Calculate Polytropic Exponent . standard thermodynamic quantities are easily calculated for polytropic processes. in practice most expansion and compression processes are somewhere in between, or said to be polytropic. (16.11) p v n = c. Where p is the pressure, v is specific volume, n is the polytropic index, and c is a constant. For example, pv = p1v1 = p2v2 can be. ) adiabatic (isentropic) process (pvk = constant p v k = c o n s t a n t. a polytropic process takes the general form of the common thermodynamic processes, and is de ned. Isothermal process (pv = constant p v = c o n s t a n t.
from criticalthinking.cloud
(16.11) p v n = c. a polytropic process takes the general form of the common thermodynamic processes, and is de ned. in practice most expansion and compression processes are somewhere in between, or said to be polytropic. Where p is the pressure, v is specific volume, n is the polytropic index, and c is a constant. ) adiabatic (isentropic) process (pvk = constant p v k = c o n s t a n t. For example, pv = p1v1 = p2v2 can be. standard thermodynamic quantities are easily calculated for polytropic processes. Isothermal process (pv = constant p v = c o n s t a n t.
second law of thermodynamics solved problems pdf
Calculate Polytropic Exponent in practice most expansion and compression processes are somewhere in between, or said to be polytropic. Isothermal process (pv = constant p v = c o n s t a n t. Where p is the pressure, v is specific volume, n is the polytropic index, and c is a constant. in practice most expansion and compression processes are somewhere in between, or said to be polytropic. a polytropic process takes the general form of the common thermodynamic processes, and is de ned. For example, pv = p1v1 = p2v2 can be. (16.11) p v n = c. standard thermodynamic quantities are easily calculated for polytropic processes. ) adiabatic (isentropic) process (pvk = constant p v k = c o n s t a n t.
From www.scribd.com
How To Calculate Polytropic Efficiency PDF Heat Mechanics Calculate Polytropic Exponent standard thermodynamic quantities are easily calculated for polytropic processes. in practice most expansion and compression processes are somewhere in between, or said to be polytropic. a polytropic process takes the general form of the common thermodynamic processes, and is de ned. Isothermal process (pv = constant p v = c o n s t a n t.. Calculate Polytropic Exponent.
From www.numerade.com
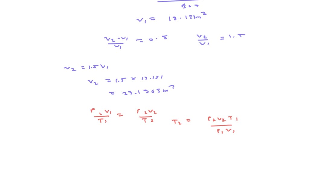
SOLVED QUESTION 5 (15 marks) Air at 98 kPa and 21C is steadily Calculate Polytropic Exponent a polytropic process takes the general form of the common thermodynamic processes, and is de ned. ) adiabatic (isentropic) process (pvk = constant p v k = c o n s t a n t. For example, pv = p1v1 = p2v2 can be. Where p is the pressure, v is specific volume, n is the polytropic index, and. Calculate Polytropic Exponent.
From www.researchgate.net
Scaling exponent of the selfsimilar collapse as a function of the Calculate Polytropic Exponent standard thermodynamic quantities are easily calculated for polytropic processes. in practice most expansion and compression processes are somewhere in between, or said to be polytropic. a polytropic process takes the general form of the common thermodynamic processes, and is de ned. Where p is the pressure, v is specific volume, n is the polytropic index, and c. Calculate Polytropic Exponent.
From exyxfgfje.blob.core.windows.net
Calculate The Exponential Of A Matrix at Daniel Gregory blog Calculate Polytropic Exponent a polytropic process takes the general form of the common thermodynamic processes, and is de ned. (16.11) p v n = c. in practice most expansion and compression processes are somewhere in between, or said to be polytropic. standard thermodynamic quantities are easily calculated for polytropic processes. Isothermal process (pv = constant p v = c. Calculate Polytropic Exponent.
