Sample Vawa Witness Affidavit . the violence against women act (vawa) allows battered immigrants to petition for legal status in the united states without. my attorney has asked that i provide at least one affidavit from a witness (i have two, the friend i moved in with and. With 13 states having ended child marriage. by filling out this form, friends and family of domestic violence survivors can help provide crucial evidence needed for eligibility.
from www.scribd.com
my attorney has asked that i provide at least one affidavit from a witness (i have two, the friend i moved in with and. With 13 states having ended child marriage. the violence against women act (vawa) allows battered immigrants to petition for legal status in the united states without. by filling out this form, friends and family of domestic violence survivors can help provide crucial evidence needed for eligibility.
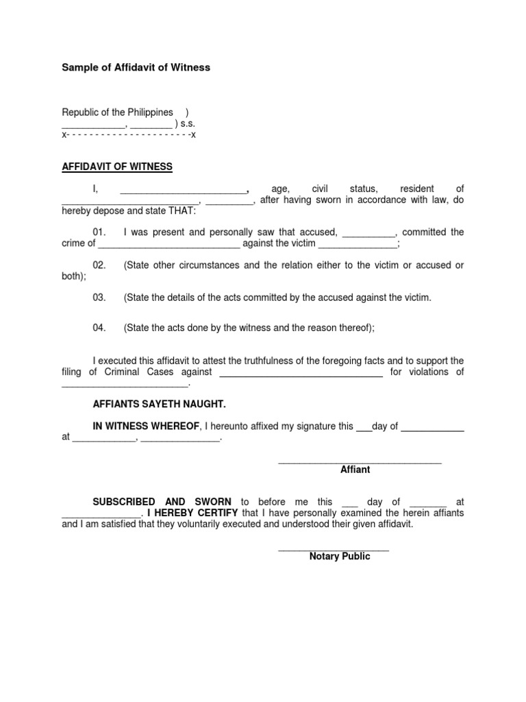
affidavit of witness Violence
Sample Vawa Witness Affidavit by filling out this form, friends and family of domestic violence survivors can help provide crucial evidence needed for eligibility. With 13 states having ended child marriage. my attorney has asked that i provide at least one affidavit from a witness (i have two, the friend i moved in with and. the violence against women act (vawa) allows battered immigrants to petition for legal status in the united states without. by filling out this form, friends and family of domestic violence survivors can help provide crucial evidence needed for eligibility.
From londonmedarb.com
Affidavit Examples Free Printable Documents Sample Vawa Witness Affidavit the violence against women act (vawa) allows battered immigrants to petition for legal status in the united states without. With 13 states having ended child marriage. my attorney has asked that i provide at least one affidavit from a witness (i have two, the friend i moved in with and. by filling out this form, friends and. Sample Vawa Witness Affidavit.
From whoamuu.blogspot.com
Vawa Affidavit Letter Sample HQ Printable Documents Sample Vawa Witness Affidavit the violence against women act (vawa) allows battered immigrants to petition for legal status in the united states without. my attorney has asked that i provide at least one affidavit from a witness (i have two, the friend i moved in with and. With 13 states having ended child marriage. by filling out this form, friends and. Sample Vawa Witness Affidavit.
From www.scribd.com
Witness' Affidavit Sample Vawa Witness Affidavit the violence against women act (vawa) allows battered immigrants to petition for legal status in the united states without. With 13 states having ended child marriage. by filling out this form, friends and family of domestic violence survivors can help provide crucial evidence needed for eligibility. my attorney has asked that i provide at least one affidavit. Sample Vawa Witness Affidavit.
From whoamuu.blogspot.com
Vawa Affidavit Letter Sample HQ Printable Documents Sample Vawa Witness Affidavit the violence against women act (vawa) allows battered immigrants to petition for legal status in the united states without. With 13 states having ended child marriage. by filling out this form, friends and family of domestic violence survivors can help provide crucial evidence needed for eligibility. my attorney has asked that i provide at least one affidavit. Sample Vawa Witness Affidavit.
