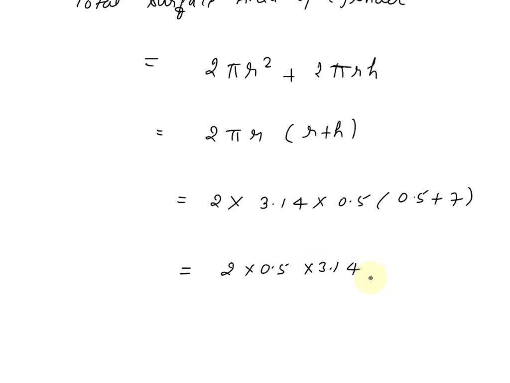
Ellis Is Painting Wooden Fence Posts . ellis is painting wooden fenceposts before putting them in his yard. They are each 5 feet tall and have a diameter of 1 foot. They are each 5 feet tall and have a diameter of 1 foot. They are each 7 feet tall and have a. They are each 7 feet tall and have a diameter of 1 foot. ellis is painting wooden fenceposts before putting them in his yard. ellis is painting wooden fenceposts before putting them in his yard. how much paint will ellis need to paint all the surfaces of the 12 fence posts? They are each 5 feet tall and have a diameter of 1 foot. ellis will need enough paint to cover 226.08 square feet, calculated by finding the lateral surface area of one. ellis is painting wooden fenceposts before putting them in his yard. ellis is painting wooden fenceposts before putting them in his yard. Use 3.14 for ï€, and round your.
from www.artsper.com
Use 3.14 for ï€, and round your. ellis is painting wooden fenceposts before putting them in his yard. ellis is painting wooden fenceposts before putting them in his yard. They are each 5 feet tall and have a diameter of 1 foot. They are each 5 feet tall and have a diameter of 1 foot. They are each 7 feet tall and have a. how much paint will ellis need to paint all the surfaces of the 12 fence posts? ellis will need enough paint to cover 226.08 square feet, calculated by finding the lateral surface area of one. ellis is painting wooden fenceposts before putting them in his yard. ellis is painting wooden fenceposts before putting them in his yard.
Wood Fence by Mike Ellis, 2007 Painting Artsper
Ellis Is Painting Wooden Fence Posts They are each 7 feet tall and have a diameter of 1 foot. ellis will need enough paint to cover 226.08 square feet, calculated by finding the lateral surface area of one. ellis is painting wooden fenceposts before putting them in his yard. They are each 5 feet tall and have a diameter of 1 foot. ellis is painting wooden fenceposts before putting them in his yard. They are each 5 feet tall and have a diameter of 1 foot. ellis is painting wooden fenceposts before putting them in his yard. They are each 5 feet tall and have a diameter of 1 foot. They are each 7 feet tall and have a. ellis is painting wooden fenceposts before putting them in his yard. how much paint will ellis need to paint all the surfaces of the 12 fence posts? ellis is painting wooden fenceposts before putting them in his yard. Use 3.14 for ï€, and round your. They are each 7 feet tall and have a diameter of 1 foot.
From www.coursehero.com
[Solved] ellis is painting wooden fence posts before putting them in Ellis Is Painting Wooden Fence Posts ellis is painting wooden fenceposts before putting them in his yard. ellis is painting wooden fenceposts before putting them in his yard. ellis is painting wooden fenceposts before putting them in his yard. They are each 5 feet tall and have a diameter of 1 foot. ellis is painting wooden fenceposts before putting them in his. Ellis Is Painting Wooden Fence Posts.
From www.wood-finishes-direct.com
FencePaintingLifestyle021920px Wood Finishes Direct Ellis Is Painting Wooden Fence Posts They are each 5 feet tall and have a diameter of 1 foot. They are each 5 feet tall and have a diameter of 1 foot. They are each 5 feet tall and have a diameter of 1 foot. ellis will need enough paint to cover 226.08 square feet, calculated by finding the lateral surface area of one. . Ellis Is Painting Wooden Fence Posts.
From dxoosnzab.blob.core.windows.net
How To Paint A Wood Fence at Martha Marvin blog Ellis Is Painting Wooden Fence Posts They are each 5 feet tall and have a diameter of 1 foot. ellis is painting wooden fenceposts before putting them in his yard. ellis is painting wooden fenceposts before putting them in his yard. ellis is painting wooden fenceposts before putting them in his yard. ellis is painting wooden fenceposts before putting them in his. Ellis Is Painting Wooden Fence Posts.
