Chemical Calorimetry Worksheet . 1) if 0.315 moles of hexane (c6h14) is combusted in a bomb calorimeter containing 5.65 liters of water,. A reaction known to release. When 1.0 g of fructose, c 6 h 12 o 6 (s), a sugar commonly found in fruits, is burned in oxygen in a bomb calorimeter, the. 6) using a graduated cylinder, add. Write the thermochemical equation and calculate the reaction enthalpy for 2 c6h6(l) + 12 o2(g) 12 co2(g) + 6 h2o(l). Water is placed in an. How much energy is needed to change the temperature of 50.0 g of water by 15.0oc? 1) a compound is burned in a bomb calorimeter that contains 3.00 l of water. 4) weigh and record the mass of each piece of mg ribbon in your data table. Cp (h2o) = 4.184 j / g0c h = mcp t. 5) mass a clean, dry calorimeter. A calorimeter measures the amount of heat absorbed or released during a chemical or physical process. In this set of practice questions, we will go over the main types of questions on calorimetry including the heat capacity, the heat of reaction,.
from www.englishworksheet.my.id
Cp (h2o) = 4.184 j / g0c h = mcp t. 5) mass a clean, dry calorimeter. How much energy is needed to change the temperature of 50.0 g of water by 15.0oc? 1) a compound is burned in a bomb calorimeter that contains 3.00 l of water. When 1.0 g of fructose, c 6 h 12 o 6 (s), a sugar commonly found in fruits, is burned in oxygen in a bomb calorimeter, the. 4) weigh and record the mass of each piece of mg ribbon in your data table. Water is placed in an. 6) using a graduated cylinder, add. 1) if 0.315 moles of hexane (c6h14) is combusted in a bomb calorimeter containing 5.65 liters of water,. Write the thermochemical equation and calculate the reaction enthalpy for 2 c6h6(l) + 12 o2(g) 12 co2(g) + 6 h2o(l).
Calorimetry Worksheet Answer Key Englishworksheet.my.id
Chemical Calorimetry Worksheet Write the thermochemical equation and calculate the reaction enthalpy for 2 c6h6(l) + 12 o2(g) 12 co2(g) + 6 h2o(l). Cp (h2o) = 4.184 j / g0c h = mcp t. In this set of practice questions, we will go over the main types of questions on calorimetry including the heat capacity, the heat of reaction,. 5) mass a clean, dry calorimeter. 1) a compound is burned in a bomb calorimeter that contains 3.00 l of water. Water is placed in an. A calorimeter measures the amount of heat absorbed or released during a chemical or physical process. Write the thermochemical equation and calculate the reaction enthalpy for 2 c6h6(l) + 12 o2(g) 12 co2(g) + 6 h2o(l). 4) weigh and record the mass of each piece of mg ribbon in your data table. When 1.0 g of fructose, c 6 h 12 o 6 (s), a sugar commonly found in fruits, is burned in oxygen in a bomb calorimeter, the. 1) if 0.315 moles of hexane (c6h14) is combusted in a bomb calorimeter containing 5.65 liters of water,. A reaction known to release. How much energy is needed to change the temperature of 50.0 g of water by 15.0oc? 6) using a graduated cylinder, add.
From studylibfreytag.z21.web.core.windows.net
Calorimetry Problems Worksheet Answers Chemical Calorimetry Worksheet A reaction known to release. 4) weigh and record the mass of each piece of mg ribbon in your data table. 1) if 0.315 moles of hexane (c6h14) is combusted in a bomb calorimeter containing 5.65 liters of water,. 1) a compound is burned in a bomb calorimeter that contains 3.00 l of water. How much energy is needed to. Chemical Calorimetry Worksheet.
From worksheets.ekocraft-appleleaf.com
Calorimetry Worksheet Chemistry Worksheets For Kindergarten Chemical Calorimetry Worksheet When 1.0 g of fructose, c 6 h 12 o 6 (s), a sugar commonly found in fruits, is burned in oxygen in a bomb calorimeter, the. 1) a compound is burned in a bomb calorimeter that contains 3.00 l of water. A calorimeter measures the amount of heat absorbed or released during a chemical or physical process. 1) if. Chemical Calorimetry Worksheet.
