Lead 2 Iodide Ksp . If there are any other salts. All carbonates, sulfides, oxides and. Determine the solubility product constant k sp for lead(ii) iodide (pbi 2) from titrimetric data. It is formed by mixing by mixing lead(ii) nitrate and potassium iodide. We hope they will prove usefull to you. 176 rows solubility product constant (ksp) (or the solubility product) is the product of the molar concentrations of the. Ionic compound formula k sp. Crc handbook of chemistry and. Below are the values of the ksp product constant for the most common salts. ) for compounds at 25°c. 133 rows all silver, lead and mercury(i) salts are insoluble. Solubility product constants near 25 °c. All chlorides, bromides and iodides are soluble. Lead iodide is a iodide of lead that varies in color from yellow to red, depending of the temperature.
from www.chegg.com
Ionic compound formula k sp. We hope they will prove usefull to you. 176 rows solubility product constant (ksp) (or the solubility product) is the product of the molar concentrations of the. It is formed by mixing by mixing lead(ii) nitrate and potassium iodide. Solubility product constants near 25 °c. All carbonates, sulfides, oxides and. If there are any other salts. Determine the solubility product constant k sp for lead(ii) iodide (pbi 2) from titrimetric data. 133 rows all silver, lead and mercury(i) salts are insoluble. ) for compounds at 25°c.
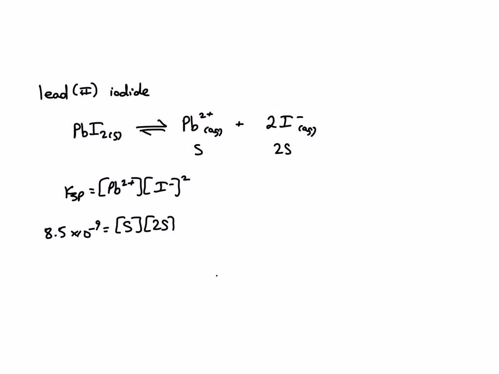
Solved Ksp for lead iodide is 8.5 x 109 at 25°C. Determine
Lead 2 Iodide Ksp If there are any other salts. All chlorides, bromides and iodides are soluble. All carbonates, sulfides, oxides and. Solubility product constants near 25 °c. 133 rows all silver, lead and mercury(i) salts are insoluble. Below are the values of the ksp product constant for the most common salts. If there are any other salts. We hope they will prove usefull to you. It is formed by mixing by mixing lead(ii) nitrate and potassium iodide. Lead iodide is a iodide of lead that varies in color from yellow to red, depending of the temperature. Ionic compound formula k sp. ) for compounds at 25°c. Determine the solubility product constant k sp for lead(ii) iodide (pbi 2) from titrimetric data. Crc handbook of chemistry and. 176 rows solubility product constant (ksp) (or the solubility product) is the product of the molar concentrations of the.
From www.numerade.com
SOLVED Calculate the molar solubility of lead(II) iodide in water at Lead 2 Iodide Ksp It is formed by mixing by mixing lead(ii) nitrate and potassium iodide. 133 rows all silver, lead and mercury(i) salts are insoluble. We hope they will prove usefull to you. 176 rows solubility product constant (ksp) (or the solubility product) is the product of the molar concentrations of the. Crc handbook of chemistry and. ) for compounds at 25°c. Below. Lead 2 Iodide Ksp.
From www.numerade.com
SOLVED The solubility of lead(II) iodide is 0.064 g/100 mL at 20°C Lead 2 Iodide Ksp All chlorides, bromides and iodides are soluble. Lead iodide is a iodide of lead that varies in color from yellow to red, depending of the temperature. 176 rows solubility product constant (ksp) (or the solubility product) is the product of the molar concentrations of the. We hope they will prove usefull to you. Solubility product constants near 25 °c. Below. Lead 2 Iodide Ksp.
From www.numerade.com
SOLVED Lead (II) iodide is a solid and only slightly soluble in water Lead 2 Iodide Ksp Crc handbook of chemistry and. If there are any other salts. Solubility product constants near 25 °c. It is formed by mixing by mixing lead(ii) nitrate and potassium iodide. 133 rows all silver, lead and mercury(i) salts are insoluble. We hope they will prove usefull to you. All chlorides, bromides and iodides are soluble. Ionic compound formula k sp. 176. Lead 2 Iodide Ksp.
