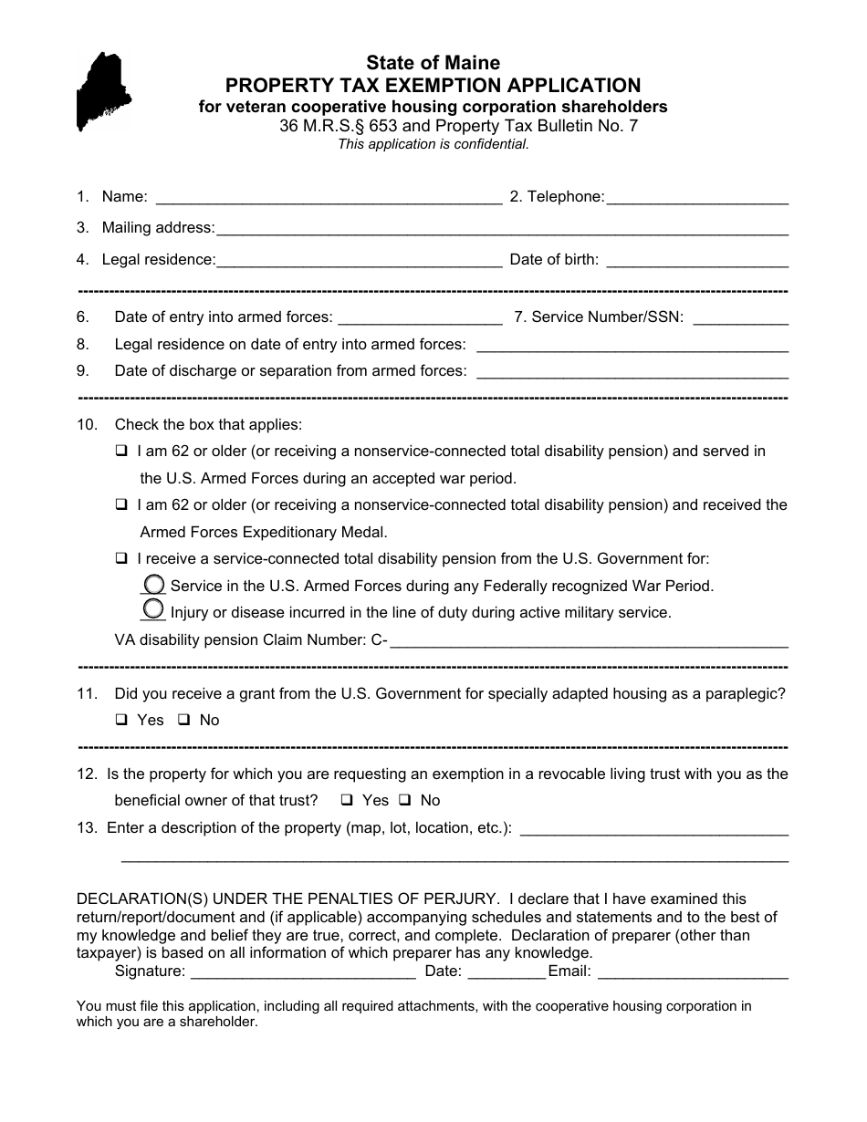
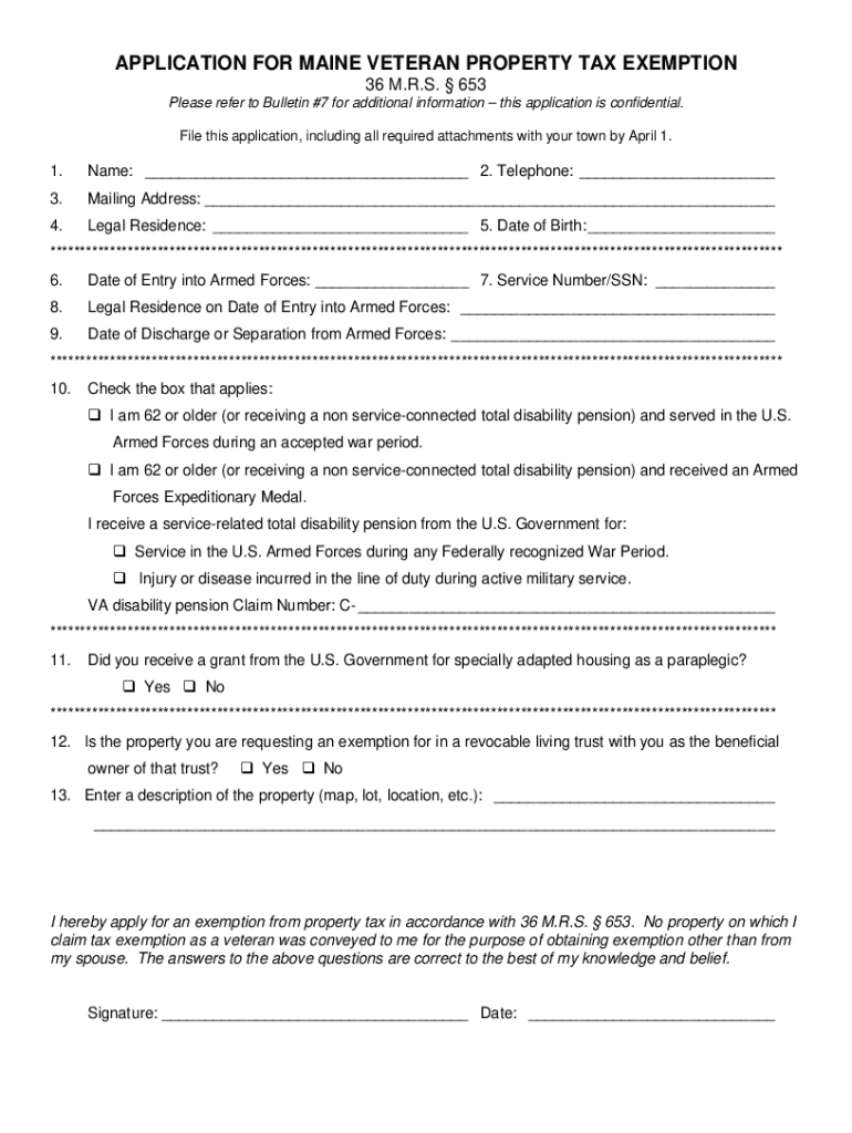
Application For Maine Veteran Property Tax Exemption . all of the above exemptions require completion of an application to the local town office where the property is located. While federal law recognized the period from february 28, 1961, through august 4, 1964,. Learn more about the basic maine homestead. lawmakers in augusta have approved a bill providing property tax relief to a broader group of maine veterans and their families, while also extending a. Armed forces, you may be eligible for a limited. all maine residents who own their homes can claim a homestead tax exemption. if you are a maine resident and a veteran who served on active duty in the u.s. in 2022, the maine legislature enacted an expanded benefit for veterans through the property tax fairness credit. this bill provides enhanced property tax exemptions for certain veterans. A veteran regardless of age becomes eligible for a. ruary 1, 1955 through may 7, 1975. the law also provides a motor vehicle excise tax exemption for veterans who are receiving benefits based on total, service.
from www.exemptform.com
the law also provides a motor vehicle excise tax exemption for veterans who are receiving benefits based on total, service. ruary 1, 1955 through may 7, 1975. A veteran regardless of age becomes eligible for a. all maine residents who own their homes can claim a homestead tax exemption. While federal law recognized the period from february 28, 1961, through august 4, 1964,. if you are a maine resident and a veteran who served on active duty in the u.s. all of the above exemptions require completion of an application to the local town office where the property is located. this bill provides enhanced property tax exemptions for certain veterans. Learn more about the basic maine homestead. Armed forces, you may be eligible for a limited.
