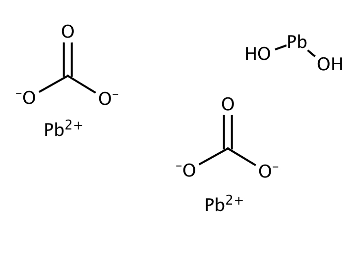
Lead Ii Carbonate Molar Mass . Binary ionic compounds are between a metal and nonmetal. The molar mass and molecular weight of pb3(co3)2(oh)2 (basic lead carbonate) is 775.632. Let's calculate the molar mass of carbon dioxide (co 2): Molar mass, molecular weight and elemental composition calculator enter a chemical formula to calculate its molar mass and elemental. This does not mean there are two atoms, but two types of atoms, so al 2 s 3 is a. Carbon (c) has an atomic mass of about 12.01 amu.
from www.chegg.com
Binary ionic compounds are between a metal and nonmetal. Let's calculate the molar mass of carbon dioxide (co 2): This does not mean there are two atoms, but two types of atoms, so al 2 s 3 is a. Carbon (c) has an atomic mass of about 12.01 amu. Molar mass, molecular weight and elemental composition calculator enter a chemical formula to calculate its molar mass and elemental. The molar mass and molecular weight of pb3(co3)2(oh)2 (basic lead carbonate) is 775.632.
Solved Solid Lead(II) carbonate is put into pure water and
Lead Ii Carbonate Molar Mass The molar mass and molecular weight of pb3(co3)2(oh)2 (basic lead carbonate) is 775.632. Binary ionic compounds are between a metal and nonmetal. Let's calculate the molar mass of carbon dioxide (co 2): Molar mass, molecular weight and elemental composition calculator enter a chemical formula to calculate its molar mass and elemental. Carbon (c) has an atomic mass of about 12.01 amu. This does not mean there are two atoms, but two types of atoms, so al 2 s 3 is a. The molar mass and molecular weight of pb3(co3)2(oh)2 (basic lead carbonate) is 775.632.
From a-z-animals.com
Discover the Molar Mass of Sodium Carbonate (Na2CO3) + Key Examples of Lead Ii Carbonate Molar Mass Molar mass, molecular weight and elemental composition calculator enter a chemical formula to calculate its molar mass and elemental. This does not mean there are two atoms, but two types of atoms, so al 2 s 3 is a. Let's calculate the molar mass of carbon dioxide (co 2): The molar mass and molecular weight of pb3(co3)2(oh)2 (basic lead carbonate). Lead Ii Carbonate Molar Mass.
From www.geeksforgeeks.org
Molar Mass Definition, Formula, Unit, Examples, FAQs Lead Ii Carbonate Molar Mass Molar mass, molecular weight and elemental composition calculator enter a chemical formula to calculate its molar mass and elemental. Carbon (c) has an atomic mass of about 12.01 amu. Let's calculate the molar mass of carbon dioxide (co 2): This does not mean there are two atoms, but two types of atoms, so al 2 s 3 is a. Binary. Lead Ii Carbonate Molar Mass.
From www.slideserve.com
PPT Molar Mass and Formulas PowerPoint Presentation, free download Lead Ii Carbonate Molar Mass Let's calculate the molar mass of carbon dioxide (co 2): Carbon (c) has an atomic mass of about 12.01 amu. Molar mass, molecular weight and elemental composition calculator enter a chemical formula to calculate its molar mass and elemental. The molar mass and molecular weight of pb3(co3)2(oh)2 (basic lead carbonate) is 775.632. This does not mean there are two atoms,. Lead Ii Carbonate Molar Mass.
From www.slideserve.com
PPT Chapter 7 PowerPoint Presentation, free download ID4569985 Lead Ii Carbonate Molar Mass The molar mass and molecular weight of pb3(co3)2(oh)2 (basic lead carbonate) is 775.632. Carbon (c) has an atomic mass of about 12.01 amu. Let's calculate the molar mass of carbon dioxide (co 2): This does not mean there are two atoms, but two types of atoms, so al 2 s 3 is a. Molar mass, molecular weight and elemental composition. Lead Ii Carbonate Molar Mass.