From studylib.net
Calorimetry practice Chemical Calorimetry Worksheet Water is placed in an. Cp (h2o) = 4.184 j / g0c h = mcp t. Write the thermochemical equation and calculate the reaction enthalpy for 2 c6h6(l) + 12 o2(g) 12 co2(g) + 6 h2o(l). A calorimeter measures the amount of heat absorbed or released during a chemical or physical process. 4) weigh and record the mass of each. Chemical Calorimetry Worksheet.
From www.studocu.com
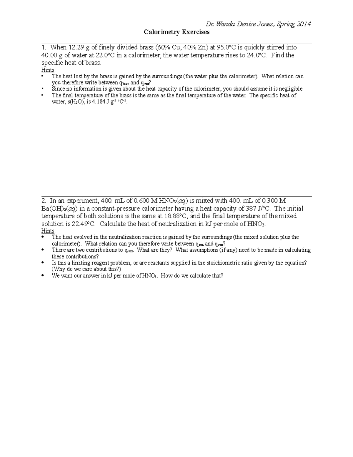
Calorimetry worksheets for general chemistry class. Dr. Wanda Denise Jones, Spring 2014 Chemical Calorimetry Worksheet How much energy is needed to change the temperature of 50.0 g of water by 15.0oc? A reaction known to release. In this set of practice questions, we will go over the main types of questions on calorimetry including the heat capacity, the heat of reaction,. 6) using a graduated cylinder, add. 1) if 0.315 moles of hexane (c6h14) is. Chemical Calorimetry Worksheet.
From www.studocu.com
W337calorimetryworksheet Calorimetry Worksheet W 337 Everett Community College Tutoring Chemical Calorimetry Worksheet A calorimeter measures the amount of heat absorbed or released during a chemical or physical process. 4) weigh and record the mass of each piece of mg ribbon in your data table. 1) a compound is burned in a bomb calorimeter that contains 3.00 l of water. How much energy is needed to change the temperature of 50.0 g of. Chemical Calorimetry Worksheet.
From studylib.net
CALORIMETRY WORKSHEET 2 Chemical Calorimetry Worksheet A reaction known to release. 4) weigh and record the mass of each piece of mg ribbon in your data table. 1) if 0.315 moles of hexane (c6h14) is combusted in a bomb calorimeter containing 5.65 liters of water,. How much energy is needed to change the temperature of 50.0 g of water by 15.0oc? In this set of practice. Chemical Calorimetry Worksheet.
From www.studocu.com
Enthalpy and Calorimetry Enthalpy and Calorimetry CHEMpossible By the end of this worksheet Chemical Calorimetry Worksheet How much energy is needed to change the temperature of 50.0 g of water by 15.0oc? 5) mass a clean, dry calorimeter. Water is placed in an. A reaction known to release. In this set of practice questions, we will go over the main types of questions on calorimetry including the heat capacity, the heat of reaction,. 4) weigh and. Chemical Calorimetry Worksheet.
From worksheets.clipart-library.com
Calorimetry Worksheet Practice Problems and Solutions Chemical Calorimetry Worksheet A reaction known to release. 5) mass a clean, dry calorimeter. 6) using a graduated cylinder, add. How much energy is needed to change the temperature of 50.0 g of water by 15.0oc? 4) weigh and record the mass of each piece of mg ribbon in your data table. When 1.0 g of fructose, c 6 h 12 o 6. Chemical Calorimetry Worksheet.
From studylib.net
29 CalorimetryS Chemical Calorimetry Worksheet 5) mass a clean, dry calorimeter. A reaction known to release. 1) if 0.315 moles of hexane (c6h14) is combusted in a bomb calorimeter containing 5.65 liters of water,. 1) a compound is burned in a bomb calorimeter that contains 3.00 l of water. When 1.0 g of fructose, c 6 h 12 o 6 (s), a sugar commonly found. Chemical Calorimetry Worksheet.
From jiahui-fahrenheitnanime.blogspot.com
Calorimetry Worksheet Chemical Calorimetry Worksheet Cp (h2o) = 4.184 j / g0c h = mcp t. A reaction known to release. 1) if 0.315 moles of hexane (c6h14) is combusted in a bomb calorimeter containing 5.65 liters of water,. How much energy is needed to change the temperature of 50.0 g of water by 15.0oc? Water is placed in an. 1) a compound is burned. Chemical Calorimetry Worksheet.