Senior Citizen Or Disabled Veteran Property Tax Exemption Applicaton
Application For Maine Veteran Property Tax Exemption Armed forces, you may be eligible for a limited. the law also provides a motor vehicle excise tax exemption for veterans who are receiving benefits based on total, service. ruary 1, 1955 through may 7, 1975. While federal law recognized the period from february 28, 1961, through august 4, 1964,. if you are a maine resident and a veteran who served on active duty in the u.s. in 2022, the maine legislature enacted an expanded benefit for veterans through the property tax fairness credit. all of the above exemptions require completion of an application to the local town office where the property is located. Learn more about the basic maine homestead. lawmakers in augusta have approved a bill providing property tax relief to a broader group of maine veterans and their families, while also extending a. this bill provides enhanced property tax exemptions for certain veterans. all maine residents who own their homes can claim a homestead tax exemption. A veteran regardless of age becomes eligible for a. Armed forces, you may be eligible for a limited.
From www.templateroller.com
Maine Homestead Property Tax Exemption Application Fill Out, Sign Application For Maine Veteran Property Tax Exemption all of the above exemptions require completion of an application to the local town office where the property is located. lawmakers in augusta have approved a bill providing property tax relief to a broader group of maine veterans and their families, while also extending a. A veteran regardless of age becomes eligible for a. in 2022, the. Application For Maine Veteran Property Tax Exemption.
From www.formsbank.com
Applicaton For Maine Veteran Property Tax Exemption printable pdf download Application For Maine Veteran Property Tax Exemption Learn more about the basic maine homestead. all of the above exemptions require completion of an application to the local town office where the property is located. While federal law recognized the period from february 28, 1961, through august 4, 1964,. the law also provides a motor vehicle excise tax exemption for veterans who are receiving benefits based. Application For Maine Veteran Property Tax Exemption.
From www.templateroller.com
Form PTF653E Fill Out, Sign Online and Download Fillable PDF, Maine Application For Maine Veteran Property Tax Exemption if you are a maine resident and a veteran who served on active duty in the u.s. this bill provides enhanced property tax exemptions for certain veterans. all maine residents who own their homes can claim a homestead tax exemption. While federal law recognized the period from february 28, 1961, through august 4, 1964,. the law. Application For Maine Veteran Property Tax Exemption.
From www.formsbank.com
Fillable Form 46a Application For Paraplegic Veteran Property Tax Application For Maine Veteran Property Tax Exemption While federal law recognized the period from february 28, 1961, through august 4, 1964,. all maine residents who own their homes can claim a homestead tax exemption. all of the above exemptions require completion of an application to the local town office where the property is located. A veteran regardless of age becomes eligible for a. ruary. Application For Maine Veteran Property Tax Exemption.
From www.formsbank.com
Property Tax Exemption Application For Qualifying Disabled Veterans Application For Maine Veteran Property Tax Exemption A veteran regardless of age becomes eligible for a. ruary 1, 1955 through may 7, 1975. lawmakers in augusta have approved a bill providing property tax relief to a broader group of maine veterans and their families, while also extending a. all maine residents who own their homes can claim a homestead tax exemption. While federal law. Application For Maine Veteran Property Tax Exemption.
From www.templateroller.com
Maine Homestead Property Tax Exemption Application for Cooperative Application For Maine Veteran Property Tax Exemption ruary 1, 1955 through may 7, 1975. A veteran regardless of age becomes eligible for a. lawmakers in augusta have approved a bill providing property tax relief to a broader group of maine veterans and their families, while also extending a. all maine residents who own their homes can claim a homestead tax exemption. all of. Application For Maine Veteran Property Tax Exemption.
From drive.google.com
PROPERTY TAX EXEMPTION APPLICATION FOR QUALIFYING VETERANS 2024 .pdf Application For Maine Veteran Property Tax Exemption the law also provides a motor vehicle excise tax exemption for veterans who are receiving benefits based on total, service. Learn more about the basic maine homestead. A veteran regardless of age becomes eligible for a. this bill provides enhanced property tax exemptions for certain veterans. all maine residents who own their homes can claim a homestead. Application For Maine Veteran Property Tax Exemption.
From www.bank2home.com
Veterans Property Tax Exemption Application Form Printable Pdf Download Application For Maine Veteran Property Tax Exemption in 2022, the maine legislature enacted an expanded benefit for veterans through the property tax fairness credit. A veteran regardless of age becomes eligible for a. all maine residents who own their homes can claim a homestead tax exemption. all of the above exemptions require completion of an application to the local town office where the property. Application For Maine Veteran Property Tax Exemption.
