Lillian Purchased A House For 150 000 . Lillian purchased a house for $150,000. Lillian and her husband invested $50,000 into home. Lillian and her husband invested. Lillian purchased a house for $150,000. List three ways to produce portfolio income: Lillian and her husband were. Study with quizlet and memorize flashcards containing terms like lillian purchased a house for $150,000. Click here 👆 to get an answer to your question ️ derek buys a house for £150 000 he sells the house for £154 500 work out. Lillian and her husband were. In this scenario, lillian and her husband purchased a house for $150,000 and invested an additional $50,000 in home improvements, making their. Lillian and her husband invested $50,000 into home improvements. In this case, lillian purchased a house for $150,000, invested $50,000 into home improvements, and sold the house for $200,000. Lillian purchased a house for $150,000. Lillian and her husband invested $50,000 into home improvements. He sells the house for £154 500 work out dylan's percentage profit.
from mhfh.com
Study with quizlet and memorize flashcards containing terms like lillian purchased a house for $150,000. List three ways to produce portfolio income: Lillian and her husband invested $50,000 into home improvements. Lillian and her husband were. In this scenario, lillian and her husband purchased a house for $150,000 and invested an additional $50,000 in home improvements, making their. Lillian purchased a house for $150,000. Lillian and her husband invested $50,000 into home improvements. Lillian and her husband were. He sells the house for £154 500 work out dylan's percentage profit. Lillian purchased a house for $150,000.
Obituary of Lillian Jean CUTTS McInnis & Holloway Funeral Homes
Lillian Purchased A House For 150 000 Study with quizlet and memorize flashcards containing terms like lillian purchased a house for $150,000. Lillian purchased a house for $150,000. In this scenario, lillian and her husband purchased a house for $150,000 and invested an additional $50,000 in home improvements, making their. Lillian purchased a house for $150,000. Study with quizlet and memorize flashcards containing terms like lillian purchased a house for $150,000. In this case, lillian purchased a house for $150,000, invested $50,000 into home improvements, and sold the house for $200,000. Lillian and her husband were. Lillian and her husband were. He sells the house for £154 500 work out dylan's percentage profit. Lillian purchased a house for $150,000. Lillian and her husband invested $50,000 into home. List three ways to produce portfolio income: Click here 👆 to get an answer to your question ️ derek buys a house for £150 000 he sells the house for £154 500 work out. Lillian and her husband invested. Lillian and her husband invested $50,000 into home improvements. Lillian and her husband invested $50,000 into home improvements.
From votefab40.com
Terry Lillian FabOver40 Lillian Purchased A House For 150 000 In this case, lillian purchased a house for $150,000, invested $50,000 into home improvements, and sold the house for $200,000. Lillian and her husband invested $50,000 into home improvements. He sells the house for £154 500 work out dylan's percentage profit. Lillian and her husband invested $50,000 into home. Lillian and her husband invested. Lillian purchased a house for $150,000.. Lillian Purchased A House For 150 000.
From centurionamerican.com
Lillian Custom Homes Centurion American Lillian Purchased A House For 150 000 In this case, lillian purchased a house for $150,000, invested $50,000 into home improvements, and sold the house for $200,000. In this scenario, lillian and her husband purchased a house for $150,000 and invested an additional $50,000 in home improvements, making their. Lillian and her husband were. Click here 👆 to get an answer to your question ️ derek buys. Lillian Purchased A House For 150 000.
From mayfuneralhomes.com
Obituary of Lillian Oglesby May Funeral Homes, New Jersey Lillian Purchased A House For 150 000 Lillian and her husband invested $50,000 into home improvements. In this scenario, lillian and her husband purchased a house for $150,000 and invested an additional $50,000 in home improvements, making their. Lillian purchased a house for $150,000. Lillian and her husband invested. Lillian purchased a house for $150,000. Lillian purchased a house for $150,000. Lillian and her husband were. List. Lillian Purchased A House For 150 000.
