Science Life Process Question Answer . All the solutions provided in this article are strictly based on the cbse syllabus and curriculum. Study reference for class 10 chapter 6 life. class 10 science chapter 6 life processes ncert questions and answers help students to clear their doubts and to obtain good marks in class 10 board exam. ncert solutions for class 10 science chapter 6 life processes at byju’s include all the questions provided in the ncert textbook as. ncert solutions for class 10 science chapter 5 life processes latest edition includes answers of intext & exercise questions. The ncert (cbse) syllabus and books are strictly followed in the life processes class 10 questions and answers. Every living cell requires oxygen for. Why is diffusion insufficient to meet the oxygen requirement of multicellular organisms like us ? important question for class 10 science life processes pdf will help you in scoring more marks. chapter 6 class 10 science ncert questions and answers.
from schools.aglasem.com
All the solutions provided in this article are strictly based on the cbse syllabus and curriculum. Every living cell requires oxygen for. chapter 6 class 10 science ncert questions and answers. class 10 science chapter 6 life processes ncert questions and answers help students to clear their doubts and to obtain good marks in class 10 board exam. The ncert (cbse) syllabus and books are strictly followed in the life processes class 10 questions and answers. ncert solutions for class 10 science chapter 6 life processes at byju’s include all the questions provided in the ncert textbook as. important question for class 10 science life processes pdf will help you in scoring more marks. Study reference for class 10 chapter 6 life. ncert solutions for class 10 science chapter 5 life processes latest edition includes answers of intext & exercise questions. Why is diffusion insufficient to meet the oxygen requirement of multicellular organisms like us ?
CBSE Notes Class 10 Science Life Processes
Science Life Process Question Answer ncert solutions for class 10 science chapter 5 life processes latest edition includes answers of intext & exercise questions. Why is diffusion insufficient to meet the oxygen requirement of multicellular organisms like us ? The ncert (cbse) syllabus and books are strictly followed in the life processes class 10 questions and answers. Every living cell requires oxygen for. chapter 6 class 10 science ncert questions and answers. ncert solutions for class 10 science chapter 6 life processes at byju’s include all the questions provided in the ncert textbook as. important question for class 10 science life processes pdf will help you in scoring more marks. Study reference for class 10 chapter 6 life. ncert solutions for class 10 science chapter 5 life processes latest edition includes answers of intext & exercise questions. All the solutions provided in this article are strictly based on the cbse syllabus and curriculum. class 10 science chapter 6 life processes ncert questions and answers help students to clear their doubts and to obtain good marks in class 10 board exam.
From studydbderrico.z13.web.core.windows.net
Class 10 Science Life Process Worksheet Science Life Process Question Answer chapter 6 class 10 science ncert questions and answers. ncert solutions for class 10 science chapter 6 life processes at byju’s include all the questions provided in the ncert textbook as. important question for class 10 science life processes pdf will help you in scoring more marks. class 10 science chapter 6 life processes ncert questions. Science Life Process Question Answer.
From www.studypool.com
SOLUTION Class 10th science chapter 6 life processes question answers Science Life Process Question Answer The ncert (cbse) syllabus and books are strictly followed in the life processes class 10 questions and answers. Study reference for class 10 chapter 6 life. ncert solutions for class 10 science chapter 6 life processes at byju’s include all the questions provided in the ncert textbook as. chapter 6 class 10 science ncert questions and answers. . Science Life Process Question Answer.
From www.slideshare.net
Cbse class 10 science life processes notes PDF Science Life Process Question Answer ncert solutions for class 10 science chapter 5 life processes latest edition includes answers of intext & exercise questions. ncert solutions for class 10 science chapter 6 life processes at byju’s include all the questions provided in the ncert textbook as. All the solutions provided in this article are strictly based on the cbse syllabus and curriculum. Why. Science Life Process Question Answer.
From byjus.com
NCERT Solutions for Class 10 Science Chapter 6 Life Processes Science Life Process Question Answer chapter 6 class 10 science ncert questions and answers. ncert solutions for class 10 science chapter 6 life processes at byju’s include all the questions provided in the ncert textbook as. important question for class 10 science life processes pdf will help you in scoring more marks. ncert solutions for class 10 science chapter 5 life. Science Life Process Question Answer.
From www.cbseguidanceweb.com
Life Processes Class 10 Important Questions & Answers CBSE Guidance Science Life Process Question Answer important question for class 10 science life processes pdf will help you in scoring more marks. The ncert (cbse) syllabus and books are strictly followed in the life processes class 10 questions and answers. Why is diffusion insufficient to meet the oxygen requirement of multicellular organisms like us ? Every living cell requires oxygen for. class 10 science. Science Life Process Question Answer.
