multiplied by acceleration. Weight and the gravitational force. Learning objectives contrast displacement and distance in constant force. When a force is applied to an object, no matter what the state of that object's motion is, acceleration will occur. What are newton’s laws of motion? Describe newton's second law of motion. When a constant force is applied to an object, the acceleration of the object varies inversely with its mass. This is in fact newton's second law, \(f = ma\). Explain the dependence of acceleration on net force and mass. The work done by a constant force is proportional to the force applied times the displacement of the object. Distinguish between external and internal forces. An object at rest remains at rest, and an object in motion remains in motion at constant speed and in a straight line unless acted on by an. When an object is dropped, it accelerates toward the center of earth.
from solvedlib.com
This is in fact newton's second law, \(f = ma\). Newton's second law says that when a constant force acts on a massive body, it causes it to accelerate, i.e., to change its velocity, at a. When a force is applied to an object, no matter what the state of that object's motion is, acceleration will occur. Newton’s second law of motion is one of the three fundamental. Weight and the gravitational force. Describe newton's second law of motion. When a certain constant force acts upon an object with mass 2 kg, the. What are newton’s laws of motion? Learning objectives contrast displacement and distance in constant force. An object at rest remains at rest, and an object in motion remains in motion at constant speed and in a straight line unless acted on by an.
A constant force applied to an object causes the obje… SolvedLib
If A Constant Force Is Applied To An Object Newton’s second law states that a net force on an object is responsible for its. Weight and the gravitational force. Newton’s second law of motion is one of the three fundamental. This is in fact newton's second law, \(f = ma\). Newton’s second law states that a net force on an object is responsible for its. If mass is constant, than force equals mass multiplied by acceleration. When a force is applied to an object, no matter what the state of that object's motion is, acceleration will occur. Distinguish between external and internal forces. When a certain constant force acts upon an object with mass 2 kg, the. Describe newton's second law of motion. Learning objectives contrast displacement and distance in constant force. Newton's second law says that when a constant force acts on a massive body, it causes it to accelerate, i.e., to change its velocity, at a. When a constant force is applied to an object, the acceleration of the object varies inversely with its mass. What are newton’s laws of motion? An object at rest remains at rest, and an object in motion remains in motion at constant speed and in a straight line unless acted on by an. The work done by a constant force is proportional to the force applied times the displacement of the object.
From solvedlib.com
A force F applied to an object of mass m1 produces an… SolvedLib If A Constant Force Is Applied To An Object Newton’s second law of motion is one of the three fundamental. When a constant force is applied to an object, the acceleration of the object varies inversely with its mass. If mass is constant, than force equals mass multiplied by acceleration. What are newton’s laws of motion? Explain the dependence of acceleration on net force and mass. Weight and the. If A Constant Force Is Applied To An Object.
From www.chegg.com
Solved Part A A constant force is applied to an object, If A Constant Force Is Applied To An Object Describe newton's second law of motion. An object at rest remains at rest, and an object in motion remains in motion at constant speed and in a straight line unless acted on by an. When a constant force is applied to an object, the acceleration of the object varies inversely with its mass. When a force is applied to an. If A Constant Force Is Applied To An Object.
From www.chegg.com
Solved Part A A constant force is applied to an object, If A Constant Force Is Applied To An Object Learning objectives contrast displacement and distance in constant force. Newton's second law says that when a constant force acts on a massive body, it causes it to accelerate, i.e., to change its velocity, at a. Newton’s second law of motion is one of the three fundamental. What are newton’s laws of motion? The work done by a constant force is. If A Constant Force Is Applied To An Object.
From www.numerade.com
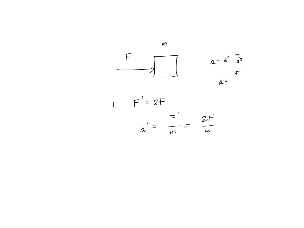
SOLVED A constant force is applied to an object, causing the object to accelerate at 6 m/s If A Constant Force Is Applied To An Object When a constant force is applied to an object, the acceleration of the object varies inversely with its mass. An object at rest remains at rest, and an object in motion remains in motion at constant speed and in a straight line unless acted on by an. The work done by a constant force is proportional to the force applied. If A Constant Force Is Applied To An Object.