From www.numerade.com
SOLVED Lead iodide (PbI2) dissociates in solution according to the Lead 2 Iodide Ksp All chlorides, bromides and iodides are soluble. Solubility product constants near 25 °c. It is formed by mixing by mixing lead(ii) nitrate and potassium iodide. Below are the values of the ksp product constant for the most common salts. 133 rows all silver, lead and mercury(i) salts are insoluble. Ionic compound formula k sp. 176 rows solubility product constant (ksp). Lead 2 Iodide Ksp.
From www.numerade.com
SOLVED Determine the molar solubility of Lead (II) iodide. Ksp = 8.5 X Lead 2 Iodide Ksp If there are any other salts. Determine the solubility product constant k sp for lead(ii) iodide (pbi 2) from titrimetric data. Crc handbook of chemistry and. Ionic compound formula k sp. Lead iodide is a iodide of lead that varies in color from yellow to red, depending of the temperature. 133 rows all silver, lead and mercury(i) salts are insoluble.. Lead 2 Iodide Ksp.
From www.numerade.com
SOLVED Lead (II) iodide is an ionic compound with a solubility product Lead 2 Iodide Ksp Lead iodide is a iodide of lead that varies in color from yellow to red, depending of the temperature. All chlorides, bromides and iodides are soluble. All carbonates, sulfides, oxides and. Below are the values of the ksp product constant for the most common salts. ) for compounds at 25°c. 133 rows all silver, lead and mercury(i) salts are insoluble.. Lead 2 Iodide Ksp.
From www.numerade.com
SOLVED The solubility of lead(IT) iodide IS 1.39 x 10 mol/L at 200C Lead 2 Iodide Ksp ) for compounds at 25°c. Solubility product constants near 25 °c. Crc handbook of chemistry and. It is formed by mixing by mixing lead(ii) nitrate and potassium iodide. 176 rows solubility product constant (ksp) (or the solubility product) is the product of the molar concentrations of the. All carbonates, sulfides, oxides and. We hope they will prove usefull to you.. Lead 2 Iodide Ksp.
From www.numerade.com
SOLVED Th concentration of iodide ions in a saturated solution of lead Lead 2 Iodide Ksp If there are any other salts. It is formed by mixing by mixing lead(ii) nitrate and potassium iodide. 176 rows solubility product constant (ksp) (or the solubility product) is the product of the molar concentrations of the. Crc handbook of chemistry and. All carbonates, sulfides, oxides and. Below are the values of the ksp product constant for the most common. Lead 2 Iodide Ksp.
From studylib.net
Determining Ksp of Lead(II) Lead 2 Iodide Ksp Crc handbook of chemistry and. 133 rows all silver, lead and mercury(i) salts are insoluble. All carbonates, sulfides, oxides and. ) for compounds at 25°c. Lead iodide is a iodide of lead that varies in color from yellow to red, depending of the temperature. Ionic compound formula k sp. Determine the solubility product constant k sp for lead(ii) iodide (pbi. Lead 2 Iodide Ksp.
From www.chegg.com
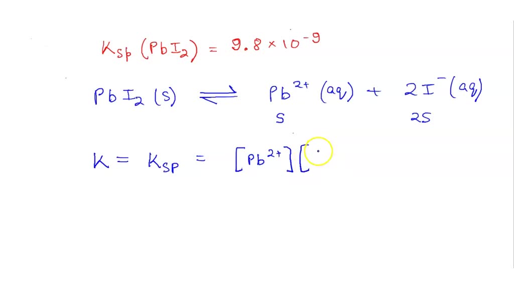
Pbt 1. Consider lead(II) iodide (Ksp=9.8E9) a. Lead 2 Iodide Ksp If there are any other salts. 133 rows all silver, lead and mercury(i) salts are insoluble. All chlorides, bromides and iodides are soluble. Below are the values of the ksp product constant for the most common salts. ) for compounds at 25°c. All carbonates, sulfides, oxides and. We hope they will prove usefull to you. Crc handbook of chemistry and.. Lead 2 Iodide Ksp.
From www.bartleby.com
Answered Ksp value for lead iodide was… bartleby Lead 2 Iodide Ksp Crc handbook of chemistry and. All chlorides, bromides and iodides are soluble. Ionic compound formula k sp. Below are the values of the ksp product constant for the most common salts. If there are any other salts. Determine the solubility product constant k sp for lead(ii) iodide (pbi 2) from titrimetric data. Solubility product constants near 25 °c. 133 rows. Lead 2 Iodide Ksp.