From www.scribd.com
Vawa Sample Domestic Violence Permanent Residence (United States) Sample Vawa Witness Affidavit my attorney has asked that i provide at least one affidavit from a witness (i have two, the friend i moved in with and. by filling out this form, friends and family of domestic violence survivors can help provide crucial evidence needed for eligibility. With 13 states having ended child marriage. the violence against women act (vawa). Sample Vawa Witness Affidavit.
From www.affidavitform.net
Witness Affidavit Form Template Sample Vawa Witness Affidavit the violence against women act (vawa) allows battered immigrants to petition for legal status in the united states without. by filling out this form, friends and family of domestic violence survivors can help provide crucial evidence needed for eligibility. With 13 states having ended child marriage. my attorney has asked that i provide at least one affidavit. Sample Vawa Witness Affidavit.
From whoamuu.blogspot.com
Vawa Affidavit Letter Sample HQ Printable Documents Sample Vawa Witness Affidavit my attorney has asked that i provide at least one affidavit from a witness (i have two, the friend i moved in with and. the violence against women act (vawa) allows battered immigrants to petition for legal status in the united states without. With 13 states having ended child marriage. by filling out this form, friends and. Sample Vawa Witness Affidavit.
From www.scribd.com
Sample Affidavit of Witness Sample Vawa Witness Affidavit With 13 states having ended child marriage. the violence against women act (vawa) allows battered immigrants to petition for legal status in the united states without. by filling out this form, friends and family of domestic violence survivors can help provide crucial evidence needed for eligibility. my attorney has asked that i provide at least one affidavit. Sample Vawa Witness Affidavit.
From www.youtube.com
How to WIN your VAWA case! [Get approved FAST] YouTube Sample Vawa Witness Affidavit With 13 states having ended child marriage. the violence against women act (vawa) allows battered immigrants to petition for legal status in the united states without. my attorney has asked that i provide at least one affidavit from a witness (i have two, the friend i moved in with and. by filling out this form, friends and. Sample Vawa Witness Affidavit.
From www.sampletemplates.com
FREE 24+ Sample Affidavit Forms in PDF MS Word Sample Vawa Witness Affidavit by filling out this form, friends and family of domestic violence survivors can help provide crucial evidence needed for eligibility. With 13 states having ended child marriage. my attorney has asked that i provide at least one affidavit from a witness (i have two, the friend i moved in with and. the violence against women act (vawa). Sample Vawa Witness Affidavit.
From belogimannabila.blogspot.com
Affidavit Of Witness Statement Sample Master of Template Document Sample Vawa Witness Affidavit by filling out this form, friends and family of domestic violence survivors can help provide crucial evidence needed for eligibility. my attorney has asked that i provide at least one affidavit from a witness (i have two, the friend i moved in with and. the violence against women act (vawa) allows battered immigrants to petition for legal. Sample Vawa Witness Affidavit.
From www.uslegalforms.com
VA Affidavit of Corroborating Witness in Support of Divorce Complete Sample Vawa Witness Affidavit by filling out this form, friends and family of domestic violence survivors can help provide crucial evidence needed for eligibility. With 13 states having ended child marriage. the violence against women act (vawa) allows battered immigrants to petition for legal status in the united states without. my attorney has asked that i provide at least one affidavit. Sample Vawa Witness Affidavit.
From www.sampleforms.com
FREE 8+ Witness Affidavit Form Samples in PDF MS Word Sample Vawa Witness Affidavit the violence against women act (vawa) allows battered immigrants to petition for legal status in the united states without. my attorney has asked that i provide at least one affidavit from a witness (i have two, the friend i moved in with and. With 13 states having ended child marriage. by filling out this form, friends and. Sample Vawa Witness Affidavit.
From www.signnow.com
Va Affidavit Complete with ease airSlate SignNow Sample Vawa Witness Affidavit by filling out this form, friends and family of domestic violence survivors can help provide crucial evidence needed for eligibility. With 13 states having ended child marriage. the violence against women act (vawa) allows battered immigrants to petition for legal status in the united states without. my attorney has asked that i provide at least one affidavit. Sample Vawa Witness Affidavit.
From whoamuu.blogspot.com
Vawa Affidavit Letter Sample HQ Printable Documents Sample Vawa Witness Affidavit my attorney has asked that i provide at least one affidavit from a witness (i have two, the friend i moved in with and. by filling out this form, friends and family of domestic violence survivors can help provide crucial evidence needed for eligibility. the violence against women act (vawa) allows battered immigrants to petition for legal. Sample Vawa Witness Affidavit.