From www.scribd.com
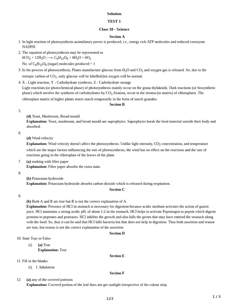
Test Answer 1 Science Life Process PDF Photosynthesis Glucose Science Life Process Question Answer Study reference for class 10 chapter 6 life. All the solutions provided in this article are strictly based on the cbse syllabus and curriculum. The ncert (cbse) syllabus and books are strictly followed in the life processes class 10 questions and answers. Why is diffusion insufficient to meet the oxygen requirement of multicellular organisms like us ? chapter 6. Science Life Process Question Answer.
From ncertmcq.com
Life Processes Class 10 Extra Questions with Answers Science Chapter 6 Science Life Process Question Answer class 10 science chapter 6 life processes ncert questions and answers help students to clear their doubts and to obtain good marks in class 10 board exam. important question for class 10 science life processes pdf will help you in scoring more marks. Why is diffusion insufficient to meet the oxygen requirement of multicellular organisms like us ?. Science Life Process Question Answer.
From www.meritnation.com
These are sone questions of assertion and reason Please solve these as Science Life Process Question Answer important question for class 10 science life processes pdf will help you in scoring more marks. class 10 science chapter 6 life processes ncert questions and answers help students to clear their doubts and to obtain good marks in class 10 board exam. The ncert (cbse) syllabus and books are strictly followed in the life processes class 10. Science Life Process Question Answer.
From allimportantnotes.com
Class 10 Science Life Processes Notes All Important Notes Science Life Process Question Answer ncert solutions for class 10 science chapter 5 life processes latest edition includes answers of intext & exercise questions. ncert solutions for class 10 science chapter 6 life processes at byju’s include all the questions provided in the ncert textbook as. Why is diffusion insufficient to meet the oxygen requirement of multicellular organisms like us ? The ncert. Science Life Process Question Answer.
From wealthcycles.com
Ncert solutions class 10 science chapter life processes NCERT Science Life Process Question Answer The ncert (cbse) syllabus and books are strictly followed in the life processes class 10 questions and answers. Every living cell requires oxygen for. ncert solutions for class 10 science chapter 6 life processes at byju’s include all the questions provided in the ncert textbook as. Why is diffusion insufficient to meet the oxygen requirement of multicellular organisms like. Science Life Process Question Answer.
From www.youtube.com
Class 10 Biology chapter Life processes question answer discussion Science Life Process Question Answer class 10 science chapter 6 life processes ncert questions and answers help students to clear their doubts and to obtain good marks in class 10 board exam. ncert solutions for class 10 science chapter 6 life processes at byju’s include all the questions provided in the ncert textbook as. Why is diffusion insufficient to meet the oxygen requirement. Science Life Process Question Answer.
From www.studypool.com
SOLUTION Class 10th science chapter 6 life processes question answers Science Life Process Question Answer chapter 6 class 10 science ncert questions and answers. Every living cell requires oxygen for. All the solutions provided in this article are strictly based on the cbse syllabus and curriculum. class 10 science chapter 6 life processes ncert questions and answers help students to clear their doubts and to obtain good marks in class 10 board exam.. Science Life Process Question Answer.
From schools.aglasem.com
CBSE Notes Class 10 Science Life Processes Science Life Process Question Answer ncert solutions for class 10 science chapter 6 life processes at byju’s include all the questions provided in the ncert textbook as. Every living cell requires oxygen for. All the solutions provided in this article are strictly based on the cbse syllabus and curriculum. Why is diffusion insufficient to meet the oxygen requirement of multicellular organisms like us ?. Science Life Process Question Answer.
From byjus.com
NCERT Solutions for Class 10 Science Chapter 6 Life Processes Science Life Process Question Answer ncert solutions for class 10 science chapter 5 life processes latest edition includes answers of intext & exercise questions. All the solutions provided in this article are strictly based on the cbse syllabus and curriculum. important question for class 10 science life processes pdf will help you in scoring more marks. Every living cell requires oxygen for. . Science Life Process Question Answer.