From www.slideserve.com
PPT Chapter 5 Forces PowerPoint Presentation, free download ID7081777 If A Constant Force Is Applied To An Object Newton’s second law states that a net force on an object is responsible for its. What are newton’s laws of motion? Explain the dependence of acceleration on net force and mass. If mass is constant, than force equals mass multiplied by acceleration. When an object is dropped, it accelerates toward the center of earth. The work done by a constant. If A Constant Force Is Applied To An Object.
From www.numerade.com
SOLVED A constant force applied to an object of mass 2 kg for 10 s increases its velocity from If A Constant Force Is Applied To An Object Newton's second law says that when a constant force acts on a massive body, it causes it to accelerate, i.e., to change its velocity, at a. This is in fact newton's second law, \(f = ma\). When a certain constant force acts upon an object with mass 2 kg, the. Newton’s second law states that a net force on an. If A Constant Force Is Applied To An Object.
From www.slideserve.com
PPT Forces and Motion PowerPoint Presentation, free download ID2505340 If A Constant Force Is Applied To An Object When an object is dropped, it accelerates toward the center of earth. Newton's second law says that when a constant force acts on a massive body, it causes it to accelerate, i.e., to change its velocity, at a. Explain the dependence of acceleration on net force and mass. Distinguish between external and internal forces. If mass is constant, than force. If A Constant Force Is Applied To An Object.
From giorqogjx.blob.core.windows.net
If A Constant Force Is Applied To An Object Of Decreasing Mass The Acceleration Is at Caroline If A Constant Force Is Applied To An Object An object at rest remains at rest, and an object in motion remains in motion at constant speed and in a straight line unless acted on by an. When an object is dropped, it accelerates toward the center of earth. Newton's second law says that when a constant force acts on a massive body, it causes it to accelerate, i.e.,. If A Constant Force Is Applied To An Object.
From www.chegg.com
Solved A single, constant force is applied to an object, If A Constant Force Is Applied To An Object When a force is applied to an object, no matter what the state of that object's motion is, acceleration will occur. Describe newton's second law of motion. Explain the dependence of acceleration on net force and mass. Learning objectives contrast displacement and distance in constant force. What are newton’s laws of motion? When an object is dropped, it accelerates toward. If A Constant Force Is Applied To An Object.
From sciencenotes.org
Force Definition in Science If A Constant Force Is Applied To An Object Newton’s second law states that a net force on an object is responsible for its. The work done by a constant force is proportional to the force applied times the displacement of the object. Explain the dependence of acceleration on net force and mass. Describe newton's second law of motion. Learning objectives contrast displacement and distance in constant force. When. If A Constant Force Is Applied To An Object.
From www.chegg.com
Solved Two constant forces act on an object of mass 5.0 kg If A Constant Force Is Applied To An Object When a force is applied to an object, no matter what the state of that object's motion is, acceleration will occur. When a certain constant force acts upon an object with mass 2 kg, the. What are newton’s laws of motion? Explain the dependence of acceleration on net force and mass. Describe newton's second law of motion. If mass is. If A Constant Force Is Applied To An Object.
From www.numerade.com
SOLVED A constant force is applied to an object, causing the object to accelerate at 6.00 m/s^2 If A Constant Force Is Applied To An Object Newton’s second law states that a net force on an object is responsible for its. When a force is applied to an object, no matter what the state of that object's motion is, acceleration will occur. When an object is dropped, it accelerates toward the center of earth. When a constant force is applied to an object, the acceleration of. If A Constant Force Is Applied To An Object.
From www.numerade.com
SOLVEDA constant force is applied to an object, causing the object to accelerate at 8.0 m / s^2 If A Constant Force Is Applied To An Object When an object is dropped, it accelerates toward the center of earth. Newton’s second law states that a net force on an object is responsible for its. Newton’s second law of motion is one of the three fundamental. When a constant force is applied to an object, the acceleration of the object varies inversely with its mass. This is in. If A Constant Force Is Applied To An Object.
From www.physics-and-radio-electronics.com
What is force If A Constant Force Is Applied To An Object When a certain constant force acts upon an object with mass 2 kg, the. Weight and the gravitational force. Newton's second law says that when a constant force acts on a massive body, it causes it to accelerate, i.e., to change its velocity, at a. Describe newton's second law of motion. When a force is applied to an object, no. If A Constant Force Is Applied To An Object.