From lab.honeywell.com
Lead(II) carbonate basic 11513 Honeywell Research Chemicals Lead Ii Carbonate Molar Mass Carbon (c) has an atomic mass of about 12.01 amu. The molar mass and molecular weight of pb3(co3)2(oh)2 (basic lead carbonate) is 775.632. Let's calculate the molar mass of carbon dioxide (co 2): This does not mean there are two atoms, but two types of atoms, so al 2 s 3 is a. Binary ionic compounds are between a metal. Lead Ii Carbonate Molar Mass.
From www.youtube.com
Molar Mass / Molecular Weight of CO2 Carbon dioxide YouTube Lead Ii Carbonate Molar Mass Binary ionic compounds are between a metal and nonmetal. Molar mass, molecular weight and elemental composition calculator enter a chemical formula to calculate its molar mass and elemental. This does not mean there are two atoms, but two types of atoms, so al 2 s 3 is a. Carbon (c) has an atomic mass of about 12.01 amu. Let's calculate. Lead Ii Carbonate Molar Mass.
From www.researchgate.net
The molar ratio between consumption of lead(II) mineral and oxidant Lead Ii Carbonate Molar Mass Molar mass, molecular weight and elemental composition calculator enter a chemical formula to calculate its molar mass and elemental. The molar mass and molecular weight of pb3(co3)2(oh)2 (basic lead carbonate) is 775.632. Let's calculate the molar mass of carbon dioxide (co 2): This does not mean there are two atoms, but two types of atoms, so al 2 s 3. Lead Ii Carbonate Molar Mass.
From martlabpro.com
Understanding Lead Acetate Molar Mass In 2023 MartLabPro Lead Ii Carbonate Molar Mass Let's calculate the molar mass of carbon dioxide (co 2): Binary ionic compounds are between a metal and nonmetal. This does not mean there are two atoms, but two types of atoms, so al 2 s 3 is a. Molar mass, molecular weight and elemental composition calculator enter a chemical formula to calculate its molar mass and elemental. The molar. Lead Ii Carbonate Molar Mass.
From askfilo.com
Q1. Calculate the molar mass of the following 1. Ammonium Carbonate 2. S.. Lead Ii Carbonate Molar Mass Carbon (c) has an atomic mass of about 12.01 amu. Let's calculate the molar mass of carbon dioxide (co 2): Molar mass, molecular weight and elemental composition calculator enter a chemical formula to calculate its molar mass and elemental. This does not mean there are two atoms, but two types of atoms, so al 2 s 3 is a. The. Lead Ii Carbonate Molar Mass.
From www.chegg.com
Solved Solid Lead(II) carbonate is put into pure water and Lead Ii Carbonate Molar Mass Binary ionic compounds are between a metal and nonmetal. Carbon (c) has an atomic mass of about 12.01 amu. Molar mass, molecular weight and elemental composition calculator enter a chemical formula to calculate its molar mass and elemental. Let's calculate the molar mass of carbon dioxide (co 2): The molar mass and molecular weight of pb3(co3)2(oh)2 (basic lead carbonate) is. Lead Ii Carbonate Molar Mass.
From molekula.com
Purchase Lead(II) carbonate basic [1319466] online • Catalog Lead Ii Carbonate Molar Mass Let's calculate the molar mass of carbon dioxide (co 2): Carbon (c) has an atomic mass of about 12.01 amu. Molar mass, molecular weight and elemental composition calculator enter a chemical formula to calculate its molar mass and elemental. The molar mass and molecular weight of pb3(co3)2(oh)2 (basic lead carbonate) is 775.632. This does not mean there are two atoms,. Lead Ii Carbonate Molar Mass.
From www.wikihow.com
3 Ways to Calculate Molar Mass wikiHow Lead Ii Carbonate Molar Mass Binary ionic compounds are between a metal and nonmetal. This does not mean there are two atoms, but two types of atoms, so al 2 s 3 is a. Molar mass, molecular weight and elemental composition calculator enter a chemical formula to calculate its molar mass and elemental. The molar mass and molecular weight of pb3(co3)2(oh)2 (basic lead carbonate) is. Lead Ii Carbonate Molar Mass.