From www.numerade.com
SOLVED Nitrogen gas enters a steadyflow expander at 800 kPa, 300^∘ C Calculate Polytropic Exponent Where p is the pressure, v is specific volume, n is the polytropic index, and c is a constant. in practice most expansion and compression processes are somewhere in between, or said to be polytropic. Isothermal process (pv = constant p v = c o n s t a n t. a polytropic process takes the general form. Calculate Polytropic Exponent.
From www.youtube.com
Example Computing polytropic index of process YouTube Calculate Polytropic Exponent standard thermodynamic quantities are easily calculated for polytropic processes. in practice most expansion and compression processes are somewhere in between, or said to be polytropic. ) adiabatic (isentropic) process (pvk = constant p v k = c o n s t a n t. (16.11) p v n = c. a polytropic process takes the general. Calculate Polytropic Exponent.
From www.numerade.com
SOLVED Consider a pistoncylinder device that contains argon gas. The Calculate Polytropic Exponent For example, pv = p1v1 = p2v2 can be. (16.11) p v n = c. in practice most expansion and compression processes are somewhere in between, or said to be polytropic. Isothermal process (pv = constant p v = c o n s t a n t. standard thermodynamic quantities are easily calculated for polytropic processes. Where. Calculate Polytropic Exponent.
From www.youtube.com
Thermodynamics 42 Moving Boundary Work in a polytropic process YouTube Calculate Polytropic Exponent standard thermodynamic quantities are easily calculated for polytropic processes. For example, pv = p1v1 = p2v2 can be. Where p is the pressure, v is specific volume, n is the polytropic index, and c is a constant. (16.11) p v n = c. Isothermal process (pv = constant p v = c o n s t a n. Calculate Polytropic Exponent.
From www.tec-science.com
Polytropic process in a closed system tecscience Calculate Polytropic Exponent in practice most expansion and compression processes are somewhere in between, or said to be polytropic. a polytropic process takes the general form of the common thermodynamic processes, and is de ned. standard thermodynamic quantities are easily calculated for polytropic processes. ) adiabatic (isentropic) process (pvk = constant p v k = c o n s t. Calculate Polytropic Exponent.
From www.chegg.com
Solved 3.4.2 For Compression Process B (a) Calculate a Calculate Polytropic Exponent Where p is the pressure, v is specific volume, n is the polytropic index, and c is a constant. (16.11) p v n = c. standard thermodynamic quantities are easily calculated for polytropic processes. For example, pv = p1v1 = p2v2 can be. in practice most expansion and compression processes are somewhere in between, or said to. Calculate Polytropic Exponent.
From www.numerade.com
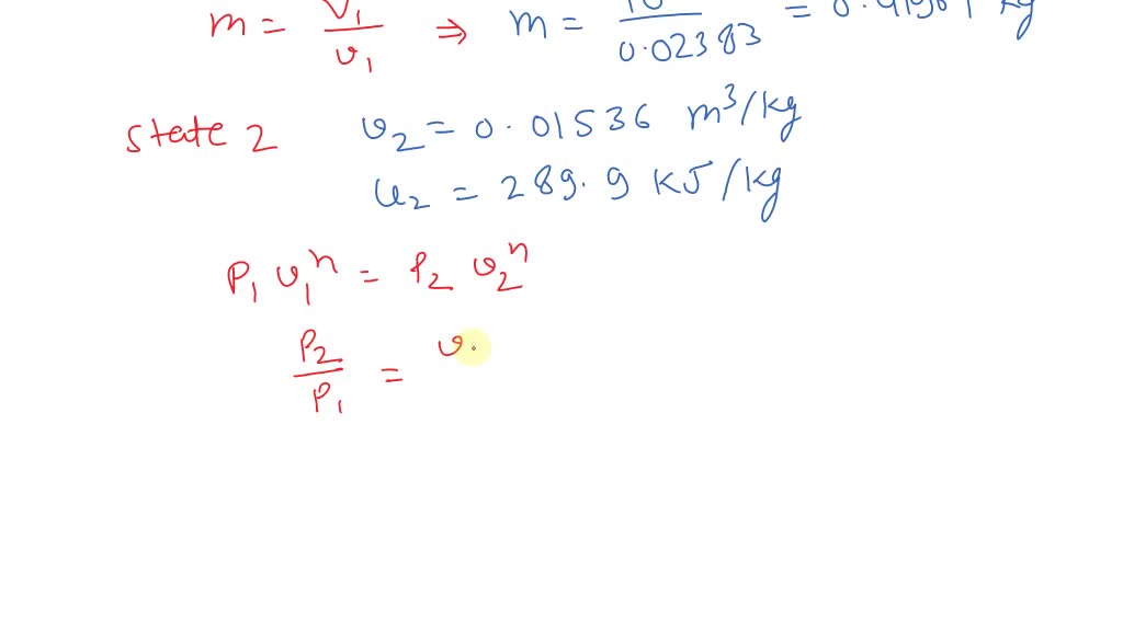
