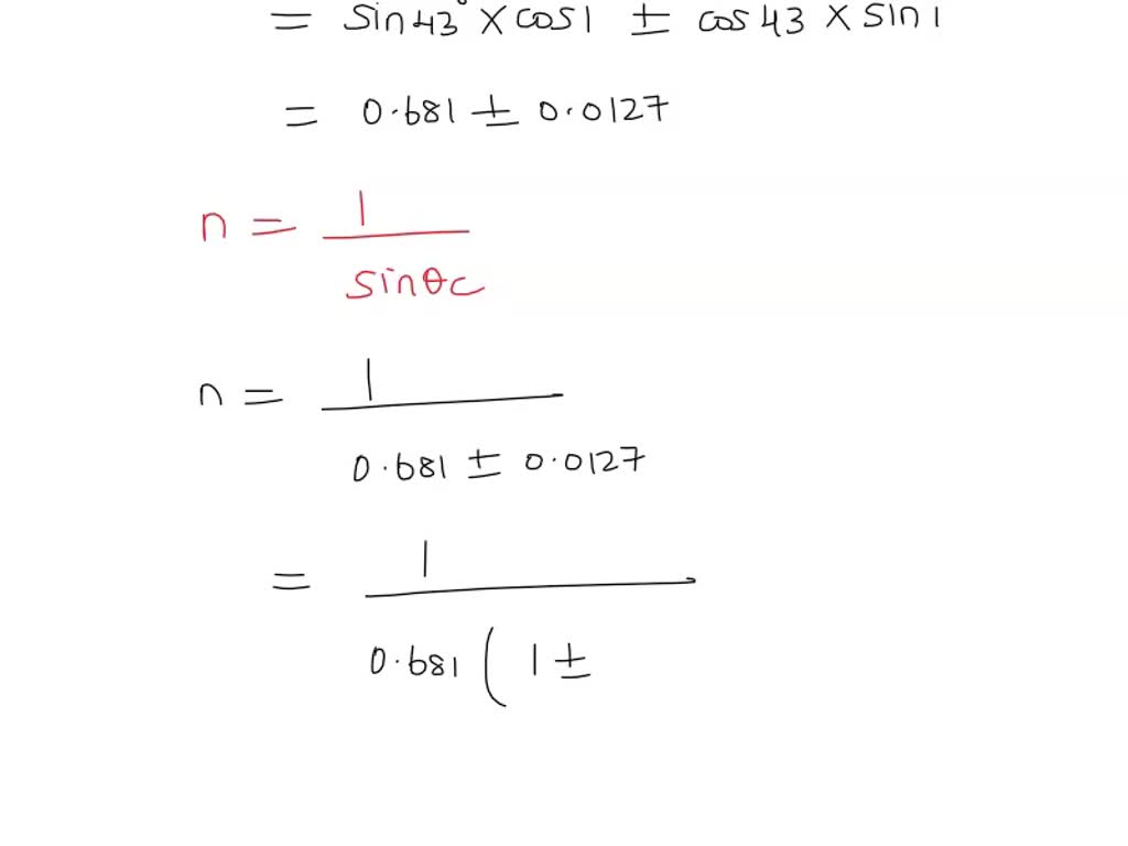
Total Internal Reflection N1 N2 . Tir only takes place when. The light ray can actually bend so much that it never. N 1 is the refractive index in medium 1. An interesting case of refraction can occur when light travels from a medium of larger to smaller index. The smallest angle of incidence at which total internal reflection occurs is called the critical angle, qc. Using snell’s law, n1 sinqθ i = n2 sin(90°) = n2. What are the conditions of total internal reflection? Total internal reflection is a phenomenon that occurs at the boundary between two mediums, such that if the incident angle in the first medium is greater than the critical angle, then all the. N 2 is the refractive index in medium 2. Total internal reflection occurs only if light travels from a medium of high index of refraction to a medium of low index of refraction. Total internal reflection (tir) is the phenomenon that involves the reflection of all the incident light off the boundary. Θ is the critical angle. Total internal reflection (tir) is a phenomenon that occurs when an electromagnetic wave, such as light, travels from a medium with.
from www.animalia-life.club
Using snell’s law, n1 sinqθ i = n2 sin(90°) = n2. Total internal reflection is a phenomenon that occurs at the boundary between two mediums, such that if the incident angle in the first medium is greater than the critical angle, then all the. Total internal reflection occurs only if light travels from a medium of high index of refraction to a medium of low index of refraction. Θ is the critical angle. Total internal reflection (tir) is a phenomenon that occurs when an electromagnetic wave, such as light, travels from a medium with. Total internal reflection (tir) is the phenomenon that involves the reflection of all the incident light off the boundary. N 2 is the refractive index in medium 2. Tir only takes place when. The smallest angle of incidence at which total internal reflection occurs is called the critical angle, qc. The light ray can actually bend so much that it never.