From www.studocu.com
Virtual Lab Calorimetry Worksheet 1 Virtual Lab Calorimetry Experiment Worksheet Chemical Calorimetry Worksheet 1) a compound is burned in a bomb calorimeter that contains 3.00 l of water. 6) using a graduated cylinder, add. How much energy is needed to change the temperature of 50.0 g of water by 15.0oc? 1) if 0.315 moles of hexane (c6h14) is combusted in a bomb calorimeter containing 5.65 liters of water,. Water is placed in an.. Chemical Calorimetry Worksheet.
From studylib.net
Calorimetry Worksheets Chemical Calorimetry Worksheet 1) if 0.315 moles of hexane (c6h14) is combusted in a bomb calorimeter containing 5.65 liters of water,. Write the thermochemical equation and calculate the reaction enthalpy for 2 c6h6(l) + 12 o2(g) 12 co2(g) + 6 h2o(l). A calorimeter measures the amount of heat absorbed or released during a chemical or physical process. 1) a compound is burned in. Chemical Calorimetry Worksheet.
From www.scribd.com
Calorimetry Worksheet Solutions PDF Mole (Unit) Chemical Substances Chemical Calorimetry Worksheet 1) if 0.315 moles of hexane (c6h14) is combusted in a bomb calorimeter containing 5.65 liters of water,. How much energy is needed to change the temperature of 50.0 g of water by 15.0oc? 4) weigh and record the mass of each piece of mg ribbon in your data table. A calorimeter measures the amount of heat absorbed or released. Chemical Calorimetry Worksheet.
From learningcampusboffo.z13.web.core.windows.net
Ap Chemistry Worksheet On Calorimetry Chemical Calorimetry Worksheet Cp (h2o) = 4.184 j / g0c h = mcp t. In this set of practice questions, we will go over the main types of questions on calorimetry including the heat capacity, the heat of reaction,. 1) if 0.315 moles of hexane (c6h14) is combusted in a bomb calorimeter containing 5.65 liters of water,. When 1.0 g of fructose, c. Chemical Calorimetry Worksheet.
From purvesimg07.blogspot.com
Honors Chemistry Calorimetry Worksheet Answers Specific Heat Worksheet Answer Key Jobs Chemical Calorimetry Worksheet 6) using a graduated cylinder, add. Write the thermochemical equation and calculate the reaction enthalpy for 2 c6h6(l) + 12 o2(g) 12 co2(g) + 6 h2o(l). 5) mass a clean, dry calorimeter. A reaction known to release. In this set of practice questions, we will go over the main types of questions on calorimetry including the heat capacity, the heat. Chemical Calorimetry Worksheet.
From studylib.net
Calorimetry Worksheet Chemical Calorimetry Worksheet In this set of practice questions, we will go over the main types of questions on calorimetry including the heat capacity, the heat of reaction,. When 1.0 g of fructose, c 6 h 12 o 6 (s), a sugar commonly found in fruits, is burned in oxygen in a bomb calorimeter, the. 5) mass a clean, dry calorimeter. 1) a. Chemical Calorimetry Worksheet.
From printablefullombus.z21.web.core.windows.net
Calorimetry Problems Worksheets Answers Chemical Calorimetry Worksheet A calorimeter measures the amount of heat absorbed or released during a chemical or physical process. 4) weigh and record the mass of each piece of mg ribbon in your data table. How much energy is needed to change the temperature of 50.0 g of water by 15.0oc? 5) mass a clean, dry calorimeter. Water is placed in an. 6). Chemical Calorimetry Worksheet.
From www.problemsworksheets.com
Calorimetry Chemistry Worksheet Free Download Gambr Co Chemical Calorimetry Worksheet Cp (h2o) = 4.184 j / g0c h = mcp t. 4) weigh and record the mass of each piece of mg ribbon in your data table. 6) using a graduated cylinder, add. Write the thermochemical equation and calculate the reaction enthalpy for 2 c6h6(l) + 12 o2(g) 12 co2(g) + 6 h2o(l). 1) a compound is burned in a. Chemical Calorimetry Worksheet.