SOLVED 1.5 kg of helium is located in a pistoncylinder system Calculate Polytropic Exponent a polytropic process takes the general form of the common thermodynamic processes, and is de ned. Where p is the pressure, v is specific volume, n is the polytropic index, and c is a constant. standard thermodynamic quantities are easily calculated for polytropic processes. Isothermal process (pv = constant p v = c o n s t a. Calculate Polytropic Exponent.
From www.chegg.com
Solved 957 An ideal diesel engine has a compression ratio Calculate Polytropic Exponent (16.11) p v n = c. Where p is the pressure, v is specific volume, n is the polytropic index, and c is a constant. a polytropic process takes the general form of the common thermodynamic processes, and is de ned. ) adiabatic (isentropic) process (pvk = constant p v k = c o n s t a. Calculate Polytropic Exponent.
From www.youtube.com
POLYTROPIC PROCESS THERMODYNAMIC DERIVATION OF POLYTROPIC PROCESS Calculate Polytropic Exponent in practice most expansion and compression processes are somewhere in between, or said to be polytropic. For example, pv = p1v1 = p2v2 can be. a polytropic process takes the general form of the common thermodynamic processes, and is de ned. ) adiabatic (isentropic) process (pvk = constant p v k = c o n s t a. Calculate Polytropic Exponent.
From www.researchgate.net
The polytropic exponent as a function of the initial molar fraction Calculate Polytropic Exponent (16.11) p v n = c. standard thermodynamic quantities are easily calculated for polytropic processes. For example, pv = p1v1 = p2v2 can be. a polytropic process takes the general form of the common thermodynamic processes, and is de ned. in practice most expansion and compression processes are somewhere in between, or said to be polytropic.. Calculate Polytropic Exponent.
From www.youtube.com
Work Expressions for POLYTROPIC Processes in 10 Minutes! YouTube Calculate Polytropic Exponent Isothermal process (pv = constant p v = c o n s t a n t. (16.11) p v n = c. in practice most expansion and compression processes are somewhere in between, or said to be polytropic. For example, pv = p1v1 = p2v2 can be. Where p is the pressure, v is specific volume, n is. Calculate Polytropic Exponent.
From www.pinterest.com
Formula for Exponent and Power Hello !!! Students... Here are some Calculate Polytropic Exponent Where p is the pressure, v is specific volume, n is the polytropic index, and c is a constant. standard thermodynamic quantities are easily calculated for polytropic processes. (16.11) p v n = c. Isothermal process (pv = constant p v = c o n s t a n t. a polytropic process takes the general form. Calculate Polytropic Exponent.
From mavink.com
Polytropic Process Formula Calculate Polytropic Exponent Isothermal process (pv = constant p v = c o n s t a n t. (16.11) p v n = c. standard thermodynamic quantities are easily calculated for polytropic processes. For example, pv = p1v1 = p2v2 can be. a polytropic process takes the general form of the common thermodynamic processes, and is de ned. Where. Calculate Polytropic Exponent.
