Magnesium Nitrate Molar Mass . Mg (no3)2 (magnesium nitrate) has a molar mass of. This compound is also known as magnesium nitrate. Magnesium nitrate is an inorganic salt with a molecular weight of 148.32 g/mol (anhydrous). Learn how to find the molar mass of mg (no3)2 based on its chemical formula and atomic masses. Explanation of how to find the molar mass of mg (no3)2: See the elemental composition, mole. Learn more about its structure, reactions, health hazards, and faqs. Count the number of each atom. It is used in pyrotechnics, nitric acid production, and other industries. There are 4 easy steps to find the molar mass of (mg (no3))2 based on its chemical formula. Molar mass of mg (no3)2 = 148.3148 g/mol. Enter a chemical formula to calculate its molar mass and elemental composition.
from www.numerade.com
Learn more about its structure, reactions, health hazards, and faqs. This compound is also known as magnesium nitrate. Molar mass of mg (no3)2 = 148.3148 g/mol. Enter a chemical formula to calculate its molar mass and elemental composition. Learn how to find the molar mass of mg (no3)2 based on its chemical formula and atomic masses. Magnesium nitrate is an inorganic salt with a molecular weight of 148.32 g/mol (anhydrous). Explanation of how to find the molar mass of mg (no3)2: There are 4 easy steps to find the molar mass of (mg (no3))2 based on its chemical formula. Count the number of each atom. See the elemental composition, mole.
SOLVEDFind the molar mass of the following compounds a. lithium
Magnesium Nitrate Molar Mass Count the number of each atom. Count the number of each atom. Learn more about its structure, reactions, health hazards, and faqs. There are 4 easy steps to find the molar mass of (mg (no3))2 based on its chemical formula. Enter a chemical formula to calculate its molar mass and elemental composition. Learn how to find the molar mass of mg (no3)2 based on its chemical formula and atomic masses. Mg (no3)2 (magnesium nitrate) has a molar mass of. Explanation of how to find the molar mass of mg (no3)2: See the elemental composition, mole. This compound is also known as magnesium nitrate. Magnesium nitrate is an inorganic salt with a molecular weight of 148.32 g/mol (anhydrous). It is used in pyrotechnics, nitric acid production, and other industries. Molar mass of mg (no3)2 = 148.3148 g/mol.
From www.numerade.com
SOLVED what is the molar mass of magnesium nitrate, Mg(NO3)2?Please Magnesium Nitrate Molar Mass Molar mass of mg (no3)2 = 148.3148 g/mol. See the elemental composition, mole. It is used in pyrotechnics, nitric acid production, and other industries. Learn how to find the molar mass of mg (no3)2 based on its chemical formula and atomic masses. Enter a chemical formula to calculate its molar mass and elemental composition. Explanation of how to find the. Magnesium Nitrate Molar Mass.
From ask.modifiyegaraj.com
Molar Mass Of Magnesium Chloride Asking List Magnesium Nitrate Molar Mass See the elemental composition, mole. There are 4 easy steps to find the molar mass of (mg (no3))2 based on its chemical formula. It is used in pyrotechnics, nitric acid production, and other industries. Learn how to find the molar mass of mg (no3)2 based on its chemical formula and atomic masses. This compound is also known as magnesium nitrate.. Magnesium Nitrate Molar Mass.
From chemicaldb.netlify.app
Molecular formula of magnesium nitrate Magnesium Nitrate Molar Mass Mg (no3)2 (magnesium nitrate) has a molar mass of. This compound is also known as magnesium nitrate. Molar mass of mg (no3)2 = 148.3148 g/mol. There are 4 easy steps to find the molar mass of (mg (no3))2 based on its chemical formula. Explanation of how to find the molar mass of mg (no3)2: Learn more about its structure, reactions,. Magnesium Nitrate Molar Mass.