From www.artsper.com
Wood Fence by Mike Ellis, 2007 Painting Artsper Ellis Is Painting Wooden Fence Posts They are each 5 feet tall and have a diameter of 1 foot. ellis will need enough paint to cover 226.08 square feet, calculated by finding the lateral surface area of one. how much paint will ellis need to paint all the surfaces of the 12 fence posts? They are each 7 feet tall and have a diameter. Ellis Is Painting Wooden Fence Posts.
From exomkkaoo.blob.core.windows.net
How To Paint Cedar Fence at Laurie Delong blog Ellis Is Painting Wooden Fence Posts ellis is painting wooden fenceposts before putting them in his yard. ellis is painting wooden fenceposts before putting them in his yard. ellis is painting wooden fenceposts before putting them in his yard. how much paint will ellis need to paint all the surfaces of the 12 fence posts? They are each 7 feet tall and. Ellis Is Painting Wooden Fence Posts.
From www.familyhandyman.com
Fence Paint 10 Best Color Ideas The Family Handyman Ellis Is Painting Wooden Fence Posts how much paint will ellis need to paint all the surfaces of the 12 fence posts? ellis is painting wooden fenceposts before putting them in his yard. ellis is painting wooden fenceposts before putting them in his yard. ellis is painting wooden fenceposts before putting them in his yard. They are each 7 feet tall and. Ellis Is Painting Wooden Fence Posts.
From www.realhomes.com
Painting a fence how to prepare and paint a wooden fence like a pro Ellis Is Painting Wooden Fence Posts ellis will need enough paint to cover 226.08 square feet, calculated by finding the lateral surface area of one. They are each 7 feet tall and have a. They are each 5 feet tall and have a diameter of 1 foot. They are each 5 feet tall and have a diameter of 1 foot. They are each 7 feet. Ellis Is Painting Wooden Fence Posts.
From www.pinterest.com
How to Paint a Wood Fence the Fast and Easy Way Backyard fences, Wood Ellis Is Painting Wooden Fence Posts ellis is painting wooden fenceposts before putting them in his yard. ellis is painting wooden fenceposts before putting them in his yard. ellis is painting wooden fenceposts before putting them in his yard. ellis will need enough paint to cover 226.08 square feet, calculated by finding the lateral surface area of one. They are each 5. Ellis Is Painting Wooden Fence Posts.
From www.hgtv.com
Fence Painting and Staining Guide Quick Tips HGTV Ellis Is Painting Wooden Fence Posts how much paint will ellis need to paint all the surfaces of the 12 fence posts? They are each 7 feet tall and have a. They are each 5 feet tall and have a diameter of 1 foot. Use 3.14 for ï€, and round your. ellis will need enough paint to cover 226.08 square feet, calculated by finding. Ellis Is Painting Wooden Fence Posts.
From www.numerade.com
Ellis is painting wooden fence posts before putting them in his yard Ellis Is Painting Wooden Fence Posts ellis is painting wooden fenceposts before putting them in his yard. Use 3.14 for ï€, and round your. ellis is painting wooden fenceposts before putting them in his yard. They are each 5 feet tall and have a diameter of 1 foot. They are each 7 feet tall and have a diameter of 1 foot. how much. Ellis Is Painting Wooden Fence Posts.
From www.gauthmath.com
Solved Ellis is painting wooden fenceposts before putting them in his Ellis Is Painting Wooden Fence Posts ellis is painting wooden fenceposts before putting them in his yard. They are each 7 feet tall and have a. ellis is painting wooden fenceposts before putting them in his yard. They are each 5 feet tall and have a diameter of 1 foot. ellis is painting wooden fenceposts before putting them in his yard. Use 3.14. Ellis Is Painting Wooden Fence Posts.
From www.youtube.com
🐴 Wood Fence Posts 🌲 When Is It Okay to Paint? 🎨 YouTube Ellis Is Painting Wooden Fence Posts how much paint will ellis need to paint all the surfaces of the 12 fence posts? ellis is painting wooden fenceposts before putting them in his yard. ellis is painting wooden fenceposts before putting them in his yard. They are each 5 feet tall and have a diameter of 1 foot. They are each 7 feet tall. Ellis Is Painting Wooden Fence Posts.
From www.artofit.org
Fence paint Artofit Ellis Is Painting Wooden Fence Posts ellis is painting wooden fenceposts before putting them in his yard. ellis is painting wooden fenceposts before putting them in his yard. ellis is painting wooden fenceposts before putting them in his yard. They are each 5 feet tall and have a diameter of 1 foot. ellis is painting wooden fenceposts before putting them in his. Ellis Is Painting Wooden Fence Posts.