From www.templateroller.com
Form PTF6532C Fill Out, Sign Online and Download Printable PDF Application For Maine Veteran Property Tax Exemption While federal law recognized the period from february 28, 1961, through august 4, 1964,. A veteran regardless of age becomes eligible for a. all of the above exemptions require completion of an application to the local town office where the property is located. if you are a maine resident and a veteran who served on active duty in. Application For Maine Veteran Property Tax Exemption.
From www.pdffiller.com
Fillable Online Application for Maine Veteran Property Tax Exemption Application For Maine Veteran Property Tax Exemption Learn more about the basic maine homestead. Armed forces, you may be eligible for a limited. the law also provides a motor vehicle excise tax exemption for veterans who are receiving benefits based on total, service. ruary 1, 1955 through may 7, 1975. While federal law recognized the period from february 28, 1961, through august 4, 1964,. A. Application For Maine Veteran Property Tax Exemption.
From www.templateroller.com
Maine Property Tax Exemption Application for Veterans of the Armed Application For Maine Veteran Property Tax Exemption lawmakers in augusta have approved a bill providing property tax relief to a broader group of maine veterans and their families, while also extending a. A veteran regardless of age becomes eligible for a. Armed forces, you may be eligible for a limited. While federal law recognized the period from february 28, 1961, through august 4, 1964,. all. Application For Maine Veteran Property Tax Exemption.
From www.templateroller.com
Maine Homestead Property Tax Exemption Application Fill Out, Sign Application For Maine Veteran Property Tax Exemption if you are a maine resident and a veteran who served on active duty in the u.s. all of the above exemptions require completion of an application to the local town office where the property is located. Armed forces, you may be eligible for a limited. all maine residents who own their homes can claim a homestead. Application For Maine Veteran Property Tax Exemption.
From www.exemptform.com
Senior Citizen Or Disabled Veteran Property Tax Exemption Applicaton Application For Maine Veteran Property Tax Exemption in 2022, the maine legislature enacted an expanded benefit for veterans through the property tax fairness credit. A veteran regardless of age becomes eligible for a. lawmakers in augusta have approved a bill providing property tax relief to a broader group of maine veterans and their families, while also extending a. Learn more about the basic maine homestead.. Application For Maine Veteran Property Tax Exemption.
From www.templateroller.com
Form PTF6532B Fill Out, Sign Online and Download Fillable PDF Application For Maine Veteran Property Tax Exemption all maine residents who own their homes can claim a homestead tax exemption. the law also provides a motor vehicle excise tax exemption for veterans who are receiving benefits based on total, service. ruary 1, 1955 through may 7, 1975. Learn more about the basic maine homestead. lawmakers in augusta have approved a bill providing property. Application For Maine Veteran Property Tax Exemption.
From www.templateroller.com
Form APP162 Fill Out, Sign Online and Download Fillable PDF, Maine Application For Maine Veteran Property Tax Exemption lawmakers in augusta have approved a bill providing property tax relief to a broader group of maine veterans and their families, while also extending a. the law also provides a motor vehicle excise tax exemption for veterans who are receiving benefits based on total, service. A veteran regardless of age becomes eligible for a. this bill provides. Application For Maine Veteran Property Tax Exemption.
From www.exemptform.com
Senior Citizen Or Disabled Veteran Property Tax Exemption Applicaton Application For Maine Veteran Property Tax Exemption A veteran regardless of age becomes eligible for a. this bill provides enhanced property tax exemptions for certain veterans. all maine residents who own their homes can claim a homestead tax exemption. lawmakers in augusta have approved a bill providing property tax relief to a broader group of maine veterans and their families, while also extending a.. Application For Maine Veteran Property Tax Exemption.
From www.formsbank.com
Fillable Form Otc998 Application For 100 Disabled Veterans Real Application For Maine Veteran Property Tax Exemption Learn more about the basic maine homestead. all maine residents who own their homes can claim a homestead tax exemption. lawmakers in augusta have approved a bill providing property tax relief to a broader group of maine veterans and their families, while also extending a. Armed forces, you may be eligible for a limited. While federal law recognized. Application For Maine Veteran Property Tax Exemption.