From www.youtube.com
How to Calculate the Molar Mass of Mg(C2H3O2)2 Magnesium acetate YouTube Magnesium Nitrate Molar Mass See the elemental composition, mole. Molar mass of mg (no3)2 = 148.3148 g/mol. Explanation of how to find the molar mass of mg (no3)2: Learn more about its structure, reactions, health hazards, and faqs. Learn how to find the molar mass of mg (no3)2 based on its chemical formula and atomic masses. Enter a chemical formula to calculate its molar. Magnesium Nitrate Molar Mass.
From www.youtube.com
Preparation & Properties of Magnesium nitrate YouTube Magnesium Nitrate Molar Mass Learn more about its structure, reactions, health hazards, and faqs. Explanation of how to find the molar mass of mg (no3)2: Magnesium nitrate is an inorganic salt with a molecular weight of 148.32 g/mol (anhydrous). Mg (no3)2 (magnesium nitrate) has a molar mass of. Learn how to find the molar mass of mg (no3)2 based on its chemical formula and. Magnesium Nitrate Molar Mass.
From www.youtube.com
What is the relative mass formula of magnesium nitrate MgNO32? YouTube Magnesium Nitrate Molar Mass This compound is also known as magnesium nitrate. Learn more about its structure, reactions, health hazards, and faqs. Learn how to find the molar mass of mg (no3)2 based on its chemical formula and atomic masses. It is used in pyrotechnics, nitric acid production, and other industries. Count the number of each atom. Molar mass of mg (no3)2 = 148.3148. Magnesium Nitrate Molar Mass.
From www.youtube.com
What is the molar mass of magnesium? YouTube Magnesium Nitrate Molar Mass Learn more about its structure, reactions, health hazards, and faqs. Learn how to find the molar mass of mg (no3)2 based on its chemical formula and atomic masses. See the elemental composition, mole. It is used in pyrotechnics, nitric acid production, and other industries. Molar mass of mg (no3)2 = 148.3148 g/mol. Count the number of each atom. Magnesium nitrate. Magnesium Nitrate Molar Mass.
From www.numerade.com
SOLVEDCalculate the molar mass of each of these compounds and the mass Magnesium Nitrate Molar Mass Learn more about its structure, reactions, health hazards, and faqs. Count the number of each atom. Magnesium nitrate is an inorganic salt with a molecular weight of 148.32 g/mol (anhydrous). See the elemental composition, mole. This compound is also known as magnesium nitrate. Learn how to find the molar mass of mg (no3)2 based on its chemical formula and atomic. Magnesium Nitrate Molar Mass.
From www.shutterstock.com
Magnesium Nitrate Mgn2o6 Molecule Isolated On Stock Vector (Royalty Magnesium Nitrate Molar Mass There are 4 easy steps to find the molar mass of (mg (no3))2 based on its chemical formula. Enter a chemical formula to calculate its molar mass and elemental composition. Explanation of how to find the molar mass of mg (no3)2: Molar mass of mg (no3)2 = 148.3148 g/mol. Count the number of each atom. This compound is also known. Magnesium Nitrate Molar Mass.
From molekula.com
Purchase Magnesium nitrate hexahydrate [13446189] online • Catalog Magnesium Nitrate Molar Mass Enter a chemical formula to calculate its molar mass and elemental composition. Count the number of each atom. This compound is also known as magnesium nitrate. There are 4 easy steps to find the molar mass of (mg (no3))2 based on its chemical formula. Learn how to find the molar mass of mg (no3)2 based on its chemical formula and. Magnesium Nitrate Molar Mass.
From studylib.net
Using Molar Masses Magnesium Nitrate Molar Mass Mg (no3)2 (magnesium nitrate) has a molar mass of. This compound is also known as magnesium nitrate. See the elemental composition, mole. Explanation of how to find the molar mass of mg (no3)2: Learn more about its structure, reactions, health hazards, and faqs. Enter a chemical formula to calculate its molar mass and elemental composition. Molar mass of mg (no3)2. Magnesium Nitrate Molar Mass.