Total Internal Reflection Ray Diagram
Total Internal Reflection N1 N2 Using snell’s law, n1 sinqθ i = n2 sin(90°) = n2. Total internal reflection (tir) is a phenomenon that occurs when an electromagnetic wave, such as light, travels from a medium with. Total internal reflection occurs only if light travels from a medium of high index of refraction to a medium of low index of refraction. What are the conditions of total internal reflection? Tir only takes place when. The light ray can actually bend so much that it never. Using snell’s law, n1 sinqθ i = n2 sin(90°) = n2. N 1 is the refractive index in medium 1. The smallest angle of incidence at which total internal reflection occurs is called the critical angle, qc. Θ is the critical angle. N 2 is the refractive index in medium 2. Total internal reflection (tir) is the phenomenon that involves the reflection of all the incident light off the boundary. An interesting case of refraction can occur when light travels from a medium of larger to smaller index. Total internal reflection is a phenomenon that occurs at the boundary between two mediums, such that if the incident angle in the first medium is greater than the critical angle, then all the.
From www.slideserve.com
PPT Superconductivity and Optical fibers PowerPoint Presentation Total Internal Reflection N1 N2 Total internal reflection is a phenomenon that occurs at the boundary between two mediums, such that if the incident angle in the first medium is greater than the critical angle, then all the. N 2 is the refractive index in medium 2. N 1 is the refractive index in medium 1. Total internal reflection (tir) is a phenomenon that occurs. Total Internal Reflection N1 N2.
From studylib.net
RAY THEORY Total Internal Reflection N1 N2 An interesting case of refraction can occur when light travels from a medium of larger to smaller index. What are the conditions of total internal reflection? Total internal reflection is a phenomenon that occurs at the boundary between two mediums, such that if the incident angle in the first medium is greater than the critical angle, then all the. Total. Total Internal Reflection N1 N2.
From www.numerade.com
A technician performs an experiment on a glass slap and finds that the Total Internal Reflection N1 N2 What are the conditions of total internal reflection? Total internal reflection (tir) is the phenomenon that involves the reflection of all the incident light off the boundary. Total internal reflection (tir) is a phenomenon that occurs when an electromagnetic wave, such as light, travels from a medium with. N 2 is the refractive index in medium 2. Using snell’s law,. Total Internal Reflection N1 N2.
From wiringall.com
Total Internal Reflection Diagram Understanding the Basics of Light Total Internal Reflection N1 N2 The light ray can actually bend so much that it never. Using snell’s law, n1 sinqθ i = n2 sin(90°) = n2. What are the conditions of total internal reflection? Total internal reflection (tir) is a phenomenon that occurs when an electromagnetic wave, such as light, travels from a medium with. N 1 is the refractive index in medium 1.. Total Internal Reflection N1 N2.
From www.vedantu.com
Explain total internal reflection with diagram. Total Internal Reflection N1 N2 Total internal reflection (tir) is a phenomenon that occurs when an electromagnetic wave, such as light, travels from a medium with. Total internal reflection (tir) is the phenomenon that involves the reflection of all the incident light off the boundary. N 1 is the refractive index in medium 1. Θ is the critical angle. Total internal reflection is a phenomenon. Total Internal Reflection N1 N2.
From www.numerade.com
SOLVED For the optical fiber shown in the figure, find the minimum Total Internal Reflection N1 N2 Total internal reflection is a phenomenon that occurs at the boundary between two mediums, such that if the incident angle in the first medium is greater than the critical angle, then all the. Total internal reflection (tir) is the phenomenon that involves the reflection of all the incident light off the boundary. Total internal reflection (tir) is a phenomenon that. Total Internal Reflection N1 N2.
