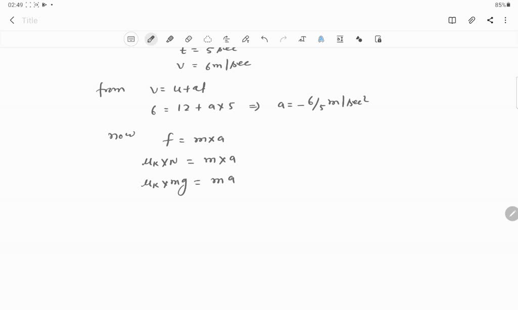
A Hockey Puck Is Hit On A Frozen Lake . A hockey puck is hit on a frozen lake and starts moving with a velocity of 13.0 m/s. Exactly 5.0sec later, its speed is 6.0m/s. Exactly 6.4 s later, its speed is 7.20 m/s. A hockey puck is hit on a frozen lake and starts moving with a speed of 12.0 m / s. It travels across the ice and 6.0s later, the velocity is 7. Five seconds later, its speed is $6.00 \mathrm{~m} / \mathrm{s}$. A hockey puck is hit on a frozen lake and starts moving with a speed of $12.0 \mathrm{~m} / \mathrm{s}$. The coefficient of kinetic friction can't be calculated without the mass of the puck. A hockey puck is hit on a frozen lake and starts moving with a speed of $12.0 \mathrm{~m} / \mathrm{s}$. A hockey puck is hit on a frozen lake and starts moving with a speed of 13.40 m/s. Five seconds later, its speed is. A hockey puck is hit on a frozen lake and starts moving with a speed of 12.0m/s. Exactly 5.0 s later, its speed is 6.0 m / s.
from nypost.com
Five seconds later, its speed is. A hockey puck is hit on a frozen lake and starts moving with a speed of 12.0 m / s. A hockey puck is hit on a frozen lake and starts moving with a speed of $12.0 \mathrm{~m} / \mathrm{s}$. It travels across the ice and 6.0s later, the velocity is 7. Five seconds later, its speed is $6.00 \mathrm{~m} / \mathrm{s}$. Exactly 5.0sec later, its speed is 6.0m/s. A hockey puck is hit on a frozen lake and starts moving with a velocity of 13.0 m/s. Exactly 5.0 s later, its speed is 6.0 m / s. A hockey puck is hit on a frozen lake and starts moving with a speed of $12.0 \mathrm{~m} / \mathrm{s}$. The coefficient of kinetic friction can't be calculated without the mass of the puck.
NHL gives up on ‘different puck’ for now
A Hockey Puck Is Hit On A Frozen Lake Five seconds later, its speed is $6.00 \mathrm{~m} / \mathrm{s}$. Exactly 6.4 s later, its speed is 7.20 m/s. A hockey puck is hit on a frozen lake and starts moving with a speed of $12.0 \mathrm{~m} / \mathrm{s}$. A hockey puck is hit on a frozen lake and starts moving with a speed of 13.40 m/s. The coefficient of kinetic friction can't be calculated without the mass of the puck. A hockey puck is hit on a frozen lake and starts moving with a velocity of 13.0 m/s. A hockey puck is hit on a frozen lake and starts moving with a speed of $12.0 \mathrm{~m} / \mathrm{s}$. Exactly 5.0sec later, its speed is 6.0m/s. It travels across the ice and 6.0s later, the velocity is 7. Five seconds later, its speed is $6.00 \mathrm{~m} / \mathrm{s}$. Five seconds later, its speed is. Exactly 5.0 s later, its speed is 6.0 m / s. A hockey puck is hit on a frozen lake and starts moving with a speed of 12.0m/s. A hockey puck is hit on a frozen lake and starts moving with a speed of 12.0 m / s.
From www.shutterstock.com
Hockey Stick Hitting Puck Impact Star Stock Vector (Royalty Free) 2410480 A Hockey Puck Is Hit On A Frozen Lake A hockey puck is hit on a frozen lake and starts moving with a speed of $12.0 \mathrm{~m} / \mathrm{s}$. Five seconds later, its speed is $6.00 \mathrm{~m} / \mathrm{s}$. A hockey puck is hit on a frozen lake and starts moving with a speed of 12.0 m / s. Exactly 5.0sec later, its speed is 6.0m/s. It travels across. A Hockey Puck Is Hit On A Frozen Lake.