From brainly.com
Lillian purchased a guitar from Smash Music Stores. It regularly sold Lillian Purchased A House For 150 000 Lillian purchased a house for $150,000. He sells the house for £154 500 work out dylan's percentage profit. Lillian purchased a house for $150,000. In this scenario, lillian and her husband purchased a house for $150,000 and invested an additional $50,000 in home improvements, making their. Study with quizlet and memorize flashcards containing terms like lillian purchased a house for. Lillian Purchased A House For 150 000.
From www.nagato.cc
Lillian Custom Homes Floor Plans Lillian Purchased A House For 150 000 Lillian and her husband invested $50,000 into home improvements. Lillian and her husband were. Lillian and her husband invested $50,000 into home improvements. List three ways to produce portfolio income: Lillian and her husband invested $50,000 into home. In this case, lillian purchased a house for $150,000, invested $50,000 into home improvements, and sold the house for $200,000. In this. Lillian Purchased A House For 150 000.
From www.searchthegulf.com
Lillian Alabama Homes Real Estate for Sale Lillian Purchased A House For 150 000 List three ways to produce portfolio income: Lillian and her husband were. Lillian and her husband invested. Study with quizlet and memorize flashcards containing terms like lillian purchased a house for $150,000. Lillian and her husband invested $50,000 into home. In this case, lillian purchased a house for $150,000, invested $50,000 into home improvements, and sold the house for $200,000.. Lillian Purchased A House For 150 000.
From www.whitehousehistory.org
The Working White House Lillian Rogers Parks White House Historical Lillian Purchased A House For 150 000 Lillian and her husband invested. Lillian purchased a house for $150,000. He sells the house for £154 500 work out dylan's percentage profit. List three ways to produce portfolio income: In this case, lillian purchased a house for $150,000, invested $50,000 into home improvements, and sold the house for $200,000. Lillian and her husband were. Lillian and her husband invested. Lillian Purchased A House For 150 000.
From waukeshasfuneralhome.com
Obituary of Lillian A. Miller Funeral Homes & Cremation Services Lillian Purchased A House For 150 000 In this case, lillian purchased a house for $150,000, invested $50,000 into home improvements, and sold the house for $200,000. Lillian and her husband invested. Lillian purchased a house for $150,000. He sells the house for £154 500 work out dylan's percentage profit. Lillian and her husband invested $50,000 into home. Lillian and her husband were. Lillian and her husband. Lillian Purchased A House For 150 000.
From www.landandfarm.com
0.26 Acres, 10684 Velvet Ash Lane, Lillian, AL 36549 Land and Farm Lillian Purchased A House For 150 000 Lillian purchased a house for $150,000. Study with quizlet and memorize flashcards containing terms like lillian purchased a house for $150,000. He sells the house for £154 500 work out dylan's percentage profit. Lillian and her husband were. Lillian and her husband were. Lillian purchased a house for $150,000. Lillian and her husband invested $50,000 into home improvements. In this. Lillian Purchased A House For 150 000.
From www.zolo.ca
1030 Lillian Street Toronto Zolo.ca Lillian Purchased A House For 150 000 Study with quizlet and memorize flashcards containing terms like lillian purchased a house for $150,000. He sells the house for £154 500 work out dylan's percentage profit. In this case, lillian purchased a house for $150,000, invested $50,000 into home improvements, and sold the house for $200,000. Lillian and her husband invested. Lillian purchased a house for $150,000. Lillian purchased. Lillian Purchased A House For 150 000.
From www.chuckbarnes.com
Lillian AL Homes for Sale Lillian Purchased A House For 150 000 Lillian and her husband invested $50,000 into home. In this scenario, lillian and her husband purchased a house for $150,000 and invested an additional $50,000 in home improvements, making their. Lillian and her husband were. In this case, lillian purchased a house for $150,000, invested $50,000 into home improvements, and sold the house for $200,000. Lillian purchased a house for. Lillian Purchased A House For 150 000.