From www.shutterstock.com
57 Magnesium Nitrate Formula Images, Stock Photos & Vectors Shutterstock Magnesium Nitrate Molar Mass It is used in pyrotechnics, nitric acid production, and other industries. Learn more about its structure, reactions, health hazards, and faqs. Explanation of how to find the molar mass of mg (no3)2: See the elemental composition, mole. Molar mass of mg (no3)2 = 148.3148 g/mol. Magnesium nitrate is an inorganic salt with a molecular weight of 148.32 g/mol (anhydrous). This. Magnesium Nitrate Molar Mass.
From fessbowl.weebly.com
Periodic table mg molar mass fessbowl Magnesium Nitrate Molar Mass There are 4 easy steps to find the molar mass of (mg (no3))2 based on its chemical formula. This compound is also known as magnesium nitrate. Count the number of each atom. See the elemental composition, mole. It is used in pyrotechnics, nitric acid production, and other industries. Learn more about its structure, reactions, health hazards, and faqs. Magnesium nitrate. Magnesium Nitrate Molar Mass.
From exowtlptz.blob.core.windows.net
Calculate Moles Equation at Angel Ashford blog Magnesium Nitrate Molar Mass Learn more about its structure, reactions, health hazards, and faqs. There are 4 easy steps to find the molar mass of (mg (no3))2 based on its chemical formula. Learn how to find the molar mass of mg (no3)2 based on its chemical formula and atomic masses. It is used in pyrotechnics, nitric acid production, and other industries. Molar mass of. Magnesium Nitrate Molar Mass.
From www.youtube.com
How to Draw the Lewis Dot Structure for Mg(NO3)2 Magnesium nitrate Magnesium Nitrate Molar Mass See the elemental composition, mole. There are 4 easy steps to find the molar mass of (mg (no3))2 based on its chemical formula. This compound is also known as magnesium nitrate. It is used in pyrotechnics, nitric acid production, and other industries. Molar mass of mg (no3)2 = 148.3148 g/mol. Enter a chemical formula to calculate its molar mass and. Magnesium Nitrate Molar Mass.
From www.shutterstock.com
Magnesium Nitrate Mgn2o6 Molecule Isolated On Stock Vector (Royalty Magnesium Nitrate Molar Mass Enter a chemical formula to calculate its molar mass and elemental composition. Molar mass of mg (no3)2 = 148.3148 g/mol. Count the number of each atom. This compound is also known as magnesium nitrate. Mg (no3)2 (magnesium nitrate) has a molar mass of. It is used in pyrotechnics, nitric acid production, and other industries. Learn more about its structure, reactions,. Magnesium Nitrate Molar Mass.
From nandijongchem.com
Magnesium Nitrate Mining Chemicals Magnesium Nitrate Molar Mass Mg (no3)2 (magnesium nitrate) has a molar mass of. It is used in pyrotechnics, nitric acid production, and other industries. See the elemental composition, mole. Count the number of each atom. There are 4 easy steps to find the molar mass of (mg (no3))2 based on its chemical formula. Molar mass of mg (no3)2 = 148.3148 g/mol. Magnesium nitrate is. Magnesium Nitrate Molar Mass.
From www.slideserve.com
PPT Unit 8 The Mole PowerPoint Presentation, free download ID441020 Magnesium Nitrate Molar Mass Count the number of each atom. This compound is also known as magnesium nitrate. See the elemental composition, mole. Mg (no3)2 (magnesium nitrate) has a molar mass of. Learn how to find the molar mass of mg (no3)2 based on its chemical formula and atomic masses. There are 4 easy steps to find the molar mass of (mg (no3))2 based. Magnesium Nitrate Molar Mass.