From www.chegg.com
Solved 37pts) Determining Ksp of Lead(II) Iodide Lead 2 Iodide Ksp Ionic compound formula k sp. All chlorides, bromides and iodides are soluble. It is formed by mixing by mixing lead(ii) nitrate and potassium iodide. 176 rows solubility product constant (ksp) (or the solubility product) is the product of the molar concentrations of the. 133 rows all silver, lead and mercury(i) salts are insoluble. Crc handbook of chemistry and. We hope. Lead 2 Iodide Ksp.
From www.numerade.com
SOLVED a) At 20°C, the solubility of lead (II) iodide is 0.0756 g Lead 2 Iodide Ksp Below are the values of the ksp product constant for the most common salts. It is formed by mixing by mixing lead(ii) nitrate and potassium iodide. ) for compounds at 25°c. Ionic compound formula k sp. We hope they will prove usefull to you. If there are any other salts. Solubility product constants near 25 °c. All carbonates, sulfides, oxides. Lead 2 Iodide Ksp.
From www.slideserve.com
PPT Chapter 15 PowerPoint Presentation, free download ID3279134 Lead 2 Iodide Ksp Below are the values of the ksp product constant for the most common salts. All chlorides, bromides and iodides are soluble. All carbonates, sulfides, oxides and. ) for compounds at 25°c. Crc handbook of chemistry and. We hope they will prove usefull to you. 176 rows solubility product constant (ksp) (or the solubility product) is the product of the molar. Lead 2 Iodide Ksp.
From www.numerade.com
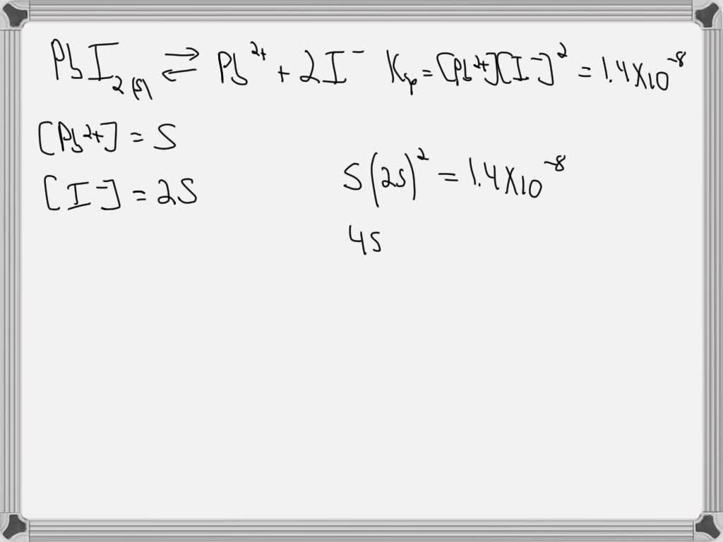
SOLVED 2) For the insoluble salt lead(II) iodide, the solubility Lead 2 Iodide Ksp Ionic compound formula k sp. It is formed by mixing by mixing lead(ii) nitrate and potassium iodide. All chlorides, bromides and iodides are soluble. We hope they will prove usefull to you. Lead iodide is a iodide of lead that varies in color from yellow to red, depending of the temperature. 176 rows solubility product constant (ksp) (or the solubility. Lead 2 Iodide Ksp.
From www.numerade.com
SOLVED 2) For the insoluble salt lead(II) iodide, the solubility Lead 2 Iodide Ksp 133 rows all silver, lead and mercury(i) salts are insoluble. It is formed by mixing by mixing lead(ii) nitrate and potassium iodide. Lead iodide is a iodide of lead that varies in color from yellow to red, depending of the temperature. ) for compounds at 25°c. 176 rows solubility product constant (ksp) (or the solubility product) is the product of. Lead 2 Iodide Ksp.
From www.numerade.com
SOLVED Calculate the molar solubility of lead(II) iodide in water at Lead 2 Iodide Ksp Below are the values of the ksp product constant for the most common salts. 133 rows all silver, lead and mercury(i) salts are insoluble. 176 rows solubility product constant (ksp) (or the solubility product) is the product of the molar concentrations of the. If there are any other salts. Determine the solubility product constant k sp for lead(ii) iodide (pbi. Lead 2 Iodide Ksp.
