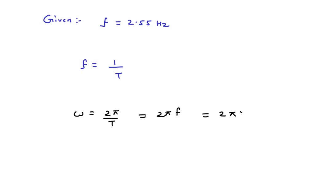
A Sewing Machine Needle Moves Up And Down In Simple Harmonic Motion With An Amplitude . We need to find the maximum. (a) what is the maximum speed of the needle? In this fusion, we have given a swing machine with needles that moves up and down in a simple motion. We have given a swing machine with needles that can move up and down in a simple motion. The needle sewing machine moves up and down in simple harmonic motion with frequency f = 10 hz and an amplitude of 0.10 m. A sewing machine needle moves up and down in simple harmonic motion with an amplitude of 1.27 cm and a frequency of 2.55 hz. The simple harmonic motion of a sewing machine needle is defined by its amplitude and frequency. For simple harmonic motion, the amplitude is half this. The amplitude (0.0127 m) is the. To find the maximum acceleration of the needle, we can use the same values for amplitude and angular frequency:. The sewing machine needle is moving through a total vertical distance of 2cm 2 c m. We need to find the.
from www.sewingmachinefun.com
The simple harmonic motion of a sewing machine needle is defined by its amplitude and frequency. For simple harmonic motion, the amplitude is half this. (a) what is the maximum speed of the needle? The amplitude (0.0127 m) is the. The sewing machine needle is moving through a total vertical distance of 2cm 2 c m. In this fusion, we have given a swing machine with needles that moves up and down in a simple motion. We need to find the maximum. A sewing machine needle moves up and down in simple harmonic motion with an amplitude of 1.27 cm and a frequency of 2.55 hz. We need to find the. The needle sewing machine moves up and down in simple harmonic motion with frequency f = 10 hz and an amplitude of 0.10 m.
How To Thread A Sewing Machine Needle Easily Tips & Tricks
A Sewing Machine Needle Moves Up And Down In Simple Harmonic Motion With An Amplitude In this fusion, we have given a swing machine with needles that moves up and down in a simple motion. To find the maximum acceleration of the needle, we can use the same values for amplitude and angular frequency:. The amplitude (0.0127 m) is the. (a) what is the maximum speed of the needle? The needle sewing machine moves up and down in simple harmonic motion with frequency f = 10 hz and an amplitude of 0.10 m. We need to find the maximum. In this fusion, we have given a swing machine with needles that moves up and down in a simple motion. A sewing machine needle moves up and down in simple harmonic motion with an amplitude of 1.27 cm and a frequency of 2.55 hz. We have given a swing machine with needles that can move up and down in a simple motion. We need to find the. The sewing machine needle is moving through a total vertical distance of 2cm 2 c m. For simple harmonic motion, the amplitude is half this. The simple harmonic motion of a sewing machine needle is defined by its amplitude and frequency.
From stock.adobe.com
needle of the sewing machine in motion, closeup. needle of the sewing A Sewing Machine Needle Moves Up And Down In Simple Harmonic Motion With An Amplitude The simple harmonic motion of a sewing machine needle is defined by its amplitude and frequency. The sewing machine needle is moving through a total vertical distance of 2cm 2 c m. For simple harmonic motion, the amplitude is half this. We have given a swing machine with needles that can move up and down in a simple motion. The. A Sewing Machine Needle Moves Up And Down In Simple Harmonic Motion With An Amplitude.
From www.dreamstime.com
Needle of the Sewing Machine Quickly Moves Up and Down. Process of A Sewing Machine Needle Moves Up And Down In Simple Harmonic Motion With An Amplitude The sewing machine needle is moving through a total vertical distance of 2cm 2 c m. The amplitude (0.0127 m) is the. We need to find the maximum. For simple harmonic motion, the amplitude is half this. In this fusion, we have given a swing machine with needles that moves up and down in a simple motion. We have given. A Sewing Machine Needle Moves Up And Down In Simple Harmonic Motion With An Amplitude.
From startsewingtoday.com
A Guide to The Parts of a Sewing Machine Start Sewing Today A Sewing Machine Needle Moves Up And Down In Simple Harmonic Motion With An Amplitude We have given a swing machine with needles that can move up and down in a simple motion. A sewing machine needle moves up and down in simple harmonic motion with an amplitude of 1.27 cm and a frequency of 2.55 hz. In this fusion, we have given a swing machine with needles that moves up and down in a. A Sewing Machine Needle Moves Up And Down In Simple Harmonic Motion With An Amplitude.