From www.numerade.com
SOLVEDFind the molar mass of the following compounds a. lithium Magnesium Nitrate Molar Mass Magnesium nitrate is an inorganic salt with a molecular weight of 148.32 g/mol (anhydrous). Molar mass of mg (no3)2 = 148.3148 g/mol. See the elemental composition, mole. This compound is also known as magnesium nitrate. It is used in pyrotechnics, nitric acid production, and other industries. Learn more about its structure, reactions, health hazards, and faqs. Count the number of. Magnesium Nitrate Molar Mass.
From www.slideserve.com
PPT The Mole / Molar Mass and Molecular Formulas PowerPoint Magnesium Nitrate Molar Mass It is used in pyrotechnics, nitric acid production, and other industries. See the elemental composition, mole. There are 4 easy steps to find the molar mass of (mg (no3))2 based on its chemical formula. Mg (no3)2 (magnesium nitrate) has a molar mass of. Learn more about its structure, reactions, health hazards, and faqs. Count the number of each atom. Molar. Magnesium Nitrate Molar Mass.
From www.youtube.com
How to calculate the molar mass of calcium nitrate YouTube Magnesium Nitrate Molar Mass See the elemental composition, mole. Enter a chemical formula to calculate its molar mass and elemental composition. Learn how to find the molar mass of mg (no3)2 based on its chemical formula and atomic masses. This compound is also known as magnesium nitrate. Count the number of each atom. Mg (no3)2 (magnesium nitrate) has a molar mass of. It is. Magnesium Nitrate Molar Mass.
From www.numerade.com
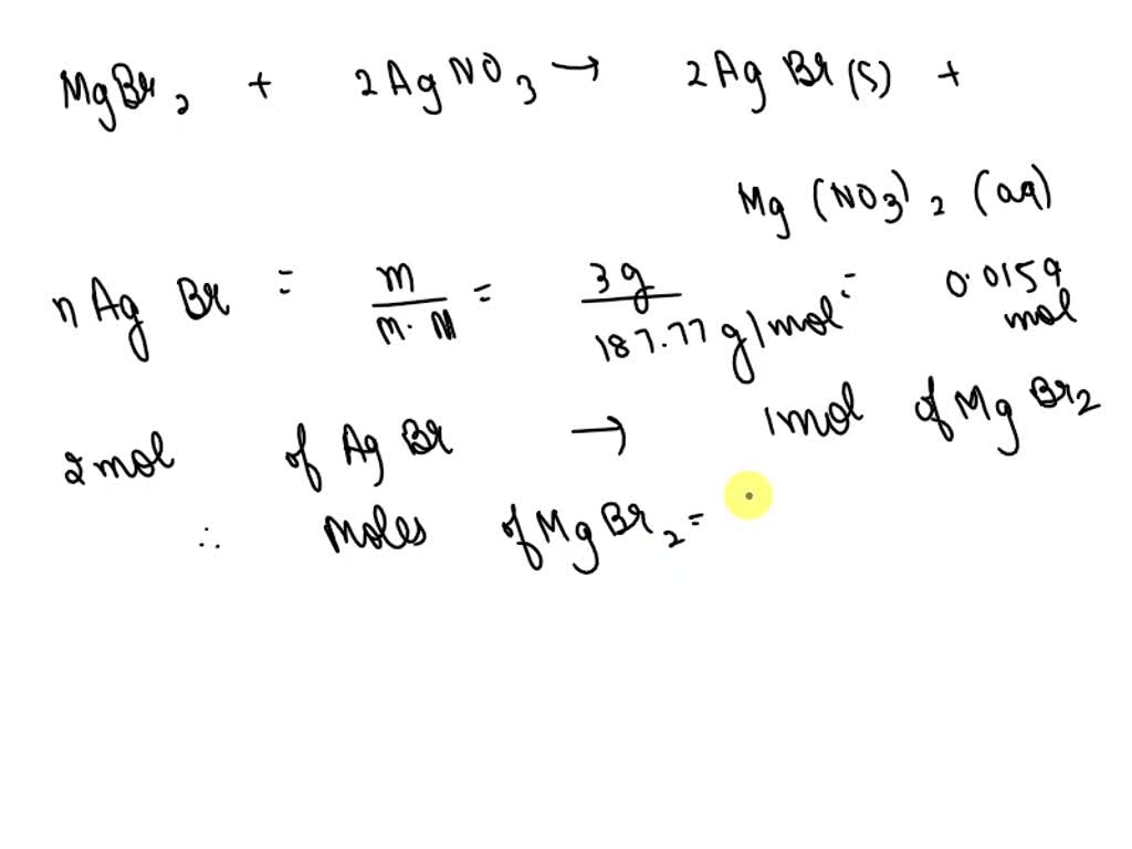
SOLVED In the following reaction, how many mL of 0.350 M magnesium Magnesium Nitrate Molar Mass Learn more about its structure, reactions, health hazards, and faqs. It is used in pyrotechnics, nitric acid production, and other industries. There are 4 easy steps to find the molar mass of (mg (no3))2 based on its chemical formula. See the elemental composition, mole. Count the number of each atom. Magnesium nitrate is an inorganic salt with a molecular weight. Magnesium Nitrate Molar Mass.