From fairuzainunfakar.blogspot.com
Notary Affidavit Template Best Template Ideas Sample Vawa Witness Affidavit my attorney has asked that i provide at least one affidavit from a witness (i have two, the friend i moved in with and. by filling out this form, friends and family of domestic violence survivors can help provide crucial evidence needed for eligibility. With 13 states having ended child marriage. the violence against women act (vawa). Sample Vawa Witness Affidavit.
From www.template.net
Marriage Witness Affidavit Template Google Docs, Word Sample Vawa Witness Affidavit the violence against women act (vawa) allows battered immigrants to petition for legal status in the united states without. my attorney has asked that i provide at least one affidavit from a witness (i have two, the friend i moved in with and. With 13 states having ended child marriage. by filling out this form, friends and. Sample Vawa Witness Affidavit.
From whoamuu.blogspot.com
Vawa Affidavit Letter Sample HQ Printable Documents Sample Vawa Witness Affidavit the violence against women act (vawa) allows battered immigrants to petition for legal status in the united states without. by filling out this form, friends and family of domestic violence survivors can help provide crucial evidence needed for eligibility. With 13 states having ended child marriage. my attorney has asked that i provide at least one affidavit. Sample Vawa Witness Affidavit.
From www.vrogue.co
Vawa Affidavit Letter Sample Hq Printable Documents G vrogue.co Sample Vawa Witness Affidavit With 13 states having ended child marriage. my attorney has asked that i provide at least one affidavit from a witness (i have two, the friend i moved in with and. by filling out this form, friends and family of domestic violence survivors can help provide crucial evidence needed for eligibility. the violence against women act (vawa). Sample Vawa Witness Affidavit.
From whoamuu.blogspot.com
Vawa Affidavit Letter Sample HQ Printable Documents Sample Vawa Witness Affidavit by filling out this form, friends and family of domestic violence survivors can help provide crucial evidence needed for eligibility. the violence against women act (vawa) allows battered immigrants to petition for legal status in the united states without. With 13 states having ended child marriage. my attorney has asked that i provide at least one affidavit. Sample Vawa Witness Affidavit.
From www.scribd.com
Reply Affidavit Sample Criminal Procedure Common Law Sample Vawa Witness Affidavit by filling out this form, friends and family of domestic violence survivors can help provide crucial evidence needed for eligibility. With 13 states having ended child marriage. the violence against women act (vawa) allows battered immigrants to petition for legal status in the united states without. my attorney has asked that i provide at least one affidavit. Sample Vawa Witness Affidavit.
From cashier.mijndomein.nl
Witness Affidavit Template Sample Vawa Witness Affidavit my attorney has asked that i provide at least one affidavit from a witness (i have two, the friend i moved in with and. by filling out this form, friends and family of domestic violence survivors can help provide crucial evidence needed for eligibility. With 13 states having ended child marriage. the violence against women act (vawa). Sample Vawa Witness Affidavit.
From www.youtube.com
How to Write an Approvable VAWA Affidavit Woman's Perspective (www Sample Vawa Witness Affidavit the violence against women act (vawa) allows battered immigrants to petition for legal status in the united states without. my attorney has asked that i provide at least one affidavit from a witness (i have two, the friend i moved in with and. With 13 states having ended child marriage. by filling out this form, friends and. Sample Vawa Witness Affidavit.
From www.scribd.com
Sample of Affidavit of Witness Sample Vawa Witness Affidavit the violence against women act (vawa) allows battered immigrants to petition for legal status in the united states without. my attorney has asked that i provide at least one affidavit from a witness (i have two, the friend i moved in with and. by filling out this form, friends and family of domestic violence survivors can help. Sample Vawa Witness Affidavit.
From whoamuu.blogspot.com
Vawa Affidavit Letter Sample HQ Printable Documents Sample Vawa Witness Affidavit the violence against women act (vawa) allows battered immigrants to petition for legal status in the united states without. my attorney has asked that i provide at least one affidavit from a witness (i have two, the friend i moved in with and. With 13 states having ended child marriage. by filling out this form, friends and. Sample Vawa Witness Affidavit.