From www.numerade.com
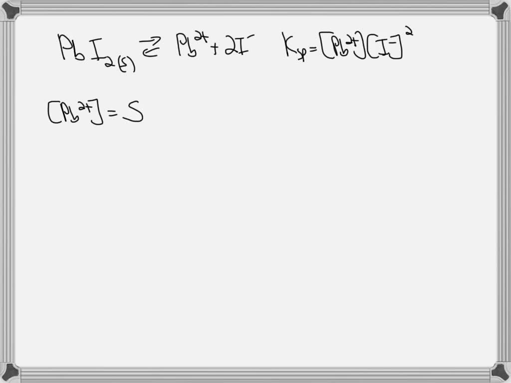
SOLVED Write the equilibrium expression for the dissolution of solid Lead 2 Iodide Ksp If there are any other salts. It is formed by mixing by mixing lead(ii) nitrate and potassium iodide. Determine the solubility product constant k sp for lead(ii) iodide (pbi 2) from titrimetric data. Below are the values of the ksp product constant for the most common salts. 176 rows solubility product constant (ksp) (or the solubility product) is the product. Lead 2 Iodide Ksp.
From www.numerade.com
The solubility of lead(II) iodide is 0.064 g/100 mL at 20°C. What is Lead 2 Iodide Ksp Determine the solubility product constant k sp for lead(ii) iodide (pbi 2) from titrimetric data. We hope they will prove usefull to you. ) for compounds at 25°c. Crc handbook of chemistry and. All chlorides, bromides and iodides are soluble. 176 rows solubility product constant (ksp) (or the solubility product) is the product of the molar concentrations of the. 133. Lead 2 Iodide Ksp.
From www.chegg.com
Solved What is the Ksp expression for lead(II) Lead 2 Iodide Ksp 176 rows solubility product constant (ksp) (or the solubility product) is the product of the molar concentrations of the. Determine the solubility product constant k sp for lead(ii) iodide (pbi 2) from titrimetric data. ) for compounds at 25°c. Solubility product constants near 25 °c. Ionic compound formula k sp. 133 rows all silver, lead and mercury(i) salts are insoluble.. Lead 2 Iodide Ksp.
From www.numerade.com
SOLVED The molar solubility for lead(II) iodide is 0.0017 M. Calculate Lead 2 Iodide Ksp ) for compounds at 25°c. All carbonates, sulfides, oxides and. 133 rows all silver, lead and mercury(i) salts are insoluble. We hope they will prove usefull to you. Crc handbook of chemistry and. 176 rows solubility product constant (ksp) (or the solubility product) is the product of the molar concentrations of the. All chlorides, bromides and iodides are soluble. Lead. Lead 2 Iodide Ksp.
From www.numerade.com
SOLVED Steps needed Question 1 Calculate molar solubility and Lead 2 Iodide Ksp Lead iodide is a iodide of lead that varies in color from yellow to red, depending of the temperature. It is formed by mixing by mixing lead(ii) nitrate and potassium iodide. Determine the solubility product constant k sp for lead(ii) iodide (pbi 2) from titrimetric data. All chlorides, bromides and iodides are soluble. 133 rows all silver, lead and mercury(i). Lead 2 Iodide Ksp.
From www.chegg.com
Solved 17. Ksp for lead(II) iodide is 8.5 x 109 at 25°C. Lead 2 Iodide Ksp All chlorides, bromides and iodides are soluble. 176 rows solubility product constant (ksp) (or the solubility product) is the product of the molar concentrations of the. Solubility product constants near 25 °c. 133 rows all silver, lead and mercury(i) salts are insoluble. Crc handbook of chemistry and. Ionic compound formula k sp. All carbonates, sulfides, oxides and. ) for compounds. Lead 2 Iodide Ksp.
From www.numerade.com
SOLVED Write the solubility product expression for lead(II) iodide Lead 2 Iodide Ksp Lead iodide is a iodide of lead that varies in color from yellow to red, depending of the temperature. Ionic compound formula k sp. ) for compounds at 25°c. All carbonates, sulfides, oxides and. Solubility product constants near 25 °c. Below are the values of the ksp product constant for the most common salts. Determine the solubility product constant k. Lead 2 Iodide Ksp.
From answerhappy.com
Questions 1. According to the course formula sheet, what is the actual Lead 2 Iodide Ksp All carbonates, sulfides, oxides and. We hope they will prove usefull to you. Below are the values of the ksp product constant for the most common salts. Solubility product constants near 25 °c. If there are any other salts. Crc handbook of chemistry and. Determine the solubility product constant k sp for lead(ii) iodide (pbi 2) from titrimetric data. It. Lead 2 Iodide Ksp.
From www.showme.com
Ksp of lead II iodide Science, Chemistry, Balancing Equations Lead 2 Iodide Ksp It is formed by mixing by mixing lead(ii) nitrate and potassium iodide. All carbonates, sulfides, oxides and. 176 rows solubility product constant (ksp) (or the solubility product) is the product of the molar concentrations of the. If there are any other salts. Determine the solubility product constant k sp for lead(ii) iodide (pbi 2) from titrimetric data. We hope they. Lead 2 Iodide Ksp.