From slideplayer.com
L 32 Light and Optics [2] Measurements of the speed of light ppt download Total Internal Reflection N1 N2 Total internal reflection occurs only if light travels from a medium of high index of refraction to a medium of low index of refraction. Total internal reflection is a phenomenon that occurs at the boundary between two mediums, such that if the incident angle in the first medium is greater than the critical angle, then all the. The smallest angle. Total Internal Reflection N1 N2.
From courses.lumenlearning.com
Total Internal Reflection Physics Total Internal Reflection N1 N2 Θ is the critical angle. What are the conditions of total internal reflection? Using snell’s law, n1 sinqθ i = n2 sin(90°) = n2. N 2 is the refractive index in medium 2. An interesting case of refraction can occur when light travels from a medium of larger to smaller index. Total internal reflection is a phenomenon that occurs at. Total Internal Reflection N1 N2.
From www.numerade.com
SOLVEDTotal Internal Reflection In Fig. 3358, light from ray A Total Internal Reflection N1 N2 Total internal reflection (tir) is the phenomenon that involves the reflection of all the incident light off the boundary. The smallest angle of incidence at which total internal reflection occurs is called the critical angle, qc. N 1 is the refractive index in medium 1. Total internal reflection (tir) is a phenomenon that occurs when an electromagnetic wave, such as. Total Internal Reflection N1 N2.
From www.slideserve.com
PPT Lasers & Fiber Optics PowerPoint Presentation, free download ID Total Internal Reflection N1 N2 N 2 is the refractive index in medium 2. Total internal reflection (tir) is a phenomenon that occurs when an electromagnetic wave, such as light, travels from a medium with. Tir only takes place when. N 1 is the refractive index in medium 1. The smallest angle of incidence at which total internal reflection occurs is called the critical angle,. Total Internal Reflection N1 N2.
From www.chegg.com
Solved Problem 2 Consider the case of total internal Total Internal Reflection N1 N2 What are the conditions of total internal reflection? Total internal reflection (tir) is a phenomenon that occurs when an electromagnetic wave, such as light, travels from a medium with. Total internal reflection occurs only if light travels from a medium of high index of refraction to a medium of low index of refraction. N 1 is the refractive index in. Total Internal Reflection N1 N2.
From slideplayer.com
Reflection and Refraction ppt download Total Internal Reflection N1 N2 Using snell’s law, n1 sinqθ i = n2 sin(90°) = n2. N 1 is the refractive index in medium 1. An interesting case of refraction can occur when light travels from a medium of larger to smaller index. Total internal reflection occurs only if light travels from a medium of high index of refraction to a medium of low index. Total Internal Reflection N1 N2.
From www.slideserve.com
PPT Optics PowerPoint Presentation, free download ID5431538 Total Internal Reflection N1 N2 N 1 is the refractive index in medium 1. The smallest angle of incidence at which total internal reflection occurs is called the critical angle, qc. Total internal reflection (tir) is the phenomenon that involves the reflection of all the incident light off the boundary. Using snell’s law, n1 sinqθ i = n2 sin(90°) = n2. Θ is the critical. Total Internal Reflection N1 N2.
From www.rkm.com.au
Scientific Animation Total Internal Reflection by Russell Kightley Media Total Internal Reflection N1 N2 Θ is the critical angle. Total internal reflection (tir) is the phenomenon that involves the reflection of all the incident light off the boundary. What are the conditions of total internal reflection? Total internal reflection is a phenomenon that occurs at the boundary between two mediums, such that if the incident angle in the first medium is greater than the. Total Internal Reflection N1 N2.
From www.slideserve.com
PPT Optics Reflection, Refraction & Total Internal Reflection Total Internal Reflection N1 N2 The smallest angle of incidence at which total internal reflection occurs is called the critical angle, qc. Total internal reflection is a phenomenon that occurs at the boundary between two mediums, such that if the incident angle in the first medium is greater than the critical angle, then all the. Tir only takes place when. Total internal reflection (tir) is. Total Internal Reflection N1 N2.
From www.numerade.com
SOLVED For the optical fiber shown in the figure, find the minimum Total Internal Reflection N1 N2 Total internal reflection (tir) is a phenomenon that occurs when an electromagnetic wave, such as light, travels from a medium with. The smallest angle of incidence at which total internal reflection occurs is called the critical angle, qc. N 1 is the refractive index in medium 1. N 2 is the refractive index in medium 2. Total internal reflection occurs. Total Internal Reflection N1 N2.