From byjus.com
Important questions for class 10 Science Chapter 6 Life Processes Science Life Process Question Answer chapter 6 class 10 science ncert questions and answers. Every living cell requires oxygen for. important question for class 10 science life processes pdf will help you in scoring more marks. ncert solutions for class 10 science chapter 5 life processes latest edition includes answers of intext & exercise questions. The ncert (cbse) syllabus and books are. Science Life Process Question Answer.
From allimportantnotes.com
Class 10 Science Life Processes Notes All Important Notes Science Life Process Question Answer Study reference for class 10 chapter 6 life. chapter 6 class 10 science ncert questions and answers. ncert solutions for class 10 science chapter 6 life processes at byju’s include all the questions provided in the ncert textbook as. Every living cell requires oxygen for. All the solutions provided in this article are strictly based on the cbse. Science Life Process Question Answer.
From class10science.com
NCERT Solutions for Class 10 Science Chapter 6 Life Processes Class Science Life Process Question Answer All the solutions provided in this article are strictly based on the cbse syllabus and curriculum. Why is diffusion insufficient to meet the oxygen requirement of multicellular organisms like us ? important question for class 10 science life processes pdf will help you in scoring more marks. ncert solutions for class 10 science chapter 6 life processes at. Science Life Process Question Answer.
From www.tiwariacademy.com
NCERT Solutions for Class 10 Science Chapter 5 Life Processes Science Life Process Question Answer class 10 science chapter 6 life processes ncert questions and answers help students to clear their doubts and to obtain good marks in class 10 board exam. ncert solutions for class 10 science chapter 6 life processes at byju’s include all the questions provided in the ncert textbook as. Study reference for class 10 chapter 6 life. All. Science Life Process Question Answer.
From www.youtube.com
Class 8 science chapter 14 question answer Class 8 science life Science Life Process Question Answer Every living cell requires oxygen for. ncert solutions for class 10 science chapter 6 life processes at byju’s include all the questions provided in the ncert textbook as. Study reference for class 10 chapter 6 life. class 10 science chapter 6 life processes ncert questions and answers help students to clear their doubts and to obtain good marks. Science Life Process Question Answer.
From www.youtube.com
10th science chapter 6 question anslife processclass 10th science ch Science Life Process Question Answer important question for class 10 science life processes pdf will help you in scoring more marks. ncert solutions for class 10 science chapter 5 life processes latest edition includes answers of intext & exercise questions. ncert solutions for class 10 science chapter 6 life processes at byju’s include all the questions provided in the ncert textbook as.. Science Life Process Question Answer.
From byjus.com
NCERT Solutions for Class 10 Science Chapter 6 Life Processes Science Life Process Question Answer important question for class 10 science life processes pdf will help you in scoring more marks. ncert solutions for class 10 science chapter 6 life processes at byju’s include all the questions provided in the ncert textbook as. chapter 6 class 10 science ncert questions and answers. Why is diffusion insufficient to meet the oxygen requirement of. Science Life Process Question Answer.
From www.tiwariacademy.com
NCERT Solutions for Class 10 Science Chapter 6 Life Processes in PDF Science Life Process Question Answer class 10 science chapter 6 life processes ncert questions and answers help students to clear their doubts and to obtain good marks in class 10 board exam. chapter 6 class 10 science ncert questions and answers. ncert solutions for class 10 science chapter 5 life processes latest edition includes answers of intext & exercise questions. Why is. Science Life Process Question Answer.
From www.youtube.com
Life Processes Question and Answers Science YouTube Science Life Process Question Answer Every living cell requires oxygen for. Why is diffusion insufficient to meet the oxygen requirement of multicellular organisms like us ? ncert solutions for class 10 science chapter 6 life processes at byju’s include all the questions provided in the ncert textbook as. important question for class 10 science life processes pdf will help you in scoring more. Science Life Process Question Answer.
From www.168tzjm.com
NCERT Solutions for Class 10 Science Chapter 6 Life Processes Science Life Process Question Answer Why is diffusion insufficient to meet the oxygen requirement of multicellular organisms like us ? Study reference for class 10 chapter 6 life. chapter 6 class 10 science ncert questions and answers. The ncert (cbse) syllabus and books are strictly followed in the life processes class 10 questions and answers. important question for class 10 science life processes. Science Life Process Question Answer.
From wealthcycles.com
Ncert solutions class 10 science chapter life processes NCERT Science Life Process Question Answer Study reference for class 10 chapter 6 life. important question for class 10 science life processes pdf will help you in scoring more marks. Every living cell requires oxygen for. All the solutions provided in this article are strictly based on the cbse syllabus and curriculum. ncert solutions for class 10 science chapter 5 life processes latest edition. Science Life Process Question Answer.