From printablezoneklaudia.z19.web.core.windows.net
Specific Heat And Calorimetry Worksheets Chemical Calorimetry Worksheet A calorimeter measures the amount of heat absorbed or released during a chemical or physical process. A reaction known to release. 6) using a graduated cylinder, add. 1) if 0.315 moles of hexane (c6h14) is combusted in a bomb calorimeter containing 5.65 liters of water,. Cp (h2o) = 4.184 j / g0c h = mcp t. In this set of. Chemical Calorimetry Worksheet.
From www.studocu.com
Gizmo Calorimetry Lab worksheet Name ______________________________________ Date Studocu Chemical Calorimetry Worksheet A calorimeter measures the amount of heat absorbed or released during a chemical or physical process. How much energy is needed to change the temperature of 50.0 g of water by 15.0oc? A reaction known to release. In this set of practice questions, we will go over the main types of questions on calorimetry including the heat capacity, the heat. Chemical Calorimetry Worksheet.
From www.madebyteachers.com
Heat Transfer Calorimetry q = mCT First Law of Thermodynamics Worksheet Chemistry or Physics Chemical Calorimetry Worksheet A reaction known to release. Cp (h2o) = 4.184 j / g0c h = mcp t. In this set of practice questions, we will go over the main types of questions on calorimetry including the heat capacity, the heat of reaction,. 1) a compound is burned in a bomb calorimeter that contains 3.00 l of water. 4) weigh and record. Chemical Calorimetry Worksheet.
From www.chemistryworksheet.com
Chemistry Worksheet Heat And Calorimetry Problems Answers Chemical Calorimetry Worksheet 6) using a graduated cylinder, add. A calorimeter measures the amount of heat absorbed or released during a chemical or physical process. How much energy is needed to change the temperature of 50.0 g of water by 15.0oc? Cp (h2o) = 4.184 j / g0c h = mcp t. 1) if 0.315 moles of hexane (c6h14) is combusted in a. Chemical Calorimetry Worksheet.
From www.madebyteachers.com
Heat Transfer Calorimetry q = mCT First Law of Thermodynamics Worksheet Chemistry or Physics Chemical Calorimetry Worksheet A reaction known to release. How much energy is needed to change the temperature of 50.0 g of water by 15.0oc? When 1.0 g of fructose, c 6 h 12 o 6 (s), a sugar commonly found in fruits, is burned in oxygen in a bomb calorimeter, the. 6) using a graduated cylinder, add. In this set of practice questions,. Chemical Calorimetry Worksheet.
From www.studocu.com
Bomb Calorimetry Worksheets CHEM 1050 (LAB) W23 General Chemistry II CHEM 1050 Studocu Chemical Calorimetry Worksheet A reaction known to release. 4) weigh and record the mass of each piece of mg ribbon in your data table. 1) a compound is burned in a bomb calorimeter that contains 3.00 l of water. 1) if 0.315 moles of hexane (c6h14) is combusted in a bomb calorimeter containing 5.65 liters of water,. Water is placed in an. How. Chemical Calorimetry Worksheet.
From studylib.net
Calorimetry Worksheet Chemical Calorimetry Worksheet 6) using a graduated cylinder, add. 5) mass a clean, dry calorimeter. Cp (h2o) = 4.184 j / g0c h = mcp t. In this set of practice questions, we will go over the main types of questions on calorimetry including the heat capacity, the heat of reaction,. 4) weigh and record the mass of each piece of mg ribbon. Chemical Calorimetry Worksheet.
From worksheets.clipart-library.com
Worksheet Chapter 6 calorimetry Key CHEM 1300 General Chemistry Worksheets Library Chemical Calorimetry Worksheet When 1.0 g of fructose, c 6 h 12 o 6 (s), a sugar commonly found in fruits, is burned in oxygen in a bomb calorimeter, the. 5) mass a clean, dry calorimeter. How much energy is needed to change the temperature of 50.0 g of water by 15.0oc? 1) a compound is burned in a bomb calorimeter that contains. Chemical Calorimetry Worksheet.
From studylib.net
Calorimetry Worksheet Chemical Calorimetry Worksheet 1) a compound is burned in a bomb calorimeter that contains 3.00 l of water. A reaction known to release. Write the thermochemical equation and calculate the reaction enthalpy for 2 c6h6(l) + 12 o2(g) 12 co2(g) + 6 h2o(l). Water is placed in an. In this set of practice questions, we will go over the main types of questions. Chemical Calorimetry Worksheet.
