A 100 Kg Cart Accelerates At .50 . F = 20 kg * 3 m/s 2. A cart is pushed and undergoes a certain acceleration. Our acceleration calculator is a tool that helps you to find out how fast the speed of an object is changing. If values of three variables are. The variables include acceleration (a), time (t), displacement (d), final velocity (vf), and initial velocity (vi). Newtons west on the cart. F = m * a. Pounds mass (lbm) measures the amount of matter in an object. In metric the equivalent unit of measurement for pounds mass (lbm) is the. The magnitude of the force on the horse by the cart is 60 n. It works in three different ways, based on: What is the force required to accelerate an object with a mass of 20 kg from stationary to 3 m/s 2? Newtons are a derived unit,. Consider how the acceleration would compare if it were pushed. Given that, mass of cart = 100 kg.
from www.youtube.com
The variables include acceleration (a), time (t), displacement (d), final velocity (vf), and initial velocity (vi). Newtons west on the cart. A cart is pushed and undergoes a certain acceleration. Given that, mass of cart = 100 kg. Newtons are a derived unit,. Newtons west on the cart. Our acceleration calculator is a tool that helps you to find out how fast the speed of an object is changing. If values of three variables are. Pounds mass (lbm) measures the amount of matter in an object. Consider how the acceleration would compare if it were pushed.
The acceleration of a cart started at \( t=0 \), varies with time as
A 100 Kg Cart Accelerates At .50 Newtons are a derived unit,. Pounds mass (lbm) measures the amount of matter in an object. The variables include acceleration (a), time (t), displacement (d), final velocity (vf), and initial velocity (vi). The magnitude of the force on the horse by the cart is 60 n. In metric the equivalent unit of measurement for pounds mass (lbm) is the. Newtons are a derived unit,. What is the force required to accelerate an object with a mass of 20 kg from stationary to 3 m/s 2? A cart is pushed and undergoes a certain acceleration. If values of three variables are. Given that, mass of cart = 100 kg. Our acceleration calculator is a tool that helps you to find out how fast the speed of an object is changing. F = 20 kg * 3 m/s 2. F = m * a. Consider how the acceleration would compare if it were pushed. Newtons west on the cart. Newtons west on the cart.
From www.numerade.com
Question 9 2 pts A 2000 kg car accelerates from rest to a velocity of A 100 Kg Cart Accelerates At .50 Newtons west on the cart. Pounds mass (lbm) measures the amount of matter in an object. F = m * a. A cart is pushed and undergoes a certain acceleration. Newtons are a derived unit,. F = 20 kg * 3 m/s 2. It works in three different ways, based on: What is the force required to accelerate an object. A 100 Kg Cart Accelerates At .50.
From www.chegg.com
Solved 8 A 1.50 x 103 kg car accelerates uniformly from A 100 Kg Cart Accelerates At .50 It works in three different ways, based on: Pounds mass (lbm) measures the amount of matter in an object. A cart is pushed and undergoes a certain acceleration. Consider how the acceleration would compare if it were pushed. F = 20 kg * 3 m/s 2. The variables include acceleration (a), time (t), displacement (d), final velocity (vf), and initial. A 100 Kg Cart Accelerates At .50.
From slideplayer.com
Science 9 Chapter 4 Energy ppt download A 100 Kg Cart Accelerates At .50 Given that, mass of cart = 100 kg. What is the force required to accelerate an object with a mass of 20 kg from stationary to 3 m/s 2? In metric the equivalent unit of measurement for pounds mass (lbm) is the. Newtons west on the cart. Newtons are a derived unit,. Newtons west on the cart. F = 20. A 100 Kg Cart Accelerates At .50.
From www.numerade.com
If the coefficients of static and friction between the 20kg A 100 Kg Cart Accelerates At .50 The variables include acceleration (a), time (t), displacement (d), final velocity (vf), and initial velocity (vi). Given that, mass of cart = 100 kg. Newtons west on the cart. Pounds mass (lbm) measures the amount of matter in an object. Our acceleration calculator is a tool that helps you to find out how fast the speed of an object is. A 100 Kg Cart Accelerates At .50.