From www.gauthmath.com
Solved MOLAR MASS 9. CALCULATE THE MOLAR MASS OF NITROGEN TRIBROMIDE Magnesium Nitrate Molar Mass There are 4 easy steps to find the molar mass of (mg (no3))2 based on its chemical formula. Molar mass of mg (no3)2 = 148.3148 g/mol. Mg (no3)2 (magnesium nitrate) has a molar mass of. This compound is also known as magnesium nitrate. It is used in pyrotechnics, nitric acid production, and other industries. See the elemental composition, mole. Explanation. Magnesium Nitrate Molar Mass.
From slideplayer.com
The Mole Concept. ppt download Magnesium Nitrate Molar Mass Enter a chemical formula to calculate its molar mass and elemental composition. Magnesium nitrate is an inorganic salt with a molecular weight of 148.32 g/mol (anhydrous). This compound is also known as magnesium nitrate. It is used in pyrotechnics, nitric acid production, and other industries. Explanation of how to find the molar mass of mg (no3)2: Learn how to find. Magnesium Nitrate Molar Mass.
From www.transtutors.com
(Get Answer) Calculate The Molar Mass And Percent Composition Of Magnesium Nitrate Molar Mass Learn how to find the molar mass of mg (no3)2 based on its chemical formula and atomic masses. Molar mass of mg (no3)2 = 148.3148 g/mol. Learn more about its structure, reactions, health hazards, and faqs. Magnesium nitrate is an inorganic salt with a molecular weight of 148.32 g/mol (anhydrous). This compound is also known as magnesium nitrate. Enter a. Magnesium Nitrate Molar Mass.
From www.youtube.com
Writing Ionic Formulas Magnesium Nitrate YouTube Magnesium Nitrate Molar Mass Explanation of how to find the molar mass of mg (no3)2: Learn more about its structure, reactions, health hazards, and faqs. Learn how to find the molar mass of mg (no3)2 based on its chemical formula and atomic masses. Count the number of each atom. See the elemental composition, mole. There are 4 easy steps to find the molar mass. Magnesium Nitrate Molar Mass.
From www.youtube.com
How to Find the Number of Atoms in Mg(NO3)2 (Magnesium nitrate) YouTube Magnesium Nitrate Molar Mass Magnesium nitrate is an inorganic salt with a molecular weight of 148.32 g/mol (anhydrous). Explanation of how to find the molar mass of mg (no3)2: There are 4 easy steps to find the molar mass of (mg (no3))2 based on its chemical formula. It is used in pyrotechnics, nitric acid production, and other industries. See the elemental composition, mole. Count. Magnesium Nitrate Molar Mass.