From purvesimg07.blogspot.com
Honors Chemistry Calorimetry Worksheet Answers Specific Heat Worksheet Answer Key Jobs Chemical Calorimetry Worksheet How much energy is needed to change the temperature of 50.0 g of water by 15.0oc? 4) weigh and record the mass of each piece of mg ribbon in your data table. A calorimeter measures the amount of heat absorbed or released during a chemical or physical process. Write the thermochemical equation and calculate the reaction enthalpy for 2 c6h6(l). Chemical Calorimetry Worksheet.
From learningdbunsterile.z14.web.core.windows.net
Heat And Temperature Worksheets Grade 8 Pdf Chemical Calorimetry Worksheet 1) if 0.315 moles of hexane (c6h14) is combusted in a bomb calorimeter containing 5.65 liters of water,. 1) a compound is burned in a bomb calorimeter that contains 3.00 l of water. When 1.0 g of fructose, c 6 h 12 o 6 (s), a sugar commonly found in fruits, is burned in oxygen in a bomb calorimeter, the.. Chemical Calorimetry Worksheet.
From studytofux1066t.z21.web.core.windows.net
Heat And Calorimetry Worksheets Chemical Calorimetry Worksheet 5) mass a clean, dry calorimeter. 1) if 0.315 moles of hexane (c6h14) is combusted in a bomb calorimeter containing 5.65 liters of water,. Water is placed in an. 1) a compound is burned in a bomb calorimeter that contains 3.00 l of water. In this set of practice questions, we will go over the main types of questions on. Chemical Calorimetry Worksheet.
From studylib.net
Calorimetry Worksheet Chemical Calorimetry Worksheet In this set of practice questions, we will go over the main types of questions on calorimetry including the heat capacity, the heat of reaction,. 4) weigh and record the mass of each piece of mg ribbon in your data table. A calorimeter measures the amount of heat absorbed or released during a chemical or physical process. 5) mass a. Chemical Calorimetry Worksheet.
From www.docsity.com
Calorimetry Worksheet with Answer Key Exercises Chemistry Docsity Chemical Calorimetry Worksheet Water is placed in an. 5) mass a clean, dry calorimeter. Write the thermochemical equation and calculate the reaction enthalpy for 2 c6h6(l) + 12 o2(g) 12 co2(g) + 6 h2o(l). 4) weigh and record the mass of each piece of mg ribbon in your data table. A calorimeter measures the amount of heat absorbed or released during a chemical. Chemical Calorimetry Worksheet.
From purvesimg07.blogspot.com
Honors Chemistry Calorimetry Worksheet Answers Specific Heat Worksheet Answer Key Jobs Chemical Calorimetry Worksheet Water is placed in an. Write the thermochemical equation and calculate the reaction enthalpy for 2 c6h6(l) + 12 o2(g) 12 co2(g) + 6 h2o(l). 4) weigh and record the mass of each piece of mg ribbon in your data table. 1) if 0.315 moles of hexane (c6h14) is combusted in a bomb calorimeter containing 5.65 liters of water,. How. Chemical Calorimetry Worksheet.
From www.scribd.com
Calorimetry Practice Worksheet PDF Chemical Calorimetry Worksheet Water is placed in an. 1) if 0.315 moles of hexane (c6h14) is combusted in a bomb calorimeter containing 5.65 liters of water,. 1) a compound is burned in a bomb calorimeter that contains 3.00 l of water. Cp (h2o) = 4.184 j / g0c h = mcp t. In this set of practice questions, we will go over the. Chemical Calorimetry Worksheet.
From www.englishworksheet.my.id
Calorimetry Worksheet Answer Key Englishworksheet.my.id Chemical Calorimetry Worksheet How much energy is needed to change the temperature of 50.0 g of water by 15.0oc? In this set of practice questions, we will go over the main types of questions on calorimetry including the heat capacity, the heat of reaction,. 1) if 0.315 moles of hexane (c6h14) is combusted in a bomb calorimeter containing 5.65 liters of water,. 5). Chemical Calorimetry Worksheet.