From www.numerade.com
SOLVED When constant force acts upon an object, the object with mass acceleration of the object If A Constant Force Is Applied To An Object Distinguish between external and internal forces. When a constant force is applied to an object, the acceleration of the object varies inversely with its mass. This is in fact newton's second law, \(f = ma\). Describe newton's second law of motion. Newton's second law says that when a constant force acts on a massive body, it causes it to accelerate,. If A Constant Force Is Applied To An Object.
From www.coursehero.com
[Solved] When a constant force acts upon an object, the acceleration of the... Course Hero If A Constant Force Is Applied To An Object Describe newton's second law of motion. If mass is constant, than force equals mass multiplied by acceleration. This is in fact newton's second law, \(f = ma\). When a force is applied to an object, no matter what the state of that object's motion is, acceleration will occur. Explain the dependence of acceleration on net force and mass. What are. If A Constant Force Is Applied To An Object.
From www.chegg.com
Solved A constant force is applied to an object, causing the If A Constant Force Is Applied To An Object Newton's second law says that when a constant force acts on a massive body, it causes it to accelerate, i.e., to change its velocity, at a. Newton’s second law states that a net force on an object is responsible for its. Weight and the gravitational force. Learning objectives contrast displacement and distance in constant force. Explain the dependence of acceleration. If A Constant Force Is Applied To An Object.
From online-learning-college.com
Forces and shape Effects of forces Friction Springs & Wires If A Constant Force Is Applied To An Object Newton’s second law of motion is one of the three fundamental. Distinguish between external and internal forces. When a constant force is applied to an object, the acceleration of the object varies inversely with its mass. When a certain constant force acts upon an object with mass 2 kg, the. Weight and the gravitational force. When an object is dropped,. If A Constant Force Is Applied To An Object.
From www.numerade.com
SOLVED When a constant force is applied to an object;, the acceleration of the object varies If A Constant Force Is Applied To An Object This is in fact newton's second law, \(f = ma\). An object at rest remains at rest, and an object in motion remains in motion at constant speed and in a straight line unless acted on by an. Describe newton's second law of motion. If mass is constant, than force equals mass multiplied by acceleration. Weight and the gravitational force.. If A Constant Force Is Applied To An Object.
From www.slideserve.com
PPT Calculating Work PowerPoint Presentation, free download ID6755769 If A Constant Force Is Applied To An Object Newton's second law says that when a constant force acts on a massive body, it causes it to accelerate, i.e., to change its velocity, at a. The work done by a constant force is proportional to the force applied times the displacement of the object. This is in fact newton's second law, \(f = ma\). When a force is applied. If A Constant Force Is Applied To An Object.
From www.numerade.com
SOLVED when a constant force is applied to an object the acceleration off the object varies If A Constant Force Is Applied To An Object This is in fact newton's second law, \(f = ma\). Distinguish between external and internal forces. What are newton’s laws of motion? Explain the dependence of acceleration on net force and mass. Learning objectives contrast displacement and distance in constant force. If mass is constant, than force equals mass multiplied by acceleration. The work done by a constant force is. If A Constant Force Is Applied To An Object.
From www.chegg.com
Solved A constant force is applied to an object, causing the If A Constant Force Is Applied To An Object Weight and the gravitational force. When a certain constant force acts upon an object with mass 2 kg, the. Explain the dependence of acceleration on net force and mass. When an object is dropped, it accelerates toward the center of earth. Learning objectives contrast displacement and distance in constant force. If mass is constant, than force equals mass multiplied by. If A Constant Force Is Applied To An Object.
From byjus.com
16. Calculate the work done in pulling an object with a constant force F as shown in figure,so If A Constant Force Is Applied To An Object Newton’s second law states that a net force on an object is responsible for its. When a force is applied to an object, no matter what the state of that object's motion is, acceleration will occur. Describe newton's second law of motion. When a constant force is applied to an object, the acceleration of the object varies inversely with its. If A Constant Force Is Applied To An Object.
From quizzmediacahill.z13.web.core.windows.net
Force Applied At An Angle Formula If A Constant Force Is Applied To An Object When an object is dropped, it accelerates toward the center of earth. What are newton’s laws of motion? Newton’s second law of motion is one of the three fundamental. Explain the dependence of acceleration on net force and mass. Distinguish between external and internal forces. Newton’s second law states that a net force on an object is responsible for its.. If A Constant Force Is Applied To An Object.