From www.youtube.com
How To Calculate The Molar Mass of a Compound Quick & Easy! YouTube Lead Ii Carbonate Molar Mass Let's calculate the molar mass of carbon dioxide (co 2): Carbon (c) has an atomic mass of about 12.01 amu. The molar mass and molecular weight of pb3(co3)2(oh)2 (basic lead carbonate) is 775.632. Binary ionic compounds are between a metal and nonmetal. Molar mass, molecular weight and elemental composition calculator enter a chemical formula to calculate its molar mass and. Lead Ii Carbonate Molar Mass.
From www.slideserve.com
PPT Entry Task Block 1 Feb 1 st 2 nd Block 2 PowerPoint Lead Ii Carbonate Molar Mass Molar mass, molecular weight and elemental composition calculator enter a chemical formula to calculate its molar mass and elemental. Binary ionic compounds are between a metal and nonmetal. The molar mass and molecular weight of pb3(co3)2(oh)2 (basic lead carbonate) is 775.632. This does not mean there are two atoms, but two types of atoms, so al 2 s 3 is. Lead Ii Carbonate Molar Mass.
From www.thermofisher.com
Lead(II) carbonate, ACS reagent, Thermo Scientific™ Lead Ii Carbonate Molar Mass This does not mean there are two atoms, but two types of atoms, so al 2 s 3 is a. Carbon (c) has an atomic mass of about 12.01 amu. The molar mass and molecular weight of pb3(co3)2(oh)2 (basic lead carbonate) is 775.632. Let's calculate the molar mass of carbon dioxide (co 2): Molar mass, molecular weight and elemental composition. Lead Ii Carbonate Molar Mass.
From www.sciencephoto.com
Lead (II) carbonate precipitate Stock Image C030/7202 Science Lead Ii Carbonate Molar Mass Molar mass, molecular weight and elemental composition calculator enter a chemical formula to calculate its molar mass and elemental. Carbon (c) has an atomic mass of about 12.01 amu. Let's calculate the molar mass of carbon dioxide (co 2): The molar mass and molecular weight of pb3(co3)2(oh)2 (basic lead carbonate) is 775.632. Binary ionic compounds are between a metal and. Lead Ii Carbonate Molar Mass.
From www.youtube.com
How to Calculate the Molar Mass of PbCO3 Lead (II) carbonate YouTube Lead Ii Carbonate Molar Mass Let's calculate the molar mass of carbon dioxide (co 2): This does not mean there are two atoms, but two types of atoms, so al 2 s 3 is a. Binary ionic compounds are between a metal and nonmetal. Molar mass, molecular weight and elemental composition calculator enter a chemical formula to calculate its molar mass and elemental. Carbon (c). Lead Ii Carbonate Molar Mass.
From daniellalauryn.blogspot.com
47+ calculate the molar mass of ammonium carbonate DaniellaLauryn Lead Ii Carbonate Molar Mass Molar mass, molecular weight and elemental composition calculator enter a chemical formula to calculate its molar mass and elemental. Let's calculate the molar mass of carbon dioxide (co 2): The molar mass and molecular weight of pb3(co3)2(oh)2 (basic lead carbonate) is 775.632. This does not mean there are two atoms, but two types of atoms, so al 2 s 3. Lead Ii Carbonate Molar Mass.
From daniellalauryn.blogspot.com
47+ calculate the molar mass of ammonium carbonate DaniellaLauryn Lead Ii Carbonate Molar Mass Carbon (c) has an atomic mass of about 12.01 amu. Let's calculate the molar mass of carbon dioxide (co 2): The molar mass and molecular weight of pb3(co3)2(oh)2 (basic lead carbonate) is 775.632. This does not mean there are two atoms, but two types of atoms, so al 2 s 3 is a. Molar mass, molecular weight and elemental composition. Lead Ii Carbonate Molar Mass.