From www.youtube.com
How to Write the Formula for Magnesium nitrate YouTube Magnesium Nitrate Molar Mass See the elemental composition, mole. It is used in pyrotechnics, nitric acid production, and other industries. Learn how to find the molar mass of mg (no3)2 based on its chemical formula and atomic masses. There are 4 easy steps to find the molar mass of (mg (no3))2 based on its chemical formula. Explanation of how to find the molar mass. Magnesium Nitrate Molar Mass.
From www.ebay.com
Magnesium Nitrate [Mg(NO3)2] 99 USP Food Grade Powder 1.1 Lb in Three Magnesium Nitrate Molar Mass Count the number of each atom. Molar mass of mg (no3)2 = 148.3148 g/mol. This compound is also known as magnesium nitrate. Mg (no3)2 (magnesium nitrate) has a molar mass of. It is used in pyrotechnics, nitric acid production, and other industries. Enter a chemical formula to calculate its molar mass and elemental composition. There are 4 easy steps to. Magnesium Nitrate Molar Mass.
From www.numerade.com
SOLVED In the following reaction, how many mL of 0.350 M magnesium Magnesium Nitrate Molar Mass It is used in pyrotechnics, nitric acid production, and other industries. Enter a chemical formula to calculate its molar mass and elemental composition. This compound is also known as magnesium nitrate. Count the number of each atom. Magnesium nitrate is an inorganic salt with a molecular weight of 148.32 g/mol (anhydrous). Learn how to find the molar mass of mg. Magnesium Nitrate Molar Mass.
From www.youtube.com
Calculate molecular weight Maginisum nitrateMolar mass Mg(NO3)2 Magnesium Nitrate Molar Mass This compound is also known as magnesium nitrate. Mg (no3)2 (magnesium nitrate) has a molar mass of. Count the number of each atom. Learn how to find the molar mass of mg (no3)2 based on its chemical formula and atomic masses. Enter a chemical formula to calculate its molar mass and elemental composition. Explanation of how to find the molar. Magnesium Nitrate Molar Mass.
From www.vectorstock.com
Magnesium nitrate MgN2O6 molecule Royalty Free Vector Image Magnesium Nitrate Molar Mass This compound is also known as magnesium nitrate. Explanation of how to find the molar mass of mg (no3)2: See the elemental composition, mole. Mg (no3)2 (magnesium nitrate) has a molar mass of. It is used in pyrotechnics, nitric acid production, and other industries. Learn more about its structure, reactions, health hazards, and faqs. Magnesium nitrate is an inorganic salt. Magnesium Nitrate Molar Mass.
From www.coursehero.com
[Solved] mole of magnesium is 0.212g. Complete the following steps Magnesium Nitrate Molar Mass Learn more about its structure, reactions, health hazards, and faqs. See the elemental composition, mole. Enter a chemical formula to calculate its molar mass and elemental composition. Magnesium nitrate is an inorganic salt with a molecular weight of 148.32 g/mol (anhydrous). This compound is also known as magnesium nitrate. Explanation of how to find the molar mass of mg (no3)2:. Magnesium Nitrate Molar Mass.
From slideplayer.com
Factor Label Method and the Mole ppt download Magnesium Nitrate Molar Mass Count the number of each atom. It is used in pyrotechnics, nitric acid production, and other industries. Mg (no3)2 (magnesium nitrate) has a molar mass of. Molar mass of mg (no3)2 = 148.3148 g/mol. Enter a chemical formula to calculate its molar mass and elemental composition. Learn more about its structure, reactions, health hazards, and faqs. Explanation of how to. Magnesium Nitrate Molar Mass.
From www.slideserve.com
PPT Hydrates PowerPoint Presentation, free download ID2110313 Magnesium Nitrate Molar Mass There are 4 easy steps to find the molar mass of (mg (no3))2 based on its chemical formula. Mg (no3)2 (magnesium nitrate) has a molar mass of. Learn more about its structure, reactions, health hazards, and faqs. It is used in pyrotechnics, nitric acid production, and other industries. See the elemental composition, mole. Enter a chemical formula to calculate its. Magnesium Nitrate Molar Mass.