From www.chegg.com
Solved A sewing machine needle moves up and down in simple A Sewing Machine Needle Moves Up And Down In Simple Harmonic Motion With An Amplitude In this fusion, we have given a swing machine with needles that moves up and down in a simple motion. We need to find the maximum. We have given a swing machine with needles that can move up and down in a simple motion. A sewing machine needle moves up and down in simple harmonic motion with an amplitude of. A Sewing Machine Needle Moves Up And Down In Simple Harmonic Motion With An Amplitude.
From printablezoneeluate.z21.web.core.windows.net
Simple Harmonic Motion Example A Sewing Machine Needle Moves Up And Down In Simple Harmonic Motion With An Amplitude (a) what is the maximum speed of the needle? We need to find the. The needle sewing machine moves up and down in simple harmonic motion with frequency f = 10 hz and an amplitude of 0.10 m. For simple harmonic motion, the amplitude is half this. In this fusion, we have given a swing machine with needles that moves. A Sewing Machine Needle Moves Up And Down In Simple Harmonic Motion With An Amplitude.
From www.numerade.com
SOLVEDA sewing machine needle moves with a rapid vibratory motion A Sewing Machine Needle Moves Up And Down In Simple Harmonic Motion With An Amplitude We need to find the maximum. To find the maximum acceleration of the needle, we can use the same values for amplitude and angular frequency:. The simple harmonic motion of a sewing machine needle is defined by its amplitude and frequency. In this fusion, we have given a swing machine with needles that moves up and down in a simple. A Sewing Machine Needle Moves Up And Down In Simple Harmonic Motion With An Amplitude.
From www.chegg.com
Solved Question 3 Simple harmonic motion A sewing machine A Sewing Machine Needle Moves Up And Down In Simple Harmonic Motion With An Amplitude To find the maximum acceleration of the needle, we can use the same values for amplitude and angular frequency:. In this fusion, we have given a swing machine with needles that moves up and down in a simple motion. The sewing machine needle is moving through a total vertical distance of 2cm 2 c m. We need to find the.. A Sewing Machine Needle Moves Up And Down In Simple Harmonic Motion With An Amplitude.
From www.chegg.com
Solved A sewing machine needle moves up and down in simple A Sewing Machine Needle Moves Up And Down In Simple Harmonic Motion With An Amplitude The needle sewing machine moves up and down in simple harmonic motion with frequency f = 10 hz and an amplitude of 0.10 m. To find the maximum acceleration of the needle, we can use the same values for amplitude and angular frequency:. The sewing machine needle is moving through a total vertical distance of 2cm 2 c m. The. A Sewing Machine Needle Moves Up And Down In Simple Harmonic Motion With An Amplitude.
From bdtextilemates.blogspot.com
Different Parts of a Sewing Machine (with Pictures) A Sewing Machine Needle Moves Up And Down In Simple Harmonic Motion With An Amplitude We need to find the maximum. In this fusion, we have given a swing machine with needles that moves up and down in a simple motion. We have given a swing machine with needles that can move up and down in a simple motion. The simple harmonic motion of a sewing machine needle is defined by its amplitude and frequency.. A Sewing Machine Needle Moves Up And Down In Simple Harmonic Motion With An Amplitude.
From www.numerade.com
SOLVED A sewing machine needle moves Up and down in simple harmonic A Sewing Machine Needle Moves Up And Down In Simple Harmonic Motion With An Amplitude The simple harmonic motion of a sewing machine needle is defined by its amplitude and frequency. A sewing machine needle moves up and down in simple harmonic motion with an amplitude of 1.27 cm and a frequency of 2.55 hz. In this fusion, we have given a swing machine with needles that moves up and down in a simple motion.. A Sewing Machine Needle Moves Up And Down In Simple Harmonic Motion With An Amplitude.
From www.dreamstime.com
Closeup of a Sewing Machine Needle Bobbin and Stitch Settings Stock A Sewing Machine Needle Moves Up And Down In Simple Harmonic Motion With An Amplitude (a) what is the maximum speed of the needle? A sewing machine needle moves up and down in simple harmonic motion with an amplitude of 1.27 cm and a frequency of 2.55 hz. The needle sewing machine moves up and down in simple harmonic motion with frequency f = 10 hz and an amplitude of 0.10 m. To find the. A Sewing Machine Needle Moves Up And Down In Simple Harmonic Motion With An Amplitude.