From stock.adobe.com
Ice Hockey Rink Arena Professional Player Shooting the Puck with A Hockey Puck Is Hit On A Frozen Lake Five seconds later, its speed is $6.00 \mathrm{~m} / \mathrm{s}$. A hockey puck is hit on a frozen lake and starts moving with a speed of $12.0 \mathrm{~m} / \mathrm{s}$. Five seconds later, its speed is. Exactly 6.4 s later, its speed is 7.20 m/s. A hockey puck is hit on a frozen lake and starts moving with a speed. A Hockey Puck Is Hit On A Frozen Lake.
From www.shutterstock.com
Hockey Stick And Puck On The Ice Rink. Stock Photo 221190736 Shutterstock A Hockey Puck Is Hit On A Frozen Lake It travels across the ice and 6.0s later, the velocity is 7. Exactly 6.4 s later, its speed is 7.20 m/s. A hockey puck is hit on a frozen lake and starts moving with a speed of 13.40 m/s. A hockey puck is hit on a frozen lake and starts moving with a speed of 12.0m/s. Exactly 5.0sec later, its. A Hockey Puck Is Hit On A Frozen Lake.
From www.alamy.com
An ice hockey puck in midair hitting the goal post Stock Photo Alamy A Hockey Puck Is Hit On A Frozen Lake Five seconds later, its speed is $6.00 \mathrm{~m} / \mathrm{s}$. Exactly 6.4 s later, its speed is 7.20 m/s. Exactly 5.0sec later, its speed is 6.0m/s. Five seconds later, its speed is. A hockey puck is hit on a frozen lake and starts moving with a speed of $12.0 \mathrm{~m} / \mathrm{s}$. It travels across the ice and 6.0s later,. A Hockey Puck Is Hit On A Frozen Lake.
From nypost.com
NHL gives up on ‘different puck’ for now A Hockey Puck Is Hit On A Frozen Lake A hockey puck is hit on a frozen lake and starts moving with a velocity of 13.0 m/s. A hockey puck is hit on a frozen lake and starts moving with a speed of 12.0m/s. A hockey puck is hit on a frozen lake and starts moving with a speed of $12.0 \mathrm{~m} / \mathrm{s}$. Exactly 6.4 s later, its. A Hockey Puck Is Hit On A Frozen Lake.
From iceskatingpassion.com
The Ice Hockey Puck (facts, history, dimensions...) A Hockey Puck Is Hit On A Frozen Lake Five seconds later, its speed is $6.00 \mathrm{~m} / \mathrm{s}$. The coefficient of kinetic friction can't be calculated without the mass of the puck. A hockey puck is hit on a frozen lake and starts moving with a velocity of 13.0 m/s. Five seconds later, its speed is. Exactly 5.0sec later, its speed is 6.0m/s. A hockey puck is hit. A Hockey Puck Is Hit On A Frozen Lake.
From www.mentalfloss.com
11 Fun Facts About Hockey Pucks Mental Floss A Hockey Puck Is Hit On A Frozen Lake Exactly 6.4 s later, its speed is 7.20 m/s. It travels across the ice and 6.0s later, the velocity is 7. A hockey puck is hit on a frozen lake and starts moving with a speed of 13.40 m/s. Five seconds later, its speed is. A hockey puck is hit on a frozen lake and starts moving with a speed. A Hockey Puck Is Hit On A Frozen Lake.
From wonderopolis.org
What Are Hockey Pucks Made of? Wonderopolis A Hockey Puck Is Hit On A Frozen Lake Exactly 6.4 s later, its speed is 7.20 m/s. Exactly 5.0 s later, its speed is 6.0 m / s. A hockey puck is hit on a frozen lake and starts moving with a speed of $12.0 \mathrm{~m} / \mathrm{s}$. A hockey puck is hit on a frozen lake and starts moving with a speed of 12.0m/s. A hockey puck. A Hockey Puck Is Hit On A Frozen Lake.
From bshockey.com
What Are Hockey Pucks Made Of? Hockey Puck History & Facts Big Shot A Hockey Puck Is Hit On A Frozen Lake A hockey puck is hit on a frozen lake and starts moving with a speed of 12.0m/s. Five seconds later, its speed is $6.00 \mathrm{~m} / \mathrm{s}$. Five seconds later, its speed is. The coefficient of kinetic friction can't be calculated without the mass of the puck. A hockey puck is hit on a frozen lake and starts moving with. A Hockey Puck Is Hit On A Frozen Lake.
From stock.adobe.com
Hockey Stick and Puck on the Ice Rink Stock Photo Adobe Stock A Hockey Puck Is Hit On A Frozen Lake A hockey puck is hit on a frozen lake and starts moving with a speed of 13.40 m/s. It travels across the ice and 6.0s later, the velocity is 7. A hockey puck is hit on a frozen lake and starts moving with a speed of 12.0m/s. A hockey puck is hit on a frozen lake and starts moving with. A Hockey Puck Is Hit On A Frozen Lake.