From www.youtube.com
Lillian Custom Homes Incentive Lease Buyout + Zero Closing Cost YouTube Lillian Purchased A House For 150 000 Lillian and her husband invested. Lillian and her husband invested $50,000 into home improvements. In this case, lillian purchased a house for $150,000, invested $50,000 into home improvements, and sold the house for $200,000. In this scenario, lillian and her husband purchased a house for $150,000 and invested an additional $50,000 in home improvements, making their. Lillian and her husband. Lillian Purchased A House For 150 000.
From www.realtor.com
Lillian, AL Real Estate Lillian Homes for Sale Lillian Purchased A House For 150 000 Study with quizlet and memorize flashcards containing terms like lillian purchased a house for $150,000. In this scenario, lillian and her husband purchased a house for $150,000 and invested an additional $50,000 in home improvements, making their. Lillian and her husband invested $50,000 into home. Click here 👆 to get an answer to your question ️ derek buys a house. Lillian Purchased A House For 150 000.
From www.transtutors.com
(Solved) . You Just Purchased A House For ¢100,000 At A Local County Lillian Purchased A House For 150 000 Lillian purchased a house for $150,000. Lillian and her husband were. In this scenario, lillian and her husband purchased a house for $150,000 and invested an additional $50,000 in home improvements, making their. Study with quizlet and memorize flashcards containing terms like lillian purchased a house for $150,000. In this case, lillian purchased a house for $150,000, invested $50,000 into. Lillian Purchased A House For 150 000.
From www.youtube.com
GUYS He SOLD the house for R25 000 YouTube Lillian Purchased A House For 150 000 In this case, lillian purchased a house for $150,000, invested $50,000 into home improvements, and sold the house for $200,000. Lillian and her husband were. Lillian and her husband invested $50,000 into home. List three ways to produce portfolio income: Lillian and her husband invested $50,000 into home improvements. Click here 👆 to get an answer to your question ️. Lillian Purchased A House For 150 000.
From www.dignitymemorial.com
Lillian Irene House Obituary Van Buren, AR Lillian Purchased A House For 150 000 Lillian and her husband invested $50,000 into home improvements. Click here 👆 to get an answer to your question ️ derek buys a house for £150 000 he sells the house for £154 500 work out. Study with quizlet and memorize flashcards containing terms like lillian purchased a house for $150,000. Lillian purchased a house for $150,000. Lillian purchased a. Lillian Purchased A House For 150 000.
From www.youtube.com
Lillian Custom Homes Uniquely Yours. Distinctly Lillian. YouTube Lillian Purchased A House For 150 000 Lillian and her husband were. Lillian and her husband invested $50,000 into home improvements. He sells the house for £154 500 work out dylan's percentage profit. Lillian and her husband were. In this scenario, lillian and her husband purchased a house for $150,000 and invested an additional $50,000 in home improvements, making their. Lillian and her husband invested $50,000 into. Lillian Purchased A House For 150 000.
From www.chegg.com
Solved 9. The Turners have purchased a house for 150,000. Lillian Purchased A House For 150 000 List three ways to produce portfolio income: In this scenario, lillian and her husband purchased a house for $150,000 and invested an additional $50,000 in home improvements, making their. In this case, lillian purchased a house for $150,000, invested $50,000 into home improvements, and sold the house for $200,000. Lillian purchased a house for $150,000. Lillian and her husband were.. Lillian Purchased A House For 150 000.
From www.dignitymemorial.com
Lillian Parker Obituary Springfield, VA Lillian Purchased A House For 150 000 Click here 👆 to get an answer to your question ️ derek buys a house for £150 000 he sells the house for £154 500 work out. Lillian purchased a house for $150,000. Lillian and her husband invested $50,000 into home improvements. Lillian and her husband invested. Lillian purchased a house for $150,000. He sells the house for £154 500. Lillian Purchased A House For 150 000.