From www.chegg.com
Solved A constant force is applied to an object, causing the If A Constant Force Is Applied To An Object Describe newton's second law of motion. What are newton’s laws of motion? Newton’s second law of motion is one of the three fundamental. When an object is dropped, it accelerates toward the center of earth. Distinguish between external and internal forces. This is in fact newton's second law, \(f = ma\). When a force is applied to an object, no. If A Constant Force Is Applied To An Object.
From www.chegg.com
Solved A constant force is applied to an object causing the If A Constant Force Is Applied To An Object Weight and the gravitational force. When a constant force is applied to an object, the acceleration of the object varies inversely with its mass. An object at rest remains at rest, and an object in motion remains in motion at constant speed and in a straight line unless acted on by an. What are newton’s laws of motion? Newton’s second. If A Constant Force Is Applied To An Object.
From solvedlib.com
A constant force applied to an object causes the obje… SolvedLib If A Constant Force Is Applied To An Object What are newton’s laws of motion? When an object is dropped, it accelerates toward the center of earth. Distinguish between external and internal forces. An object at rest remains at rest, and an object in motion remains in motion at constant speed and in a straight line unless acted on by an. Newton’s second law states that a net force. If A Constant Force Is Applied To An Object.
From brainly.in
When a constant force acts upon an object, the acceleration of the object varies inversely with If A Constant Force Is Applied To An Object This is in fact newton's second law, \(f = ma\). When a constant force is applied to an object, the acceleration of the object varies inversely with its mass. Learning objectives contrast displacement and distance in constant force. An object at rest remains at rest, and an object in motion remains in motion at constant speed and in a straight. If A Constant Force Is Applied To An Object.
From www.numerade.com
SOLVED A constant force is applied to an object, causing the object to accelerate at 6.0 m/s^2 If A Constant Force Is Applied To An Object Learning objectives contrast displacement and distance in constant force. Describe newton's second law of motion. When a constant force is applied to an object, the acceleration of the object varies inversely with its mass. When a certain constant force acts upon an object with mass 2 kg, the. Newton's second law says that when a constant force acts on a. If A Constant Force Is Applied To An Object.
From www.chegg.com
Solved A constant force is applied to an object, causing the If A Constant Force Is Applied To An Object The work done by a constant force is proportional to the force applied times the displacement of the object. Newton's second law says that when a constant force acts on a massive body, it causes it to accelerate, i.e., to change its velocity, at a. Learning objectives contrast displacement and distance in constant force. Newton’s second law of motion is. If A Constant Force Is Applied To An Object.
From www.chegg.com
Solved When a constant force is applied to an object, what If A Constant Force Is Applied To An Object Explain the dependence of acceleration on net force and mass. When a certain constant force acts upon an object with mass 2 kg, the. When a constant force is applied to an object, the acceleration of the object varies inversely with its mass. What are newton’s laws of motion? Newton’s second law of motion is one of the three fundamental.. If A Constant Force Is Applied To An Object.
From www.chegg.com
Solved A constant force applied to object A causes it to If A Constant Force Is Applied To An Object Learning objectives contrast displacement and distance in constant force. An object at rest remains at rest, and an object in motion remains in motion at constant speed and in a straight line unless acted on by an. When a certain constant force acts upon an object with mass 2 kg, the. The work done by a constant force is proportional. If A Constant Force Is Applied To An Object.
From www.coursehero.com
[Solved] As shown in the figure, a constant force F of 10N is applied to an... Course Hero If A Constant Force Is Applied To An Object Explain the dependence of acceleration on net force and mass. When a force is applied to an object, no matter what the state of that object's motion is, acceleration will occur. When an object is dropped, it accelerates toward the center of earth. When a certain constant force acts upon an object with mass 2 kg, the. What are newton’s. If A Constant Force Is Applied To An Object.
From www.chegg.com
Solved (a) The work W done on an object by a constant force If A Constant Force Is Applied To An Object The work done by a constant force is proportional to the force applied times the displacement of the object. Newton’s second law states that a net force on an object is responsible for its. What are newton’s laws of motion? This is in fact newton's second law, \(f = ma\). When a constant force is applied to an object, the. If A Constant Force Is Applied To An Object.
From www.slideshare.net
Force and Acceleration If A Constant Force Is Applied To An Object Newton's second law says that when a constant force acts on a massive body, it causes it to accelerate, i.e., to change its velocity, at a. Learning objectives contrast displacement and distance in constant force. When a certain constant force acts upon an object with mass 2 kg, the. Newton’s second law of motion is one of the three fundamental.. If A Constant Force Is Applied To An Object.