From www.gearhungry.com
Best Ice Hockey Pucks In 2022 [Buying Guide] Gear Hungry A Hockey Puck Is Hit On A Frozen Lake A hockey puck is hit on a frozen lake and starts moving with a speed of 12.0 m / s. Five seconds later, its speed is $6.00 \mathrm{~m} / \mathrm{s}$. The coefficient of kinetic friction can't be calculated without the mass of the puck. A hockey puck is hit on a frozen lake and starts moving with a speed of. A Hockey Puck Is Hit On A Frozen Lake.
From www.dreamstime.com
Ice Hockey Puck Hit the Opponent Visor Stock Image Image of arena A Hockey Puck Is Hit On A Frozen Lake Exactly 6.4 s later, its speed is 7.20 m/s. A hockey puck is hit on a frozen lake and starts moving with a speed of 13.40 m/s. Exactly 5.0 s later, its speed is 6.0 m / s. A hockey puck is hit on a frozen lake and starts moving with a velocity of 13.0 m/s. A hockey puck is. A Hockey Puck Is Hit On A Frozen Lake.
From banffhockeyschool.com
How Do You Teach A Kid To Shoot A Hockey Puck? Banff Hockey School A Hockey Puck Is Hit On A Frozen Lake A hockey puck is hit on a frozen lake and starts moving with a speed of 13.40 m/s. The coefficient of kinetic friction can't be calculated without the mass of the puck. Exactly 6.4 s later, its speed is 7.20 m/s. A hockey puck is hit on a frozen lake and starts moving with a speed of 12.0 m /. A Hockey Puck Is Hit On A Frozen Lake.
From www.numerade.com
A hockey puck is hit on a frozen lake and starts moving with a speed of A Hockey Puck Is Hit On A Frozen Lake A hockey puck is hit on a frozen lake and starts moving with a speed of $12.0 \mathrm{~m} / \mathrm{s}$. Exactly 5.0sec later, its speed is 6.0m/s. A hockey puck is hit on a frozen lake and starts moving with a speed of 13.40 m/s. A hockey puck is hit on a frozen lake and starts moving with a speed. A Hockey Puck Is Hit On A Frozen Lake.
From www.writework.com
Speach About how hockey pucks were found i got apretty good mark on A Hockey Puck Is Hit On A Frozen Lake Five seconds later, its speed is $6.00 \mathrm{~m} / \mathrm{s}$. Exactly 5.0 s later, its speed is 6.0 m / s. A hockey puck is hit on a frozen lake and starts moving with a speed of 13.40 m/s. The coefficient of kinetic friction can't be calculated without the mass of the puck. A hockey puck is hit on a. A Hockey Puck Is Hit On A Frozen Lake.
From www.chegg.com
Solved A hockey puck (mass =3.5 kg ) leaves the players A Hockey Puck Is Hit On A Frozen Lake Five seconds later, its speed is. A hockey puck is hit on a frozen lake and starts moving with a speed of 12.0m/s. It travels across the ice and 6.0s later, the velocity is 7. A hockey puck is hit on a frozen lake and starts moving with a speed of 12.0 m / s. A hockey puck is hit. A Hockey Puck Is Hit On A Frozen Lake.
From fineartamerica.com
Ice Hockey Player Shooting Puck Photograph by Bernhard Lang Fine Art A Hockey Puck Is Hit On A Frozen Lake Exactly 5.0 s later, its speed is 6.0 m / s. It travels across the ice and 6.0s later, the velocity is 7. A hockey puck is hit on a frozen lake and starts moving with a speed of $12.0 \mathrm{~m} / \mathrm{s}$. A hockey puck is hit on a frozen lake and starts moving with a speed of 12.0. A Hockey Puck Is Hit On A Frozen Lake.
From www.chegg.com
Solved A hockey puck is hit on a frozen lake and starts A Hockey Puck Is Hit On A Frozen Lake A hockey puck is hit on a frozen lake and starts moving with a speed of 13.40 m/s. Five seconds later, its speed is $6.00 \mathrm{~m} / \mathrm{s}$. A hockey puck is hit on a frozen lake and starts moving with a speed of 12.0m/s. A hockey puck is hit on a frozen lake and starts moving with a speed. A Hockey Puck Is Hit On A Frozen Lake.