From www.youtube.com
How to find the molecular mass of PbCO3 (Lead (II) Carbonate) YouTube Lead Ii Carbonate Molar Mass The molar mass and molecular weight of pb3(co3)2(oh)2 (basic lead carbonate) is 775.632. Carbon (c) has an atomic mass of about 12.01 amu. This does not mean there are two atoms, but two types of atoms, so al 2 s 3 is a. Let's calculate the molar mass of carbon dioxide (co 2): Molar mass, molecular weight and elemental composition. Lead Ii Carbonate Molar Mass.
From fetishapo.weebly.com
Carbon molar mass fetishapo Lead Ii Carbonate Molar Mass Binary ionic compounds are between a metal and nonmetal. The molar mass and molecular weight of pb3(co3)2(oh)2 (basic lead carbonate) is 775.632. This does not mean there are two atoms, but two types of atoms, so al 2 s 3 is a. Molar mass, molecular weight and elemental composition calculator enter a chemical formula to calculate its molar mass and. Lead Ii Carbonate Molar Mass.
From www.chegg.com
Solved Lead (II) carbonate, PbCO3, despite its toxicity, has Lead Ii Carbonate Molar Mass Let's calculate the molar mass of carbon dioxide (co 2): Carbon (c) has an atomic mass of about 12.01 amu. Molar mass, molecular weight and elemental composition calculator enter a chemical formula to calculate its molar mass and elemental. This does not mean there are two atoms, but two types of atoms, so al 2 s 3 is a. The. Lead Ii Carbonate Molar Mass.
From www.teachoo.com
Molar Mass Definition, Formula [with Examples] Concepts Lead Ii Carbonate Molar Mass Molar mass, molecular weight and elemental composition calculator enter a chemical formula to calculate its molar mass and elemental. The molar mass and molecular weight of pb3(co3)2(oh)2 (basic lead carbonate) is 775.632. Carbon (c) has an atomic mass of about 12.01 amu. Let's calculate the molar mass of carbon dioxide (co 2): Binary ionic compounds are between a metal and. Lead Ii Carbonate Molar Mass.
From martlabpro.com
Understanding Lead Acetate Molar Mass In 2023 MartLabPro Lead Ii Carbonate Molar Mass Let's calculate the molar mass of carbon dioxide (co 2): The molar mass and molecular weight of pb3(co3)2(oh)2 (basic lead carbonate) is 775.632. Molar mass, molecular weight and elemental composition calculator enter a chemical formula to calculate its molar mass and elemental. Binary ionic compounds are between a metal and nonmetal. This does not mean there are two atoms, but. Lead Ii Carbonate Molar Mass.
From www.t3db.ca
T3DB Lead carbonate Lead Ii Carbonate Molar Mass The molar mass and molecular weight of pb3(co3)2(oh)2 (basic lead carbonate) is 775.632. Carbon (c) has an atomic mass of about 12.01 amu. Let's calculate the molar mass of carbon dioxide (co 2): Binary ionic compounds are between a metal and nonmetal. Molar mass, molecular weight and elemental composition calculator enter a chemical formula to calculate its molar mass and. Lead Ii Carbonate Molar Mass.
From www.wikiwand.com
Lead carbonate Wikiwand Lead Ii Carbonate Molar Mass Binary ionic compounds are between a metal and nonmetal. The molar mass and molecular weight of pb3(co3)2(oh)2 (basic lead carbonate) is 775.632. Let's calculate the molar mass of carbon dioxide (co 2): Molar mass, molecular weight and elemental composition calculator enter a chemical formula to calculate its molar mass and elemental. This does not mean there are two atoms, but. Lead Ii Carbonate Molar Mass.
From www.biosynth.com
FL161479 1319466 Lead(II) carbonate basic Lead Ii Carbonate Molar Mass Let's calculate the molar mass of carbon dioxide (co 2): Molar mass, molecular weight and elemental composition calculator enter a chemical formula to calculate its molar mass and elemental. Binary ionic compounds are between a metal and nonmetal. This does not mean there are two atoms, but two types of atoms, so al 2 s 3 is a. Carbon (c). Lead Ii Carbonate Molar Mass.