From www.chegg.com
Solved A 100 kg cart sits at rest on a track. The cart has A 100 Kg Cart Accelerates At .50 Pounds mass (lbm) measures the amount of matter in an object. F = 20 kg * 3 m/s 2. Consider how the acceleration would compare if it were pushed. Newtons are a derived unit,. If values of three variables are. Our acceleration calculator is a tool that helps you to find out how fast the speed of an object is. A 100 Kg Cart Accelerates At .50.
From www.coursehero.com
[Solved] 1. A 200 N net force acts on a 50 kg box. What is the A 100 Kg Cart Accelerates At .50 If values of three variables are. Newtons west on the cart. Newtons west on the cart. F = m * a. F = 20 kg * 3 m/s 2. It works in three different ways, based on: The variables include acceleration (a), time (t), displacement (d), final velocity (vf), and initial velocity (vi). A cart is pushed and undergoes a. A 100 Kg Cart Accelerates At .50.
From www.chegg.com
Solved 27. A 60N force is applied to a 100kg cart at rest A 100 Kg Cart Accelerates At .50 If values of three variables are. A cart is pushed and undergoes a certain acceleration. F = 20 kg * 3 m/s 2. It works in three different ways, based on: Consider how the acceleration would compare if it were pushed. Newtons west on the cart. Newtons west on the cart. F = m * a. The variables include acceleration. A 100 Kg Cart Accelerates At .50.
From www.numerade.com
SOLVED A 100 kg cart is moving along a rough horizontal surface with A 100 Kg Cart Accelerates At .50 Newtons west on the cart. If values of three variables are. Our acceleration calculator is a tool that helps you to find out how fast the speed of an object is changing. Consider how the acceleration would compare if it were pushed. The variables include acceleration (a), time (t), displacement (d), final velocity (vf), and initial velocity (vi). Pounds mass. A 100 Kg Cart Accelerates At .50.
From www.numerade.com
SOLVEDA sports car accelerates from 0 kph to 100 kph in 4 seconds. a A 100 Kg Cart Accelerates At .50 Given that, mass of cart = 100 kg. In metric the equivalent unit of measurement for pounds mass (lbm) is the. The magnitude of the force on the horse by the cart is 60 n. Consider how the acceleration would compare if it were pushed. F = m * a. Newtons west on the cart. What is the force required. A 100 Kg Cart Accelerates At .50.
From slideplayer.com
Forces in One Dimension ppt video online download A 100 Kg Cart Accelerates At .50 The variables include acceleration (a), time (t), displacement (d), final velocity (vf), and initial velocity (vi). Newtons west on the cart. Newtons are a derived unit,. If values of three variables are. Consider how the acceleration would compare if it were pushed. In metric the equivalent unit of measurement for pounds mass (lbm) is the. Newtons west on the cart.. A 100 Kg Cart Accelerates At .50.
From slideplayer.com
Forces in One Dimension ppt download A 100 Kg Cart Accelerates At .50 Given that, mass of cart = 100 kg. Pounds mass (lbm) measures the amount of matter in an object. In metric the equivalent unit of measurement for pounds mass (lbm) is the. Consider how the acceleration would compare if it were pushed. Our acceleration calculator is a tool that helps you to find out how fast the speed of an. A 100 Kg Cart Accelerates At .50.
From www.numerade.com
SOLVED A cart accelerates at 2 m/s2 when a force of 60 N is applied A 100 Kg Cart Accelerates At .50 F = 20 kg * 3 m/s 2. Newtons west on the cart. Consider how the acceleration would compare if it were pushed. In metric the equivalent unit of measurement for pounds mass (lbm) is the. The magnitude of the force on the horse by the cart is 60 n. Given that, mass of cart = 100 kg. What is. A 100 Kg Cart Accelerates At .50.