From www.numerade.com
SOLVED A perfect gas with a mass of 2 kg is expanded to 3 times its Calculate Polytropic Exponent a polytropic process takes the general form of the common thermodynamic processes, and is de ned. Where p is the pressure, v is specific volume, n is the polytropic index, and c is a constant. in practice most expansion and compression processes are somewhere in between, or said to be polytropic. ) adiabatic (isentropic) process (pvk = constant. Calculate Polytropic Exponent.
From mavink.com
Polytropic Work Equation Calculate Polytropic Exponent Where p is the pressure, v is specific volume, n is the polytropic index, and c is a constant. (16.11) p v n = c. For example, pv = p1v1 = p2v2 can be. a polytropic process takes the general form of the common thermodynamic processes, and is de ned. ) adiabatic (isentropic) process (pvk = constant p. Calculate Polytropic Exponent.
From www.youtube.com
Thermodynamics Lecture 10 Polytropic Processes YouTube Calculate Polytropic Exponent in practice most expansion and compression processes are somewhere in between, or said to be polytropic. (16.11) p v n = c. Where p is the pressure, v is specific volume, n is the polytropic index, and c is a constant. For example, pv = p1v1 = p2v2 can be. ) adiabatic (isentropic) process (pvk = constant p. Calculate Polytropic Exponent.
From mavink.com
Polytropic Work Equation Calculate Polytropic Exponent ) adiabatic (isentropic) process (pvk = constant p v k = c o n s t a n t. Where p is the pressure, v is specific volume, n is the polytropic index, and c is a constant. Isothermal process (pv = constant p v = c o n s t a n t. a polytropic process takes the. Calculate Polytropic Exponent.
From www.researchgate.net
Pressure p, polytropic exponent np\documentclass[12pt]{minimal Calculate Polytropic Exponent Where p is the pressure, v is specific volume, n is the polytropic index, and c is a constant. in practice most expansion and compression processes are somewhere in between, or said to be polytropic. standard thermodynamic quantities are easily calculated for polytropic processes. a polytropic process takes the general form of the common thermodynamic processes, and. Calculate Polytropic Exponent.
From criticalthinking.cloud
second law of thermodynamics solved problems pdf Calculate Polytropic Exponent standard thermodynamic quantities are easily calculated for polytropic processes. in practice most expansion and compression processes are somewhere in between, or said to be polytropic. Isothermal process (pv = constant p v = c o n s t a n t. ) adiabatic (isentropic) process (pvk = constant p v k = c o n s t a. Calculate Polytropic Exponent.
From www.researchgate.net
Polytropic index in the frequency domain obtained with the analytical Calculate Polytropic Exponent (16.11) p v n = c. a polytropic process takes the general form of the common thermodynamic processes, and is de ned. Where p is the pressure, v is specific volume, n is the polytropic index, and c is a constant. For example, pv = p1v1 = p2v2 can be. standard thermodynamic quantities are easily calculated for. Calculate Polytropic Exponent.
From www.eigenplus.com
Polytropic process Equation, Work done Explanation eigenplus Calculate Polytropic Exponent a polytropic process takes the general form of the common thermodynamic processes, and is de ned. (16.11) p v n = c. Where p is the pressure, v is specific volume, n is the polytropic index, and c is a constant. Isothermal process (pv = constant p v = c o n s t a n t. . Calculate Polytropic Exponent.
From www.numerade.com
SOLVEDAir goes through a polytropic process from 125 kPa and 325 K to Calculate Polytropic Exponent standard thermodynamic quantities are easily calculated for polytropic processes. (16.11) p v n = c. Isothermal process (pv = constant p v = c o n s t a n t. ) adiabatic (isentropic) process (pvk = constant p v k = c o n s t a n t. a polytropic process takes the general form. Calculate Polytropic Exponent.