From www.numerade.com
SOLVED A hockey puck is hit on a frozen lake and starts moving with a A Hockey Puck Is Hit On A Frozen Lake A hockey puck is hit on a frozen lake and starts moving with a velocity of 13.0 m/s. A hockey puck is hit on a frozen lake and starts moving with a speed of 12.0 m / s. A hockey puck is hit on a frozen lake and starts moving with a speed of 12.0m/s. Exactly 5.0 s later, its. A Hockey Puck Is Hit On A Frozen Lake.
From physicsworld.com
Physics on ice Physics World A Hockey Puck Is Hit On A Frozen Lake A hockey puck is hit on a frozen lake and starts moving with a speed of 12.0m/s. A hockey puck is hit on a frozen lake and starts moving with a speed of $12.0 \mathrm{~m} / \mathrm{s}$. Exactly 5.0sec later, its speed is 6.0m/s. A hockey puck is hit on a frozen lake and starts moving with a speed of. A Hockey Puck Is Hit On A Frozen Lake.
From photos.com
Hockey Stick And Puck by Francisblack A Hockey Puck Is Hit On A Frozen Lake It travels across the ice and 6.0s later, the velocity is 7. A hockey puck is hit on a frozen lake and starts moving with a speed of 12.0m/s. Five seconds later, its speed is $6.00 \mathrm{~m} / \mathrm{s}$. A hockey puck is hit on a frozen lake and starts moving with a velocity of 13.0 m/s. A hockey puck. A Hockey Puck Is Hit On A Frozen Lake.
From focusedcollection.com
Hockey player shooting the puck at goal net — Hockey Stick, sportsmen A Hockey Puck Is Hit On A Frozen Lake The coefficient of kinetic friction can't be calculated without the mass of the puck. A hockey puck is hit on a frozen lake and starts moving with a speed of $12.0 \mathrm{~m} / \mathrm{s}$. A hockey puck is hit on a frozen lake and starts moving with a speed of 13.40 m/s. Exactly 6.4 s later, its speed is 7.20. A Hockey Puck Is Hit On A Frozen Lake.
From www.dreamstime.com
Hockey Puck Lies on the Ice in the Stadium Stock Photo Image of rink A Hockey Puck Is Hit On A Frozen Lake Five seconds later, its speed is $6.00 \mathrm{~m} / \mathrm{s}$. A hockey puck is hit on a frozen lake and starts moving with a speed of $12.0 \mathrm{~m} / \mathrm{s}$. A hockey puck is hit on a frozen lake and starts moving with a speed of 13.40 m/s. A hockey puck is hit on a frozen lake and starts moving. A Hockey Puck Is Hit On A Frozen Lake.
From studylib.net
1. A student hits a hockey puck which slides across a frozen lake A Hockey Puck Is Hit On A Frozen Lake It travels across the ice and 6.0s later, the velocity is 7. A hockey puck is hit on a frozen lake and starts moving with a speed of $12.0 \mathrm{~m} / \mathrm{s}$. Exactly 6.4 s later, its speed is 7.20 m/s. A hockey puck is hit on a frozen lake and starts moving with a speed of $12.0 \mathrm{~m} /. A Hockey Puck Is Hit On A Frozen Lake.
From www.toppr.com
Problem 34 A hockey puck on a frozen pond is given an initial speed of A Hockey Puck Is Hit On A Frozen Lake Exactly 5.0 s later, its speed is 6.0 m / s. Exactly 5.0sec later, its speed is 6.0m/s. A hockey puck is hit on a frozen lake and starts moving with a speed of $12.0 \mathrm{~m} / \mathrm{s}$. A hockey puck is hit on a frozen lake and starts moving with a speed of 13.40 m/s. A hockey puck is. A Hockey Puck Is Hit On A Frozen Lake.
From www.numerade.com
SOLVED A hockey puck on a frozen pond is given an initial speed of 20. A Hockey Puck Is Hit On A Frozen Lake A hockey puck is hit on a frozen lake and starts moving with a speed of 12.0m/s. Exactly 6.4 s later, its speed is 7.20 m/s. A hockey puck is hit on a frozen lake and starts moving with a speed of $12.0 \mathrm{~m} / \mathrm{s}$. A hockey puck is hit on a frozen lake and starts moving with a. A Hockey Puck Is Hit On A Frozen Lake.
From www.youtube.com
Dynamics 155 A hockey puck is traveling to the left with a velocity A Hockey Puck Is Hit On A Frozen Lake A hockey puck is hit on a frozen lake and starts moving with a speed of 12.0 m / s. A hockey puck is hit on a frozen lake and starts moving with a speed of $12.0 \mathrm{~m} / \mathrm{s}$. It travels across the ice and 6.0s later, the velocity is 7. Exactly 5.0 s later, its speed is 6.0. A Hockey Puck Is Hit On A Frozen Lake.