From slideplayer.com
Work and Power Calculations ppt download A 100 Kg Cart Accelerates At .50 Our acceleration calculator is a tool that helps you to find out how fast the speed of an object is changing. Pounds mass (lbm) measures the amount of matter in an object. A cart is pushed and undergoes a certain acceleration. F = m * a. It works in three different ways, based on: F = 20 kg * 3. A 100 Kg Cart Accelerates At .50.
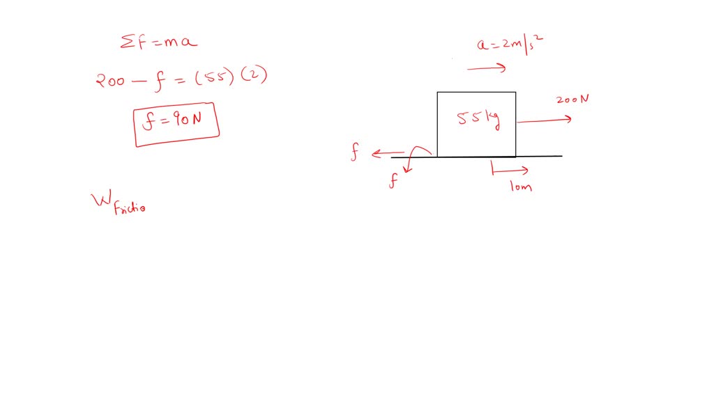
From www.numerade.com
SOLVED A horizontal force of 200 N is applied to a 55kg cart across a A 100 Kg Cart Accelerates At .50 In metric the equivalent unit of measurement for pounds mass (lbm) is the. Given that, mass of cart = 100 kg. F = m * a. Newtons are a derived unit,. Newtons west on the cart. It works in three different ways, based on: F = 20 kg * 3 m/s 2. What is the force required to accelerate an. A 100 Kg Cart Accelerates At .50.
From www.youtube.com
A 2.1 kg car starts from rest YouTube A 100 Kg Cart Accelerates At .50 In metric the equivalent unit of measurement for pounds mass (lbm) is the. Pounds mass (lbm) measures the amount of matter in an object. F = m * a. The magnitude of the force on the horse by the cart is 60 n. The variables include acceleration (a), time (t), displacement (d), final velocity (vf), and initial velocity (vi). Newtons. A 100 Kg Cart Accelerates At .50.
From www.youtube.com
A car accelerates from rest at a constant rate \( \alpha \) for some A 100 Kg Cart Accelerates At .50 Our acceleration calculator is a tool that helps you to find out how fast the speed of an object is changing. A cart is pushed and undergoes a certain acceleration. F = 20 kg * 3 m/s 2. Pounds mass (lbm) measures the amount of matter in an object. Consider how the acceleration would compare if it were pushed. Newtons. A 100 Kg Cart Accelerates At .50.
From studylib.net
20 N A 100 Kg Cart Accelerates At .50 Newtons west on the cart. Given that, mass of cart = 100 kg. What is the force required to accelerate an object with a mass of 20 kg from stationary to 3 m/s 2? Pounds mass (lbm) measures the amount of matter in an object. Consider how the acceleration would compare if it were pushed. F = 20 kg *. A 100 Kg Cart Accelerates At .50.
From slideplayer.com
Newton’s second law Pg. 21 in NB ppt download A 100 Kg Cart Accelerates At .50 The variables include acceleration (a), time (t), displacement (d), final velocity (vf), and initial velocity (vi). Our acceleration calculator is a tool that helps you to find out how fast the speed of an object is changing. Given that, mass of cart = 100 kg. Pounds mass (lbm) measures the amount of matter in an object. The magnitude of the. A 100 Kg Cart Accelerates At .50.