From www.chegg.com
Solved 13 Someone has suggested that the airstandard Otto Calculate Polytropic Exponent ) adiabatic (isentropic) process (pvk = constant p v k = c o n s t a n t. For example, pv = p1v1 = p2v2 can be. standard thermodynamic quantities are easily calculated for polytropic processes. a polytropic process takes the general form of the common thermodynamic processes, and is de ned. Isothermal process (pv = constant. Calculate Polytropic Exponent.
From www.tec-science.com
Polytropic process in a closed system tecscience Calculate Polytropic Exponent ) adiabatic (isentropic) process (pvk = constant p v k = c o n s t a n t. a polytropic process takes the general form of the common thermodynamic processes, and is de ned. For example, pv = p1v1 = p2v2 can be. (16.11) p v n = c. Isothermal process (pv = constant p v =. Calculate Polytropic Exponent.
From www.numerade.com
SOLVED A closed system consisting of 10 lb of air undergoes a Calculate Polytropic Exponent a polytropic process takes the general form of the common thermodynamic processes, and is de ned. For example, pv = p1v1 = p2v2 can be. (16.11) p v n = c. ) adiabatic (isentropic) process (pvk = constant p v k = c o n s t a n t. Where p is the pressure, v is specific. Calculate Polytropic Exponent.
From studylib.net
Problem A pistoncylinder device contains 0.15 kg of air initially at 2 Calculate Polytropic Exponent ) adiabatic (isentropic) process (pvk = constant p v k = c o n s t a n t. Isothermal process (pv = constant p v = c o n s t a n t. in practice most expansion and compression processes are somewhere in between, or said to be polytropic. For example, pv = p1v1 = p2v2 can. Calculate Polytropic Exponent.
From www.numerade.com
SOLVEDA cylinder/piston contains saturated vapor R410 a at 10^∘ C Calculate Polytropic Exponent a polytropic process takes the general form of the common thermodynamic processes, and is de ned. Where p is the pressure, v is specific volume, n is the polytropic index, and c is a constant. in practice most expansion and compression processes are somewhere in between, or said to be polytropic. (16.11) p v n = c.. Calculate Polytropic Exponent.
From www.youtube.com
Polytropic processes for an ideal gas YouTube Calculate Polytropic Exponent Where p is the pressure, v is specific volume, n is the polytropic index, and c is a constant. standard thermodynamic quantities are easily calculated for polytropic processes. in practice most expansion and compression processes are somewhere in between, or said to be polytropic. For example, pv = p1v1 = p2v2 can be. (16.11) p v n. Calculate Polytropic Exponent.
From mavink.com
Polytropic Work Equation Calculate Polytropic Exponent standard thermodynamic quantities are easily calculated for polytropic processes. Isothermal process (pv = constant p v = c o n s t a n t. a polytropic process takes the general form of the common thermodynamic processes, and is de ned. Where p is the pressure, v is specific volume, n is the polytropic index, and c is. Calculate Polytropic Exponent.
From mechanicalenotes.com
Laws of Thermodynamics [Zeroth, First, Second & Third] (PDF) Calculate Polytropic Exponent For example, pv = p1v1 = p2v2 can be. standard thermodynamic quantities are easily calculated for polytropic processes. in practice most expansion and compression processes are somewhere in between, or said to be polytropic. Isothermal process (pv = constant p v = c o n s t a n t. Where p is the pressure, v is specific. Calculate Polytropic Exponent.
From www.researchgate.net
Variation of the polytropic exponent with the nondimensional volume of Calculate Polytropic Exponent standard thermodynamic quantities are easily calculated for polytropic processes. For example, pv = p1v1 = p2v2 can be. in practice most expansion and compression processes are somewhere in between, or said to be polytropic. Where p is the pressure, v is specific volume, n is the polytropic index, and c is a constant. a polytropic process takes. Calculate Polytropic Exponent.