From www.canvasartrocks.com
Ice hockey puck hit Wall Mural Wallpaper Canvas Art Rocks A Hockey Puck Is Hit On A Frozen Lake A hockey puck is hit on a frozen lake and starts moving with a speed of 12.0 m / s. Exactly 6.4 s later, its speed is 7.20 m/s. A hockey puck is hit on a frozen lake and starts moving with a speed of 12.0m/s. Exactly 5.0 s later, its speed is 6.0 m / s. A hockey puck. A Hockey Puck Is Hit On A Frozen Lake.
From danburyice.com
Ice hockey puck on ice 20180112 Danbury Ice Arena A Hockey Puck Is Hit On A Frozen Lake A hockey puck is hit on a frozen lake and starts moving with a speed of $12.0 \mathrm{~m} / \mathrm{s}$. Exactly 6.4 s later, its speed is 7.20 m/s. A hockey puck is hit on a frozen lake and starts moving with a speed of 12.0 m / s. Five seconds later, its speed is $6.00 \mathrm{~m} / \mathrm{s}$. A. A Hockey Puck Is Hit On A Frozen Lake.
From www.dreamstime.com
Ice Hockey Puck Hit the Opponent Visor Stock Image Image of mask A Hockey Puck Is Hit On A Frozen Lake Exactly 5.0 s later, its speed is 6.0 m / s. A hockey puck is hit on a frozen lake and starts moving with a velocity of 13.0 m/s. Exactly 6.4 s later, its speed is 7.20 m/s. A hockey puck is hit on a frozen lake and starts moving with a speed of 13.40 m/s. Five seconds later, its. A Hockey Puck Is Hit On A Frozen Lake.
From whatthingsweigh.com
Weight Of Hockey Puck What Things Weigh A Hockey Puck Is Hit On A Frozen Lake Five seconds later, its speed is. It travels across the ice and 6.0s later, the velocity is 7. Exactly 5.0sec later, its speed is 6.0m/s. A hockey puck is hit on a frozen lake and starts moving with a speed of $12.0 \mathrm{~m} / \mathrm{s}$. A hockey puck is hit on a frozen lake and starts moving with a speed. A Hockey Puck Is Hit On A Frozen Lake.
From www.chegg.com
Solved The Sliding Hockey Puck A hockey puck on a frozen A Hockey Puck Is Hit On A Frozen Lake Exactly 5.0 s later, its speed is 6.0 m / s. Five seconds later, its speed is. The coefficient of kinetic friction can't be calculated without the mass of the puck. A hockey puck is hit on a frozen lake and starts moving with a speed of 12.0 m / s. Exactly 6.4 s later, its speed is 7.20 m/s.. A Hockey Puck Is Hit On A Frozen Lake.
From abcnews.go.com
Here's how hockey fans watch the puck without watching the puck ABC News A Hockey Puck Is Hit On A Frozen Lake A hockey puck is hit on a frozen lake and starts moving with a speed of 13.40 m/s. Five seconds later, its speed is $6.00 \mathrm{~m} / \mathrm{s}$. It travels across the ice and 6.0s later, the velocity is 7. A hockey puck is hit on a frozen lake and starts moving with a speed of $12.0 \mathrm{~m} / \mathrm{s}$.. A Hockey Puck Is Hit On A Frozen Lake.
From www.expressandstar.com
This girl’s struggle to get a hockey puck from her hero will break your A Hockey Puck Is Hit On A Frozen Lake A hockey puck is hit on a frozen lake and starts moving with a speed of $12.0 \mathrm{~m} / \mathrm{s}$. Exactly 6.4 s later, its speed is 7.20 m/s. Exactly 5.0 s later, its speed is 6.0 m / s. A hockey puck is hit on a frozen lake and starts moving with a speed of 13.40 m/s. A hockey. A Hockey Puck Is Hit On A Frozen Lake.
From cometoplay.co.uk
How Much Does a Hockey Puck Weigh? Come To Play A Hockey Puck Is Hit On A Frozen Lake A hockey puck is hit on a frozen lake and starts moving with a speed of 13.40 m/s. Five seconds later, its speed is. Exactly 5.0sec later, its speed is 6.0m/s. It travels across the ice and 6.0s later, the velocity is 7. A hockey puck is hit on a frozen lake and starts moving with a speed of $12.0. A Hockey Puck Is Hit On A Frozen Lake.