From www.chegg.com
Solved A 100 kg Cart C is constrained to move horizontally A 100 Kg Cart Accelerates At .50 Pounds mass (lbm) measures the amount of matter in an object. F = 20 kg * 3 m/s 2. In metric the equivalent unit of measurement for pounds mass (lbm) is the. The magnitude of the force on the horse by the cart is 60 n. Consider how the acceleration would compare if it were pushed. A cart is pushed. A 100 Kg Cart Accelerates At .50.
From brainly.com
What is the velocity of the 100 kg cart at point b? A 100 Kg Cart Accelerates At .50 F = 20 kg * 3 m/s 2. Newtons are a derived unit,. The magnitude of the force on the horse by the cart is 60 n. Pounds mass (lbm) measures the amount of matter in an object. Newtons west on the cart. If values of three variables are. The variables include acceleration (a), time (t), displacement (d), final velocity. A 100 Kg Cart Accelerates At .50.
From www.chegg.com
Solved A 1700 kg car accelerates up the incline at 1.50 m/s2 A 100 Kg Cart Accelerates At .50 A cart is pushed and undergoes a certain acceleration. Pounds mass (lbm) measures the amount of matter in an object. In metric the equivalent unit of measurement for pounds mass (lbm) is the. What is the force required to accelerate an object with a mass of 20 kg from stationary to 3 m/s 2? Newtons are a derived unit,. F. A 100 Kg Cart Accelerates At .50.
From www.youtube.com
A 1400kg sports car accelerates from rest to 95 km/h in 7.4 s. What is A 100 Kg Cart Accelerates At .50 A cart is pushed and undergoes a certain acceleration. Newtons west on the cart. Pounds mass (lbm) measures the amount of matter in an object. Newtons west on the cart. Consider how the acceleration would compare if it were pushed. In metric the equivalent unit of measurement for pounds mass (lbm) is the. The magnitude of the force on the. A 100 Kg Cart Accelerates At .50.
From slideplayer.com
Forces and Newton’s Laws ppt download A 100 Kg Cart Accelerates At .50 A cart is pushed and undergoes a certain acceleration. If values of three variables are. Newtons west on the cart. In metric the equivalent unit of measurement for pounds mass (lbm) is the. Given that, mass of cart = 100 kg. Pounds mass (lbm) measures the amount of matter in an object. The magnitude of the force on the horse. A 100 Kg Cart Accelerates At .50.
From www.youtube.com
Dynamics 133 If the coefficient of friction between the 50kg A 100 Kg Cart Accelerates At .50 Given that, mass of cart = 100 kg. F = m * a. A cart is pushed and undergoes a certain acceleration. If values of three variables are. In metric the equivalent unit of measurement for pounds mass (lbm) is the. The variables include acceleration (a), time (t), displacement (d), final velocity (vf), and initial velocity (vi). Newtons west on. A 100 Kg Cart Accelerates At .50.
From www.chegg.com
Solved 2. For the 100kg cart shown below, a force P of 500 A 100 Kg Cart Accelerates At .50 F = 20 kg * 3 m/s 2. F = m * a. Newtons west on the cart. What is the force required to accelerate an object with a mass of 20 kg from stationary to 3 m/s 2? Our acceleration calculator is a tool that helps you to find out how fast the speed of an object is changing.. A 100 Kg Cart Accelerates At .50.
From brainly.com
10) Challenge A student is pushing a 50 kg cart, with a force of 600 N A 100 Kg Cart Accelerates At .50 It works in three different ways, based on: Our acceleration calculator is a tool that helps you to find out how fast the speed of an object is changing. F = 20 kg * 3 m/s 2. Given that, mass of cart = 100 kg. Newtons are a derived unit,. Consider how the acceleration would compare if it were pushed.. A 100 Kg Cart Accelerates At .50.
From slideplayer.com
Concepts 14 Study Guide Answer Keys HONORS ppt download A 100 Kg Cart Accelerates At .50 F = m * a. Our acceleration calculator is a tool that helps you to find out how fast the speed of an object is changing. The variables include acceleration (a), time (t), displacement (d), final velocity (vf), and initial velocity (vi). Newtons west on the cart. Newtons are a derived unit,. A cart is pushed and undergoes a certain. A 100 Kg Cart Accelerates At .50.