From www.chegg.com
Solved Abby, a single taxpayer, purchased 10,000 shares of Lillian Purchased A House For 150 000 He sells the house for £154 500 work out dylan's percentage profit. Lillian purchased a house for $150,000. Lillian purchased a house for $150,000. Lillian and her husband invested $50,000 into home improvements. Lillian and her husband invested $50,000 into home. Click here 👆 to get an answer to your question ️ derek buys a house for £150 000 he. Lillian Purchased A House For 150 000.
From www.abebooks.com
30 years backstairs at the white house by Lillian Rogers Parks Very Lillian Purchased A House For 150 000 Lillian and her husband were. Lillian and her husband invested $50,000 into home improvements. He sells the house for £154 500 work out dylan's percentage profit. Lillian and her husband were. Lillian purchased a house for $150,000. List three ways to produce portfolio income: Lillian purchased a house for $150,000. In this case, lillian purchased a house for $150,000, invested. Lillian Purchased A House For 150 000.
From www.realtor.com
Homes for Sale near Lillian Hwy, Pensacola, FL Lillian Purchased A House For 150 000 Study with quizlet and memorize flashcards containing terms like lillian purchased a house for $150,000. He sells the house for £154 500 work out dylan's percentage profit. Lillian and her husband invested $50,000 into home. Lillian and her husband invested $50,000 into home improvements. Lillian purchased a house for $150,000. In this scenario, lillian and her husband purchased a house. Lillian Purchased A House For 150 000.
From brbsfuneral.com
Obituary of Lillian J. Auspelmyer Funeral Homes & Cremation Servi... Lillian Purchased A House For 150 000 Lillian purchased a house for $150,000. Lillian purchased a house for $150,000. Study with quizlet and memorize flashcards containing terms like lillian purchased a house for $150,000. Lillian and her husband were. Lillian purchased a house for $150,000. He sells the house for £154 500 work out dylan's percentage profit. Click here 👆 to get an answer to your question. Lillian Purchased A House For 150 000.
From mhfh.com
Obituary of Lillian Jean CUTTS McInnis & Holloway Funeral Homes Lillian Purchased A House For 150 000 Lillian purchased a house for $150,000. In this case, lillian purchased a house for $150,000, invested $50,000 into home improvements, and sold the house for $200,000. Lillian purchased a house for $150,000. Click here 👆 to get an answer to your question ️ derek buys a house for £150 000 he sells the house for £154 500 work out. Lillian. Lillian Purchased A House For 150 000.
From andersonmcqueen.com
Obituary of Lillian Harris Funeral Homes & Cremation Services A... Lillian Purchased A House For 150 000 Lillian purchased a house for $150,000. In this scenario, lillian and her husband purchased a house for $150,000 and invested an additional $50,000 in home improvements, making their. List three ways to produce portfolio income: He sells the house for £154 500 work out dylan's percentage profit. Lillian purchased a house for $150,000. Lillian and her husband invested $50,000 into. Lillian Purchased A House For 150 000.
From www.lilianabridal.com
Lillian West Liliana Bridal House 66131 Liliana Bridal House Lillian Purchased A House For 150 000 Lillian and her husband invested $50,000 into home. Lillian purchased a house for $150,000. In this scenario, lillian and her husband purchased a house for $150,000 and invested an additional $50,000 in home improvements, making their. In this case, lillian purchased a house for $150,000, invested $50,000 into home improvements, and sold the house for $200,000. Click here 👆 to. Lillian Purchased A House For 150 000.
From www.chuckbarnes.com
Lillian AL Homes for Sale Lillian Purchased A House For 150 000 Lillian and her husband invested $50,000 into home improvements. Click here 👆 to get an answer to your question ️ derek buys a house for £150 000 he sells the house for £154 500 work out. Lillian and her husband were. Lillian and her husband invested $50,000 into home. Lillian purchased a house for $150,000. Study with quizlet and memorize. Lillian Purchased A House For 150 000.