From daniellalauryn.blogspot.com
47+ calculate the molar mass of ammonium carbonate DaniellaLauryn Lead Ii Carbonate Molar Mass Carbon (c) has an atomic mass of about 12.01 amu. Binary ionic compounds are between a metal and nonmetal. Molar mass, molecular weight and elemental composition calculator enter a chemical formula to calculate its molar mass and elemental. This does not mean there are two atoms, but two types of atoms, so al 2 s 3 is a. The molar. Lead Ii Carbonate Molar Mass.
From www.youtube.com
How to write the equation for PbCO3 + H2O Lead (II) carbonate + Water Lead Ii Carbonate Molar Mass Let's calculate the molar mass of carbon dioxide (co 2): This does not mean there are two atoms, but two types of atoms, so al 2 s 3 is a. Carbon (c) has an atomic mass of about 12.01 amu. Molar mass, molecular weight and elemental composition calculator enter a chemical formula to calculate its molar mass and elemental. The. Lead Ii Carbonate Molar Mass.
From www.numerade.com
SOLVEDAt 25^∘ C, what is the solubility of lead(II) carbonate in water Lead Ii Carbonate Molar Mass This does not mean there are two atoms, but two types of atoms, so al 2 s 3 is a. Carbon (c) has an atomic mass of about 12.01 amu. Let's calculate the molar mass of carbon dioxide (co 2): The molar mass and molecular weight of pb3(co3)2(oh)2 (basic lead carbonate) is 775.632. Molar mass, molecular weight and elemental composition. Lead Ii Carbonate Molar Mass.
From www.numerade.com
Lead (II) carbonate to form lead (II) oxide and carbon Lead Ii Carbonate Molar Mass This does not mean there are two atoms, but two types of atoms, so al 2 s 3 is a. Molar mass, molecular weight and elemental composition calculator enter a chemical formula to calculate its molar mass and elemental. Carbon (c) has an atomic mass of about 12.01 amu. Binary ionic compounds are between a metal and nonmetal. The molar. Lead Ii Carbonate Molar Mass.
From www.youtube.com
How to Write the Formula for Lead (II) carbonate YouTube Lead Ii Carbonate Molar Mass Carbon (c) has an atomic mass of about 12.01 amu. Molar mass, molecular weight and elemental composition calculator enter a chemical formula to calculate its molar mass and elemental. Let's calculate the molar mass of carbon dioxide (co 2): The molar mass and molecular weight of pb3(co3)2(oh)2 (basic lead carbonate) is 775.632. Binary ionic compounds are between a metal and. Lead Ii Carbonate Molar Mass.
From www.fishersci.ca
Lead(II) carbonate, ACS, Thermo Scientific Chemicals Fisher Scientific Lead Ii Carbonate Molar Mass This does not mean there are two atoms, but two types of atoms, so al 2 s 3 is a. The molar mass and molecular weight of pb3(co3)2(oh)2 (basic lead carbonate) is 775.632. Carbon (c) has an atomic mass of about 12.01 amu. Molar mass, molecular weight and elemental composition calculator enter a chemical formula to calculate its molar mass. Lead Ii Carbonate Molar Mass.
From cabalnetworknews.blogspot.com
Lead(II) Carbonate PbCO3 Molecular Weight EndMemo Current News Lead Ii Carbonate Molar Mass Binary ionic compounds are between a metal and nonmetal. The molar mass and molecular weight of pb3(co3)2(oh)2 (basic lead carbonate) is 775.632. Molar mass, molecular weight and elemental composition calculator enter a chemical formula to calculate its molar mass and elemental. This does not mean there are two atoms, but two types of atoms, so al 2 s 3 is. Lead Ii Carbonate Molar Mass.
From www.ottokemi.com
Lead(II) carbonate Lead carbonate, GR 99+ 598630 Lead Lead Ii Carbonate Molar Mass Let's calculate the molar mass of carbon dioxide (co 2): Binary ionic compounds are between a metal and nonmetal. Carbon (c) has an atomic mass of about 12.01 amu. This does not mean there are two atoms, but two types of atoms, so al 2 s 3 is a. The molar mass and molecular weight of pb3(co3)2(oh)2 (basic lead carbonate). Lead Ii Carbonate Molar Mass.