From www.bartleby.com
Answered A sewing machine needle moves up and… bartleby A Sewing Machine Needle Moves Up And Down In Simple Harmonic Motion With An Amplitude The needle sewing machine moves up and down in simple harmonic motion with frequency f = 10 hz and an amplitude of 0.10 m. For simple harmonic motion, the amplitude is half this. The simple harmonic motion of a sewing machine needle is defined by its amplitude and frequency. To find the maximum acceleration of the needle, we can use. A Sewing Machine Needle Moves Up And Down In Simple Harmonic Motion With An Amplitude.
From www.sewkitkit.com
8 Types Of Sewing Machine Needles And How To Use Them Sew Kit Kit A Sewing Machine Needle Moves Up And Down In Simple Harmonic Motion With An Amplitude (a) what is the maximum speed of the needle? For simple harmonic motion, the amplitude is half this. In this fusion, we have given a swing machine with needles that moves up and down in a simple motion. The needle sewing machine moves up and down in simple harmonic motion with frequency f = 10 hz and an amplitude of. A Sewing Machine Needle Moves Up And Down In Simple Harmonic Motion With An Amplitude.
From www.dreamstime.com
Needle of the Sewing Machine Quickly Moves Up and Down. Process of A Sewing Machine Needle Moves Up And Down In Simple Harmonic Motion With An Amplitude To find the maximum acceleration of the needle, we can use the same values for amplitude and angular frequency:. We have given a swing machine with needles that can move up and down in a simple motion. The simple harmonic motion of a sewing machine needle is defined by its amplitude and frequency. The needle sewing machine moves up and. A Sewing Machine Needle Moves Up And Down In Simple Harmonic Motion With An Amplitude.
From www.dreamstime.com
Needle of the Sewing Machine Quickly Moves Up and Down. Process of A Sewing Machine Needle Moves Up And Down In Simple Harmonic Motion With An Amplitude In this fusion, we have given a swing machine with needles that moves up and down in a simple motion. A sewing machine needle moves up and down in simple harmonic motion with an amplitude of 1.27 cm and a frequency of 2.55 hz. For simple harmonic motion, the amplitude is half this. The amplitude (0.0127 m) is the. We. A Sewing Machine Needle Moves Up And Down In Simple Harmonic Motion With An Amplitude.
From www.sewingmachinefun.com
How To Thread A Sewing Machine Needle Easily Tips & Tricks A Sewing Machine Needle Moves Up And Down In Simple Harmonic Motion With An Amplitude The needle sewing machine moves up and down in simple harmonic motion with frequency f = 10 hz and an amplitude of 0.10 m. We need to find the maximum. In this fusion, we have given a swing machine with needles that moves up and down in a simple motion. (a) what is the maximum speed of the needle? For. A Sewing Machine Needle Moves Up And Down In Simple Harmonic Motion With An Amplitude.
From www.numerade.com
SOLVED A sewing machine needle moves up and down in simple harmonic A Sewing Machine Needle Moves Up And Down In Simple Harmonic Motion With An Amplitude In this fusion, we have given a swing machine with needles that moves up and down in a simple motion. The amplitude (0.0127 m) is the. The sewing machine needle is moving through a total vertical distance of 2cm 2 c m. We need to find the maximum. We have given a swing machine with needles that can move up. A Sewing Machine Needle Moves Up And Down In Simple Harmonic Motion With An Amplitude.
From www.dreamstime.com
Closeup of Sewing Machine Needle Rapidly Moves Up and Down. Stock A Sewing Machine Needle Moves Up And Down In Simple Harmonic Motion With An Amplitude The needle sewing machine moves up and down in simple harmonic motion with frequency f = 10 hz and an amplitude of 0.10 m. We have given a swing machine with needles that can move up and down in a simple motion. The simple harmonic motion of a sewing machine needle is defined by its amplitude and frequency. The sewing. A Sewing Machine Needle Moves Up And Down In Simple Harmonic Motion With An Amplitude.
From www.chegg.com
Solved 1. A sewing machine needle moves up and down in A Sewing Machine Needle Moves Up And Down In Simple Harmonic Motion With An Amplitude To find the maximum acceleration of the needle, we can use the same values for amplitude and angular frequency:. We have given a swing machine with needles that can move up and down in a simple motion. In this fusion, we have given a swing machine with needles that moves up and down in a simple motion. (a) what is. A Sewing Machine Needle Moves Up And Down In Simple Harmonic Motion With An Amplitude.