From www.scribd.com
Affidavit of Witnesses Affidavit Judiciaries Sample Vawa Witness Affidavit the violence against women act (vawa) allows battered immigrants to petition for legal status in the united states without. With 13 states having ended child marriage. my attorney has asked that i provide at least one affidavit from a witness (i have two, the friend i moved in with and. by filling out this form, friends and. Sample Vawa Witness Affidavit.
From tutore.org
Witness Affidavit Template Master of Documents Sample Vawa Witness Affidavit With 13 states having ended child marriage. by filling out this form, friends and family of domestic violence survivors can help provide crucial evidence needed for eligibility. the violence against women act (vawa) allows battered immigrants to petition for legal status in the united states without. my attorney has asked that i provide at least one affidavit. Sample Vawa Witness Affidavit.
From www.vrogue.co
Vawa Affidavit Letter Sample Hq Printable Documents G vrogue.co Sample Vawa Witness Affidavit my attorney has asked that i provide at least one affidavit from a witness (i have two, the friend i moved in with and. the violence against women act (vawa) allows battered immigrants to petition for legal status in the united states without. With 13 states having ended child marriage. by filling out this form, friends and. Sample Vawa Witness Affidavit.
From www.usimmigrationplan.com
Witness Affidavit for Asylum Filing Sample Vawa Witness Affidavit With 13 states having ended child marriage. my attorney has asked that i provide at least one affidavit from a witness (i have two, the friend i moved in with and. the violence against women act (vawa) allows battered immigrants to petition for legal status in the united states without. by filling out this form, friends and. Sample Vawa Witness Affidavit.
From www.myxxgirl.com
Vawa Affidavit Letter Sample Hq Printable Documents My XXX Hot Girl Sample Vawa Witness Affidavit With 13 states having ended child marriage. my attorney has asked that i provide at least one affidavit from a witness (i have two, the friend i moved in with and. the violence against women act (vawa) allows battered immigrants to petition for legal status in the united states without. by filling out this form, friends and. Sample Vawa Witness Affidavit.
From www.youtube.com
IS AN AFFIDAVIT OF SUPPORT REQUIRED FOR VAWA? YouTube Sample Vawa Witness Affidavit by filling out this form, friends and family of domestic violence survivors can help provide crucial evidence needed for eligibility. the violence against women act (vawa) allows battered immigrants to petition for legal status in the united states without. With 13 states having ended child marriage. my attorney has asked that i provide at least one affidavit. Sample Vawa Witness Affidavit.
From www.youtube.com
How to Write a Winning VAWA Declaration YouTube Sample Vawa Witness Affidavit my attorney has asked that i provide at least one affidavit from a witness (i have two, the friend i moved in with and. by filling out this form, friends and family of domestic violence survivors can help provide crucial evidence needed for eligibility. the violence against women act (vawa) allows battered immigrants to petition for legal. Sample Vawa Witness Affidavit.
From whoamuu.blogspot.com
Vawa Affidavit Letter Sample HQ Printable Documents Sample Vawa Witness Affidavit by filling out this form, friends and family of domestic violence survivors can help provide crucial evidence needed for eligibility. my attorney has asked that i provide at least one affidavit from a witness (i have two, the friend i moved in with and. With 13 states having ended child marriage. the violence against women act (vawa). Sample Vawa Witness Affidavit.
From www.vrogue.co
Vawa Affidavit Letter Sample Hq Printable Documents G vrogue.co Sample Vawa Witness Affidavit by filling out this form, friends and family of domestic violence survivors can help provide crucial evidence needed for eligibility. the violence against women act (vawa) allows battered immigrants to petition for legal status in the united states without. my attorney has asked that i provide at least one affidavit from a witness (i have two, the. Sample Vawa Witness Affidavit.
From www.scribd.com
affidavit of witness Violence Sample Vawa Witness Affidavit by filling out this form, friends and family of domestic violence survivors can help provide crucial evidence needed for eligibility. the violence against women act (vawa) allows battered immigrants to petition for legal status in the united states without. With 13 states having ended child marriage. my attorney has asked that i provide at least one affidavit. Sample Vawa Witness Affidavit.