From www.templateroller.com
Maine Application for Maine Homestead Property Tax Exemption Fill Out Application For Maine Veteran Property Tax Exemption Armed forces, you may be eligible for a limited. all of the above exemptions require completion of an application to the local town office where the property is located. the law also provides a motor vehicle excise tax exemption for veterans who are receiving benefits based on total, service. if you are a maine resident and a. Application For Maine Veteran Property Tax Exemption.
From www.templateroller.com
Maine Property Tax Exemption Application for Veterans of the Armed Application For Maine Veteran Property Tax Exemption ruary 1, 1955 through may 7, 1975. if you are a maine resident and a veteran who served on active duty in the u.s. Learn more about the basic maine homestead. lawmakers in augusta have approved a bill providing property tax relief to a broader group of maine veterans and their families, while also extending a. . Application For Maine Veteran Property Tax Exemption.
From www.templateroller.com
Form PTF6532B Fill Out, Sign Online and Download Fillable PDF Application For Maine Veteran Property Tax Exemption Armed forces, you may be eligible for a limited. Learn more about the basic maine homestead. the law also provides a motor vehicle excise tax exemption for veterans who are receiving benefits based on total, service. all maine residents who own their homes can claim a homestead tax exemption. all of the above exemptions require completion of. Application For Maine Veteran Property Tax Exemption.
From www.templateroller.com
Form APP157 Download Printable PDF or Fill Online Exemption Application For Maine Veteran Property Tax Exemption the law also provides a motor vehicle excise tax exemption for veterans who are receiving benefits based on total, service. all maine residents who own their homes can claim a homestead tax exemption. A veteran regardless of age becomes eligible for a. Learn more about the basic maine homestead. While federal law recognized the period from february 28,. Application For Maine Veteran Property Tax Exemption.
From www.templateroller.com
Form PTF307 Fill Out, Sign Online and Download Printable PDF, Maine Application For Maine Veteran Property Tax Exemption all maine residents who own their homes can claim a homestead tax exemption. this bill provides enhanced property tax exemptions for certain veterans. ruary 1, 1955 through may 7, 1975. all of the above exemptions require completion of an application to the local town office where the property is located. Learn more about the basic maine. Application For Maine Veteran Property Tax Exemption.
From www.templateroller.com
Form PTF653E Download Printable PDF or Fill Online Veteran Property Application For Maine Veteran Property Tax Exemption A veteran regardless of age becomes eligible for a. Learn more about the basic maine homestead. lawmakers in augusta have approved a bill providing property tax relief to a broader group of maine veterans and their families, while also extending a. this bill provides enhanced property tax exemptions for certain veterans. the law also provides a motor. Application For Maine Veteran Property Tax Exemption.
From www.templateroller.com
Maine Property Tax Exemption Application for Legally Blind Persons Application For Maine Veteran Property Tax Exemption Armed forces, you may be eligible for a limited. if you are a maine resident and a veteran who served on active duty in the u.s. Learn more about the basic maine homestead. in 2022, the maine legislature enacted an expanded benefit for veterans through the property tax fairness credit. the law also provides a motor vehicle. Application For Maine Veteran Property Tax Exemption.
From www.templateroller.com
Form PTF307 Fill Out, Sign Online and Download Printable PDF, Maine Application For Maine Veteran Property Tax Exemption Armed forces, you may be eligible for a limited. Learn more about the basic maine homestead. ruary 1, 1955 through may 7, 1975. lawmakers in augusta have approved a bill providing property tax relief to a broader group of maine veterans and their families, while also extending a. While federal law recognized the period from february 28, 1961,. Application For Maine Veteran Property Tax Exemption.
From www.templateroller.com
Form PTF6532C Fill Out, Sign Online and Download Printable PDF Application For Maine Veteran Property Tax Exemption if you are a maine resident and a veteran who served on active duty in the u.s. in 2022, the maine legislature enacted an expanded benefit for veterans through the property tax fairness credit. A veteran regardless of age becomes eligible for a. all of the above exemptions require completion of an application to the local town. Application For Maine Veteran Property Tax Exemption.