From www.numerade.com
⏩SOLVEDLillian purchased a guitar from Smash Music Stores. It… Numerade Lillian Purchased A House For 150 000 Lillian and her husband were. Lillian purchased a house for $150,000. In this case, lillian purchased a house for $150,000, invested $50,000 into home improvements, and sold the house for $200,000. Study with quizlet and memorize flashcards containing terms like lillian purchased a house for $150,000. Lillian and her husband invested $50,000 into home improvements. Lillian and her husband invested.. Lillian Purchased A House For 150 000.
From www.numerade.com
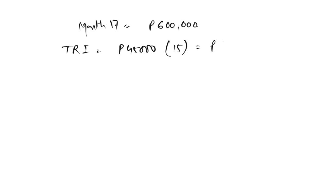
A man purchased a house for P425,000. In the first month that he owned Lillian Purchased A House For 150 000 Lillian purchased a house for $150,000. He sells the house for £154 500 work out dylan's percentage profit. Lillian and her husband were. Lillian purchased a house for $150,000. Study with quizlet and memorize flashcards containing terms like lillian purchased a house for $150,000. Click here 👆 to get an answer to your question ️ derek buys a house for. Lillian Purchased A House For 150 000.
From floorplans.click
Lillian Custom Homes Floor Plans floorplans.click Lillian Purchased A House For 150 000 Lillian and her husband invested $50,000 into home improvements. Lillian purchased a house for $150,000. Lillian and her husband invested $50,000 into home. Study with quizlet and memorize flashcards containing terms like lillian purchased a house for $150,000. He sells the house for £154 500 work out dylan's percentage profit. Lillian purchased a house for $150,000. Click here 👆 to. Lillian Purchased A House For 150 000.
From www.kilpatrickfuneralhomes.com
Mrs. Lillian F. Page Kilpatrick Funeral Homes Lillian Purchased A House For 150 000 In this scenario, lillian and her husband purchased a house for $150,000 and invested an additional $50,000 in home improvements, making their. Lillian and her husband were. Study with quizlet and memorize flashcards containing terms like lillian purchased a house for $150,000. Lillian and her husband invested $50,000 into home. Lillian and her husband invested $50,000 into home improvements. Lillian. Lillian Purchased A House For 150 000.
From obriens.no
Lillian Askeland O'Briens Retro & Vintage Lillian Purchased A House For 150 000 Lillian and her husband were. Lillian purchased a house for $150,000. Lillian purchased a house for $150,000. Lillian and her husband invested. Study with quizlet and memorize flashcards containing terms like lillian purchased a house for $150,000. List three ways to produce portfolio income: Lillian and her husband invested $50,000 into home. Lillian purchased a house for $150,000. In this. Lillian Purchased A House For 150 000.
From www.lilianabridal.com
Lillian West Liliana Bridal House 66132 Liliana Bridal House Lillian Purchased A House For 150 000 Lillian purchased a house for $150,000. Lillian and her husband invested $50,000 into home improvements. Study with quizlet and memorize flashcards containing terms like lillian purchased a house for $150,000. List three ways to produce portfolio income: He sells the house for £154 500 work out dylan's percentage profit. Lillian and her husband invested $50,000 into home improvements. In this. Lillian Purchased A House For 150 000.
From www.kaniewski.com
Lillian Thompson Obituary September 29, 2022 Kaniewski Funeral Lillian Purchased A House For 150 000 Lillian purchased a house for $150,000. Lillian and her husband were. Study with quizlet and memorize flashcards containing terms like lillian purchased a house for $150,000. Lillian and her husband invested $50,000 into home improvements. List three ways to produce portfolio income: Lillian and her husband were. In this scenario, lillian and her husband purchased a house for $150,000 and. Lillian Purchased A House For 150 000.
From www.bbb.org
Lillian Custom Homes Better Business Bureau® Profile Lillian Purchased A House For 150 000 Click here 👆 to get an answer to your question ️ derek buys a house for £150 000 he sells the house for £154 500 work out. Lillian purchased a house for $150,000. List three ways to produce portfolio income: Lillian and her husband invested $50,000 into home improvements. In this scenario, lillian and her husband purchased a house for. Lillian Purchased A House For 150 000.