From www.slideserve.com
PPT Solubility Product and Common ion effect PowerPoint Presentation Lead 2 Iodide Ksp 133 rows all silver, lead and mercury(i) salts are insoluble. It is formed by mixing by mixing lead(ii) nitrate and potassium iodide. 176 rows solubility product constant (ksp) (or the solubility product) is the product of the molar concentrations of the. ) for compounds at 25°c. Lead iodide is a iodide of lead that varies in color from yellow to. Lead 2 Iodide Ksp.
From www.numerade.com
SOLVED A student does an experiment to determine the molar solubility Lead 2 Iodide Ksp We hope they will prove usefull to you. All carbonates, sulfides, oxides and. Below are the values of the ksp product constant for the most common salts. Solubility product constants near 25 °c. All chlorides, bromides and iodides are soluble. If there are any other salts. Ionic compound formula k sp. 133 rows all silver, lead and mercury(i) salts are. Lead 2 Iodide Ksp.
From www.researchgate.net
2) a) Lead iodide purification setup and stages, and b) produced Lead 2 Iodide Ksp All carbonates, sulfides, oxides and. It is formed by mixing by mixing lead(ii) nitrate and potassium iodide. Solubility product constants near 25 °c. Ionic compound formula k sp. All chlorides, bromides and iodides are soluble. ) for compounds at 25°c. 133 rows all silver, lead and mercury(i) salts are insoluble. Determine the solubility product constant k sp for lead(ii) iodide. Lead 2 Iodide Ksp.
From www.scribd.com
Ksp of Lead Iodide Solubility Physical Sciences Lead 2 Iodide Ksp It is formed by mixing by mixing lead(ii) nitrate and potassium iodide. Lead iodide is a iodide of lead that varies in color from yellow to red, depending of the temperature. Determine the solubility product constant k sp for lead(ii) iodide (pbi 2) from titrimetric data. 133 rows all silver, lead and mercury(i) salts are insoluble. Ionic compound formula k. Lead 2 Iodide Ksp.
From www.numerade.com
SOLVED Cd(CN) z , cadmium cyanide Ksp =1.0 X 108 Molar solubility Lead 2 Iodide Ksp Crc handbook of chemistry and. 133 rows all silver, lead and mercury(i) salts are insoluble. We hope they will prove usefull to you. All chlorides, bromides and iodides are soluble. ) for compounds at 25°c. 176 rows solubility product constant (ksp) (or the solubility product) is the product of the molar concentrations of the. Lead iodide is a iodide of. Lead 2 Iodide Ksp.
From www.youtube.com
How to write the formula for lead (II) iodide YouTube Lead 2 Iodide Ksp Below are the values of the ksp product constant for the most common salts. If there are any other salts. Crc handbook of chemistry and. Determine the solubility product constant k sp for lead(ii) iodide (pbi 2) from titrimetric data. It is formed by mixing by mixing lead(ii) nitrate and potassium iodide. We hope they will prove usefull to you.. Lead 2 Iodide Ksp.
From www.scribd.com
Chemistry 12 How Do We Determine The Solubility Product Equilibrium Lead 2 Iodide Ksp Crc handbook of chemistry and. 133 rows all silver, lead and mercury(i) salts are insoluble. Below are the values of the ksp product constant for the most common salts. All carbonates, sulfides, oxides and. ) for compounds at 25°c. Lead iodide is a iodide of lead that varies in color from yellow to red, depending of the temperature. All chlorides,. Lead 2 Iodide Ksp.
From www.chegg.com
Solved Question 4 If the Ksp for lead (II) iodide is 7.9 x Lead 2 Iodide Ksp 176 rows solubility product constant (ksp) (or the solubility product) is the product of the molar concentrations of the. Lead iodide is a iodide of lead that varies in color from yellow to red, depending of the temperature. ) for compounds at 25°c. 133 rows all silver, lead and mercury(i) salts are insoluble. Solubility product constants near 25 °c. All. Lead 2 Iodide Ksp.
From www.chegg.com
Solved Ksp for lead iodide is 8.5 x 109 at 25°C. Determine Lead 2 Iodide Ksp 133 rows all silver, lead and mercury(i) salts are insoluble. Determine the solubility product constant k sp for lead(ii) iodide (pbi 2) from titrimetric data. Below are the values of the ksp product constant for the most common salts. 176 rows solubility product constant (ksp) (or the solubility product) is the product of the molar concentrations of the. We hope. Lead 2 Iodide Ksp.