From www.dreamstime.com
Needle of the Sewing Machine in Motion, Closeup. Needle of the Sewing A Sewing Machine Needle Moves Up And Down In Simple Harmonic Motion With An Amplitude We need to find the maximum. (a) what is the maximum speed of the needle? The amplitude (0.0127 m) is the. The simple harmonic motion of a sewing machine needle is defined by its amplitude and frequency. We have given a swing machine with needles that can move up and down in a simple motion. The needle sewing machine moves. A Sewing Machine Needle Moves Up And Down In Simple Harmonic Motion With An Amplitude.
From www.dreamstime.com
Closeup of Sewing Machine Needle Rapidly Moves Up and Down. Stock A Sewing Machine Needle Moves Up And Down In Simple Harmonic Motion With An Amplitude A sewing machine needle moves up and down in simple harmonic motion with an amplitude of 1.27 cm and a frequency of 2.55 hz. We have given a swing machine with needles that can move up and down in a simple motion. We need to find the maximum. The needle sewing machine moves up and down in simple harmonic motion. A Sewing Machine Needle Moves Up And Down In Simple Harmonic Motion With An Amplitude.
From www.chegg.com
Solved A sewing machine needle moves up and down in simple A Sewing Machine Needle Moves Up And Down In Simple Harmonic Motion With An Amplitude The sewing machine needle is moving through a total vertical distance of 2cm 2 c m. We have given a swing machine with needles that can move up and down in a simple motion. (a) what is the maximum speed of the needle? For simple harmonic motion, the amplitude is half this. To find the maximum acceleration of the needle,. A Sewing Machine Needle Moves Up And Down In Simple Harmonic Motion With An Amplitude.
From silverbobbin.com
Parts of Sewing Machine and Their Functions Guide] A Sewing Machine Needle Moves Up And Down In Simple Harmonic Motion With An Amplitude We have given a swing machine with needles that can move up and down in a simple motion. The sewing machine needle is moving through a total vertical distance of 2cm 2 c m. A sewing machine needle moves up and down in simple harmonic motion with an amplitude of 1.27 cm and a frequency of 2.55 hz. To find. A Sewing Machine Needle Moves Up And Down In Simple Harmonic Motion With An Amplitude.
From www.numerade.com
SOLVED Question 1 (1 point) A sewing machine needle moves up and down A Sewing Machine Needle Moves Up And Down In Simple Harmonic Motion With An Amplitude For simple harmonic motion, the amplitude is half this. We have given a swing machine with needles that can move up and down in a simple motion. The needle sewing machine moves up and down in simple harmonic motion with frequency f = 10 hz and an amplitude of 0.10 m. The simple harmonic motion of a sewing machine needle. A Sewing Machine Needle Moves Up And Down In Simple Harmonic Motion With An Amplitude.
From cartoondealer.com
Process Of Sewing Artificial Leather. Needle Of Sewing Machine In A Sewing Machine Needle Moves Up And Down In Simple Harmonic Motion With An Amplitude The simple harmonic motion of a sewing machine needle is defined by its amplitude and frequency. We need to find the maximum. We need to find the. For simple harmonic motion, the amplitude is half this. In this fusion, we have given a swing machine with needles that moves up and down in a simple motion. To find the maximum. A Sewing Machine Needle Moves Up And Down In Simple Harmonic Motion With An Amplitude.
From www.dreamstime.com
Needle of the Sewing Machine Quickly Moves Up and Down. Process of A Sewing Machine Needle Moves Up And Down In Simple Harmonic Motion With An Amplitude We have given a swing machine with needles that can move up and down in a simple motion. We need to find the maximum. For simple harmonic motion, the amplitude is half this. In this fusion, we have given a swing machine with needles that moves up and down in a simple motion. The simple harmonic motion of a sewing. A Sewing Machine Needle Moves Up And Down In Simple Harmonic Motion With An Amplitude.
From www.storyblocks.com
Sewing Machine Needle in Motion. Closeup of sewing machine needle A Sewing Machine Needle Moves Up And Down In Simple Harmonic Motion With An Amplitude The needle sewing machine moves up and down in simple harmonic motion with frequency f = 10 hz and an amplitude of 0.10 m. We have given a swing machine with needles that can move up and down in a simple motion. A sewing machine needle moves up and down in simple harmonic motion with an amplitude of 1.27 cm. A Sewing Machine Needle Moves Up And Down In Simple Harmonic Motion With An Amplitude.