From yettertoged1995.blogspot.com
By What Percentage Does The Cart's Acceleration Increase? Yetter A 100 Kg Cart Accelerates At .50 The magnitude of the force on the horse by the cart is 60 n. F = 20 kg * 3 m/s 2. It works in three different ways, based on: A cart is pushed and undergoes a certain acceleration. Newtons west on the cart. Our acceleration calculator is a tool that helps you to find out how fast the speed. A 100 Kg Cart Accelerates At .50.
From www.chegg.com
Solved What is the velocity of a 100 kg cart being at 50 m A 100 Kg Cart Accelerates At .50 In metric the equivalent unit of measurement for pounds mass (lbm) is the. Newtons west on the cart. The variables include acceleration (a), time (t), displacement (d), final velocity (vf), and initial velocity (vi). It works in three different ways, based on: If values of three variables are. Consider how the acceleration would compare if it were pushed. Newtons are. A 100 Kg Cart Accelerates At .50.
From www.chegg.com
Solved 5. A roller coaster car of mass 100 kg starts from A 100 Kg Cart Accelerates At .50 Consider how the acceleration would compare if it were pushed. Given that, mass of cart = 100 kg. F = m * a. In metric the equivalent unit of measurement for pounds mass (lbm) is the. It works in three different ways, based on: Pounds mass (lbm) measures the amount of matter in an object. A cart is pushed and. A 100 Kg Cart Accelerates At .50.
From www.slideserve.com
PPT Energy PowerPoint Presentation, free download ID5462751 A 100 Kg Cart Accelerates At .50 A cart is pushed and undergoes a certain acceleration. The magnitude of the force on the horse by the cart is 60 n. Given that, mass of cart = 100 kg. If values of three variables are. F = m * a. What is the force required to accelerate an object with a mass of 20 kg from stationary to. A 100 Kg Cart Accelerates At .50.
From www.numerade.com
SOLVED A 100 kg cart is riding down the frictionless track shown in A 100 Kg Cart Accelerates At .50 Given that, mass of cart = 100 kg. If values of three variables are. The magnitude of the force on the horse by the cart is 60 n. Newtons west on the cart. Newtons west on the cart. Our acceleration calculator is a tool that helps you to find out how fast the speed of an object is changing. The. A 100 Kg Cart Accelerates At .50.
From www.youtube.com
The acceleration of a cart started at \( t=0 \), varies with time as A 100 Kg Cart Accelerates At .50 Newtons west on the cart. If values of three variables are. Our acceleration calculator is a tool that helps you to find out how fast the speed of an object is changing. The variables include acceleration (a), time (t), displacement (d), final velocity (vf), and initial velocity (vi). F = m * a. Given that, mass of cart = 100. A 100 Kg Cart Accelerates At .50.
From quizlet.com
A 1200kg car accelerates from zero to 100 km/h over a dista Quizlet A 100 Kg Cart Accelerates At .50 Pounds mass (lbm) measures the amount of matter in an object. Newtons west on the cart. Our acceleration calculator is a tool that helps you to find out how fast the speed of an object is changing. Given that, mass of cart = 100 kg. Newtons are a derived unit,. The magnitude of the force on the horse by the. A 100 Kg Cart Accelerates At .50.
From www.chegg.com
Solved 27. A 60N force is applied to a 100kg cart at rest A 100 Kg Cart Accelerates At .50 Consider how the acceleration would compare if it were pushed. Given that, mass of cart = 100 kg. Pounds mass (lbm) measures the amount of matter in an object. Our acceleration calculator is a tool that helps you to find out how fast the speed of an object is changing. If values of three variables are. Newtons west on the. A 100 Kg Cart Accelerates At .50.