From www.pdffiller.com
Fillable Online application for maine veteran property tax exemption Application For Maine Veteran Property Tax Exemption ruary 1, 1955 through may 7, 1975. the law also provides a motor vehicle excise tax exemption for veterans who are receiving benefits based on total, service. While federal law recognized the period from february 28, 1961, through august 4, 1964,. Armed forces, you may be eligible for a limited. lawmakers in augusta have approved a bill. Application For Maine Veteran Property Tax Exemption.
From www.templateroller.com
Form APP129 Download Printable PDF or Fill Online Exemption Application For Maine Veteran Property Tax Exemption Armed forces, you may be eligible for a limited. if you are a maine resident and a veteran who served on active duty in the u.s. this bill provides enhanced property tax exemptions for certain veterans. A veteran regardless of age becomes eligible for a. Learn more about the basic maine homestead. all of the above exemptions. Application For Maine Veteran Property Tax Exemption.
From www.letsmovetomaine.com
New Bill Clarifies Property Tax Exemption for Veterans Application For Maine Veteran Property Tax Exemption if you are a maine resident and a veteran who served on active duty in the u.s. all maine residents who own their homes can claim a homestead tax exemption. Learn more about the basic maine homestead. in 2022, the maine legislature enacted an expanded benefit for veterans through the property tax fairness credit. lawmakers in. Application For Maine Veteran Property Tax Exemption.
From www.templateroller.com
Form PTF653E Fill Out, Sign Online and Download Fillable PDF, Maine Application For Maine Veteran Property Tax Exemption While federal law recognized the period from february 28, 1961, through august 4, 1964,. Armed forces, you may be eligible for a limited. if you are a maine resident and a veteran who served on active duty in the u.s. lawmakers in augusta have approved a bill providing property tax relief to a broader group of maine veterans. Application For Maine Veteran Property Tax Exemption.
From www.templateroller.com
Form PTF307 Fill Out, Sign Online and Download Fillable PDF, Maine Application For Maine Veteran Property Tax Exemption Armed forces, you may be eligible for a limited. all of the above exemptions require completion of an application to the local town office where the property is located. Learn more about the basic maine homestead. A veteran regardless of age becomes eligible for a. if you are a maine resident and a veteran who served on active. Application For Maine Veteran Property Tax Exemption.
From www.pdffiller.com
Fillable Online Application for Maine VetERAN Property Tax Exemption Application For Maine Veteran Property Tax Exemption While federal law recognized the period from february 28, 1961, through august 4, 1964,. if you are a maine resident and a veteran who served on active duty in the u.s. in 2022, the maine legislature enacted an expanded benefit for veterans through the property tax fairness credit. this bill provides enhanced property tax exemptions for certain. Application For Maine Veteran Property Tax Exemption.
From www.formsbank.com
69 Tax Exempt Form Templates free to download in PDF Application For Maine Veteran Property Tax Exemption the law also provides a motor vehicle excise tax exemption for veterans who are receiving benefits based on total, service. Armed forces, you may be eligible for a limited. lawmakers in augusta have approved a bill providing property tax relief to a broader group of maine veterans and their families, while also extending a. A veteran regardless of. Application For Maine Veteran Property Tax Exemption.
From www.exemptform.com
Tax Exemption Form For Veterans Application For Maine Veteran Property Tax Exemption all of the above exemptions require completion of an application to the local town office where the property is located. Learn more about the basic maine homestead. Armed forces, you may be eligible for a limited. While federal law recognized the period from february 28, 1961, through august 4, 1964,. if you are a maine resident and a. Application For Maine Veteran Property Tax Exemption.
From www.letsmovetomaine.com
Maine Tax Exemption Policy For Veterans Application For Maine Veteran Property Tax Exemption if you are a maine resident and a veteran who served on active duty in the u.s. all of the above exemptions require completion of an application to the local town office where the property is located. the law also provides a motor vehicle excise tax exemption for veterans who are receiving benefits based on total, service.. Application For Maine Veteran Property Tax Exemption.