From www.slideserve.com
PPT Optics PowerPoint Presentation, free download ID5431538 Total Internal Reflection N1 N2 An interesting case of refraction can occur when light travels from a medium of larger to smaller index. N 1 is the refractive index in medium 1. The smallest angle of incidence at which total internal reflection occurs is called the critical angle, qc. What are the conditions of total internal reflection? Using snell’s law, n1 sinqθ i = n2. Total Internal Reflection N1 N2.
From slideplayer.com
Refraction. ppt download Total Internal Reflection N1 N2 Using snell’s law, n1 sinqθ i = n2 sin(90°) = n2. Total internal reflection (tir) is a phenomenon that occurs when an electromagnetic wave, such as light, travels from a medium with. What are the conditions of total internal reflection? An interesting case of refraction can occur when light travels from a medium of larger to smaller index. The smallest. Total Internal Reflection N1 N2.
From www.numerade.com
SOLVEDTotal Internal Reflection In Fig. 3359, light initially in Total Internal Reflection N1 N2 Tir only takes place when. Total internal reflection occurs only if light travels from a medium of high index of refraction to a medium of low index of refraction. N 1 is the refractive index in medium 1. The smallest angle of incidence at which total internal reflection occurs is called the critical angle, qc. N 2 is the refractive. Total Internal Reflection N1 N2.
From slideplayer.com
Chapter 33 Lenses and Optical Instruments ppt download Total Internal Reflection N1 N2 Tir only takes place when. Total internal reflection is a phenomenon that occurs at the boundary between two mediums, such that if the incident angle in the first medium is greater than the critical angle, then all the. N 1 is the refractive index in medium 1. Total internal reflection (tir) is the phenomenon that involves the reflection of all. Total Internal Reflection N1 N2.
From slideplayer.com
waves ppt download Total Internal Reflection N1 N2 Total internal reflection occurs only if light travels from a medium of high index of refraction to a medium of low index of refraction. Total internal reflection (tir) is the phenomenon that involves the reflection of all the incident light off the boundary. The light ray can actually bend so much that it never. N 1 is the refractive index. Total Internal Reflection N1 N2.
From www.chegg.com
Solved 1. Why does total internal reflection require n1>n2 ? Total Internal Reflection N1 N2 Total internal reflection occurs only if light travels from a medium of high index of refraction to a medium of low index of refraction. What are the conditions of total internal reflection? The light ray can actually bend so much that it never. Tir only takes place when. Using snell’s law, n1 sinqθ i = n2 sin(90°) = n2. N. Total Internal Reflection N1 N2.
From slideplayer.com
Physics 1202 Lecture 18 Today’s Agenda ppt download Total Internal Reflection N1 N2 Total internal reflection is a phenomenon that occurs at the boundary between two mediums, such that if the incident angle in the first medium is greater than the critical angle, then all the. Tir only takes place when. An interesting case of refraction can occur when light travels from a medium of larger to smaller index. Total internal reflection (tir). Total Internal Reflection N1 N2.
From www.animalia-life.club
Total Internal Reflection Ray Diagram Total Internal Reflection N1 N2 N 1 is the refractive index in medium 1. Total internal reflection is a phenomenon that occurs at the boundary between two mediums, such that if the incident angle in the first medium is greater than the critical angle, then all the. N 2 is the refractive index in medium 2. Θ is the critical angle. Tir only takes place. Total Internal Reflection N1 N2.
From waiferx.blogspot.com
Pdog's blog boring but important Presentation total internal reflection Total Internal Reflection N1 N2 Using snell’s law, n1 sinqθ i = n2 sin(90°) = n2. Total internal reflection occurs only if light travels from a medium of high index of refraction to a medium of low index of refraction. N 1 is the refractive index in medium 1. An interesting case of refraction can occur when light travels from a medium of larger to. Total Internal Reflection N1 N2.
From www.numerade.com
SOLVED For the optical fiber shown in the figure, find the minimum Total Internal Reflection N1 N2 Θ is the critical angle. Total internal reflection (tir) is a phenomenon that occurs when an electromagnetic wave, such as light, travels from a medium with. An interesting case of refraction can occur when light travels from a medium of larger to smaller index. Total internal reflection is a phenomenon that occurs at the boundary between two mediums, such that. Total Internal Reflection N1 N2.