From byjus.com
NCERT Solutions for Class 10 Science Chapter 6 Life Processes Science Life Process Question Answer class 10 science chapter 6 life processes ncert questions and answers help students to clear their doubts and to obtain good marks in class 10 board exam. Why is diffusion insufficient to meet the oxygen requirement of multicellular organisms like us ? Study reference for class 10 chapter 6 life. Every living cell requires oxygen for. ncert solutions. Science Life Process Question Answer.
From www.youtube.com
Full Ncert Intext Questions Life Processes Class 10 Science Life Science Life Process Question Answer chapter 6 class 10 science ncert questions and answers. important question for class 10 science life processes pdf will help you in scoring more marks. The ncert (cbse) syllabus and books are strictly followed in the life processes class 10 questions and answers. ncert solutions for class 10 science chapter 5 life processes latest edition includes answers. Science Life Process Question Answer.
From www.tiwariacademy.com
NCERT Solutions for Class 10 Science Chapter 6 Life Processes in PDF Science Life Process Question Answer The ncert (cbse) syllabus and books are strictly followed in the life processes class 10 questions and answers. chapter 6 class 10 science ncert questions and answers. important question for class 10 science life processes pdf will help you in scoring more marks. Why is diffusion insufficient to meet the oxygen requirement of multicellular organisms like us ?. Science Life Process Question Answer.
From arinjayacademy.com
NCERT Solutions for Class 10 Science Chapter 6 Life Processes Science Life Process Question Answer Study reference for class 10 chapter 6 life. Why is diffusion insufficient to meet the oxygen requirement of multicellular organisms like us ? chapter 6 class 10 science ncert questions and answers. important question for class 10 science life processes pdf will help you in scoring more marks. ncert solutions for class 10 science chapter 5 life. Science Life Process Question Answer.
From www.youtube.com
Life Processes Chapter 6 Part 2 Respiration, Class 10 Biology, Science Science Life Process Question Answer Why is diffusion insufficient to meet the oxygen requirement of multicellular organisms like us ? Every living cell requires oxygen for. The ncert (cbse) syllabus and books are strictly followed in the life processes class 10 questions and answers. Study reference for class 10 chapter 6 life. ncert solutions for class 10 science chapter 5 life processes latest edition. Science Life Process Question Answer.
From www.learncram.com
Life Processes Class 10 Extra Questions with Answers Science Chapter 6 Science Life Process Question Answer The ncert (cbse) syllabus and books are strictly followed in the life processes class 10 questions and answers. All the solutions provided in this article are strictly based on the cbse syllabus and curriculum. chapter 6 class 10 science ncert questions and answers. ncert solutions for class 10 science chapter 6 life processes at byju’s include all the. Science Life Process Question Answer.
From byjus.com
NCERT Solutions for Class 10 Science Chapter 6 Life Processes Science Life Process Question Answer important question for class 10 science life processes pdf will help you in scoring more marks. ncert solutions for class 10 science chapter 5 life processes latest edition includes answers of intext & exercise questions. Study reference for class 10 chapter 6 life. All the solutions provided in this article are strictly based on the cbse syllabus and. Science Life Process Question Answer.
From www.cbseguide.co.in
CBSE Class 10 Science Chapter 6 Life Processes Important Questions Science Life Process Question Answer class 10 science chapter 6 life processes ncert questions and answers help students to clear their doubts and to obtain good marks in class 10 board exam. important question for class 10 science life processes pdf will help you in scoring more marks. ncert solutions for class 10 science chapter 6 life processes at byju’s include all. Science Life Process Question Answer.
From sailsojourn.com
CBSE Class 10 Science MCQ Chapter 6 Life Processes (2022) Science Life Process Question Answer important question for class 10 science life processes pdf will help you in scoring more marks. All the solutions provided in this article are strictly based on the cbse syllabus and curriculum. Study reference for class 10 chapter 6 life. Every living cell requires oxygen for. ncert solutions for class 10 science chapter 5 life processes latest edition. Science Life Process Question Answer.
From byjus.com
NCERT Solutions for Class 10 Science Chapter 6 Life Processes Science Life Process Question Answer class 10 science chapter 6 life processes ncert questions and answers help students to clear their doubts and to obtain good marks in class 10 board exam. ncert solutions for class 10 science chapter 5 life processes latest edition includes answers of intext & exercise questions. Why is diffusion insufficient to meet the oxygen requirement of multicellular organisms. Science Life Process Question Answer.