From www.chegg.com
Solved A sewing machine needle moves up and down in simple A Sewing Machine Needle Moves Up And Down In Simple Harmonic Motion With An Amplitude The needle sewing machine moves up and down in simple harmonic motion with frequency f = 10 hz and an amplitude of 0.10 m. In this fusion, we have given a swing machine with needles that moves up and down in a simple motion. To find the maximum acceleration of the needle, we can use the same values for amplitude. A Sewing Machine Needle Moves Up And Down In Simple Harmonic Motion With An Amplitude.
From www.dreamstime.com
Closeup of Sewing Machine Needle Rapidly Moves Up and Down. Stock A Sewing Machine Needle Moves Up And Down In Simple Harmonic Motion With An Amplitude We have given a swing machine with needles that can move up and down in a simple motion. The simple harmonic motion of a sewing machine needle is defined by its amplitude and frequency. The needle sewing machine moves up and down in simple harmonic motion with frequency f = 10 hz and an amplitude of 0.10 m. The amplitude. A Sewing Machine Needle Moves Up And Down In Simple Harmonic Motion With An Amplitude.
From www.numerade.com
The point of the needle of a sewing machine moves in SHM along the x A Sewing Machine Needle Moves Up And Down In Simple Harmonic Motion With An Amplitude For simple harmonic motion, the amplitude is half this. The sewing machine needle is moving through a total vertical distance of 2cm 2 c m. We have given a swing machine with needles that can move up and down in a simple motion. The needle sewing machine moves up and down in simple harmonic motion with frequency f = 10. A Sewing Machine Needle Moves Up And Down In Simple Harmonic Motion With An Amplitude.
From sewing.about.com
Guide to Understanding Sewing Machine Needle Position A Sewing Machine Needle Moves Up And Down In Simple Harmonic Motion With An Amplitude A sewing machine needle moves up and down in simple harmonic motion with an amplitude of 1.27 cm and a frequency of 2.55 hz. We have given a swing machine with needles that can move up and down in a simple motion. To find the maximum acceleration of the needle, we can use the same values for amplitude and angular. A Sewing Machine Needle Moves Up And Down In Simple Harmonic Motion With An Amplitude.
From www.dreamstime.com
Needle of the Sewing Machine Quickly Moves Up and Down. Process of A Sewing Machine Needle Moves Up And Down In Simple Harmonic Motion With An Amplitude The simple harmonic motion of a sewing machine needle is defined by its amplitude and frequency. To find the maximum acceleration of the needle, we can use the same values for amplitude and angular frequency:. We need to find the. We need to find the maximum. The needle sewing machine moves up and down in simple harmonic motion with frequency. A Sewing Machine Needle Moves Up And Down In Simple Harmonic Motion With An Amplitude.
From www.dreamstime.com
Closeup of Sewing Machine Needle Rapidly Moves Up and Down. Stock A Sewing Machine Needle Moves Up And Down In Simple Harmonic Motion With An Amplitude We need to find the maximum. A sewing machine needle moves up and down in simple harmonic motion with an amplitude of 1.27 cm and a frequency of 2.55 hz. (a) what is the maximum speed of the needle? The sewing machine needle is moving through a total vertical distance of 2cm 2 c m. To find the maximum acceleration. A Sewing Machine Needle Moves Up And Down In Simple Harmonic Motion With An Amplitude.
From www.dreamstime.com
Needle for Sewing Machine in Motion the Closeup of the Sewing Machine A Sewing Machine Needle Moves Up And Down In Simple Harmonic Motion With An Amplitude The amplitude (0.0127 m) is the. In this fusion, we have given a swing machine with needles that moves up and down in a simple motion. We have given a swing machine with needles that can move up and down in a simple motion. For simple harmonic motion, the amplitude is half this. We need to find the. A sewing. A Sewing Machine Needle Moves Up And Down In Simple Harmonic Motion With An Amplitude.
From www.applegreencottage.com
How To Change A Sewing Machine Needle AppleGreen Cottage A Sewing Machine Needle Moves Up And Down In Simple Harmonic Motion With An Amplitude A sewing machine needle moves up and down in simple harmonic motion with an amplitude of 1.27 cm and a frequency of 2.55 hz. To find the maximum acceleration of the needle, we can use the same values for amplitude and angular frequency:. The simple harmonic motion of a sewing machine needle is defined by its amplitude and frequency. (a). A Sewing Machine Needle Moves Up And Down In Simple Harmonic Motion With An Amplitude.