From www.slideserve.com
PPT Partial Reflection & Refraction PowerPoint Presentation, free Total Internal Reflection N1 N2 Using snell’s law, n1 sinqθ i = n2 sin(90°) = n2. What are the conditions of total internal reflection? Tir only takes place when. Total internal reflection is a phenomenon that occurs at the boundary between two mediums, such that if the incident angle in the first medium is greater than the critical angle, then all the. An interesting case. Total Internal Reflection N1 N2.
From www.numerade.com
SOLVED Total internal reflection occurs when n1 n2 and; incident angle Total Internal Reflection N1 N2 N 2 is the refractive index in medium 2. The light ray can actually bend so much that it never. N 1 is the refractive index in medium 1. Using snell’s law, n1 sinqθ i = n2 sin(90°) = n2. Total internal reflection is a phenomenon that occurs at the boundary between two mediums, such that if the incident angle. Total Internal Reflection N1 N2.
From www.slideserve.com
PPT Reflection and Refraction PowerPoint Presentation, free download Total Internal Reflection N1 N2 Using snell’s law, n1 sinqθ i = n2 sin(90°) = n2. What are the conditions of total internal reflection? The light ray can actually bend so much that it never. Total internal reflection (tir) is the phenomenon that involves the reflection of all the incident light off the boundary. N 1 is the refractive index in medium 1. Total internal. Total Internal Reflection N1 N2.
From www.researchgate.net
Schematic of total internal reflection at the boundary between the Total Internal Reflection N1 N2 The light ray can actually bend so much that it never. N 1 is the refractive index in medium 1. Total internal reflection (tir) is a phenomenon that occurs when an electromagnetic wave, such as light, travels from a medium with. What are the conditions of total internal reflection? Θ is the critical angle. An interesting case of refraction can. Total Internal Reflection N1 N2.
From www.slideserve.com
PPT waves PowerPoint Presentation, free download ID Total Internal Reflection N1 N2 Tir only takes place when. The light ray can actually bend so much that it never. Total internal reflection occurs only if light travels from a medium of high index of refraction to a medium of low index of refraction. Total internal reflection (tir) is a phenomenon that occurs when an electromagnetic wave, such as light, travels from a medium. Total Internal Reflection N1 N2.
From www.slideserve.com
PPT Partial Reflection & Refraction PowerPoint Presentation, free Total Internal Reflection N1 N2 Θ is the critical angle. Total internal reflection occurs only if light travels from a medium of high index of refraction to a medium of low index of refraction. N 1 is the refractive index in medium 1. Using snell’s law, n1 sinqθ i = n2 sin(90°) = n2. Tir only takes place when. N 2 is the refractive index. Total Internal Reflection N1 N2.
From www.learnatnoon.com
What Is Total Internal Reflection Explained Noon Academy Total Internal Reflection N1 N2 Total internal reflection (tir) is a phenomenon that occurs when an electromagnetic wave, such as light, travels from a medium with. What are the conditions of total internal reflection? Total internal reflection (tir) is the phenomenon that involves the reflection of all the incident light off the boundary. Tir only takes place when. Total internal reflection occurs only if light. Total Internal Reflection N1 N2.
From slideplayer.com
Geometrical Optics Chapters 14 & 15 Reflection Plane Mirrors ppt download Total Internal Reflection N1 N2 Total internal reflection (tir) is the phenomenon that involves the reflection of all the incident light off the boundary. N 1 is the refractive index in medium 1. Total internal reflection is a phenomenon that occurs at the boundary between two mediums, such that if the incident angle in the first medium is greater than the critical angle, then all. Total Internal Reflection N1 N2.
From www.numerade.com
SOLVED Object 2 with an index of refraction n2 is placed on object 1 Total Internal Reflection N1 N2 N 1 is the refractive index in medium 1. Total internal reflection is a phenomenon that occurs at the boundary between two mediums, such that if the incident angle in the first medium is greater than the critical angle, then all the. Total internal reflection (tir) is the phenomenon that involves the reflection of all the incident light off the. Total Internal Reflection N1 N2.