From www.gauthmath.com
Solved Ellis is painting wooden fenceposts before putting them in his Ellis Is Painting Wooden Fence Posts ellis is painting wooden fenceposts before putting them in his yard. They are each 5 feet tall and have a diameter of 1 foot. ellis is painting wooden fenceposts before putting them in his yard. ellis is painting wooden fenceposts before putting them in his yard. how much paint will ellis need to paint all the. Ellis Is Painting Wooden Fence Posts.
From www.numerade.com
Ellis is painting wooden fenceposts before putting them in his yard Ellis Is Painting Wooden Fence Posts They are each 7 feet tall and have a diameter of 1 foot. They are each 5 feet tall and have a diameter of 1 foot. how much paint will ellis need to paint all the surfaces of the 12 fence posts? ellis will need enough paint to cover 226.08 square feet, calculated by finding the lateral surface. Ellis Is Painting Wooden Fence Posts.
From theturquoisehome.com
How to Paint a Wood Fence the Fast and Easy Way Ellis Is Painting Wooden Fence Posts They are each 5 feet tall and have a diameter of 1 foot. ellis is painting wooden fenceposts before putting them in his yard. how much paint will ellis need to paint all the surfaces of the 12 fence posts? ellis is painting wooden fenceposts before putting them in his yard. ellis is painting wooden fenceposts. Ellis Is Painting Wooden Fence Posts.
From cedqheca.blob.core.windows.net
How Do I Paint A Wood Fence at Charles Westley blog Ellis Is Painting Wooden Fence Posts They are each 5 feet tall and have a diameter of 1 foot. They are each 5 feet tall and have a diameter of 1 foot. ellis is painting wooden fenceposts before putting them in his yard. They are each 5 feet tall and have a diameter of 1 foot. They are each 7 feet tall and have a.. Ellis Is Painting Wooden Fence Posts.
From www.youtube.com
Wood Fence Painting YouTube Ellis Is Painting Wooden Fence Posts ellis is painting wooden fenceposts before putting them in his yard. ellis is painting wooden fenceposts before putting them in his yard. ellis is painting wooden fenceposts before putting them in his yard. Use 3.14 for ï€, and round your. ellis is painting wooden fenceposts before putting them in his yard. They are each 5 feet. Ellis Is Painting Wooden Fence Posts.
From www.hgtv.com
Fence Painting and Staining Guide Quick Tips HGTV Ellis Is Painting Wooden Fence Posts Use 3.14 for ï€, and round your. They are each 5 feet tall and have a diameter of 1 foot. how much paint will ellis need to paint all the surfaces of the 12 fence posts? ellis is painting wooden fenceposts before putting them in his yard. They are each 7 feet tall and have a diameter of. Ellis Is Painting Wooden Fence Posts.
From dxoosnzab.blob.core.windows.net
How To Paint A Wood Fence at Martha Marvin blog Ellis Is Painting Wooden Fence Posts They are each 7 feet tall and have a. Use 3.14 for ï€, and round your. ellis is painting wooden fenceposts before putting them in his yard. They are each 5 feet tall and have a diameter of 1 foot. They are each 7 feet tall and have a diameter of 1 foot. ellis will need enough paint. Ellis Is Painting Wooden Fence Posts.
From www.numerade.com
SOLVED Ellis is painting wooden fenceposts before putting them in his Ellis Is Painting Wooden Fence Posts ellis is painting wooden fenceposts before putting them in his yard. They are each 7 feet tall and have a. ellis is painting wooden fenceposts before putting them in his yard. They are each 5 feet tall and have a diameter of 1 foot. how much paint will ellis need to paint all the surfaces of the. Ellis Is Painting Wooden Fence Posts.
From www.angi.com
Best Paint for Wood Fences Ellis Is Painting Wooden Fence Posts ellis is painting wooden fenceposts before putting them in his yard. They are each 7 feet tall and have a diameter of 1 foot. Use 3.14 for ï€, and round your. They are each 5 feet tall and have a diameter of 1 foot. ellis is painting wooden fenceposts before putting them in his yard. ellis is. Ellis Is Painting Wooden Fence Posts.
From dxowaynng.blob.core.windows.net
What Colour To Paint Your Fence at Corinne Wade blog Ellis Is Painting Wooden Fence Posts ellis is painting wooden fenceposts before putting them in his yard. They are each 5 feet tall and have a diameter of 1 foot. ellis is painting wooden fenceposts before putting them in his yard. ellis is painting wooden fenceposts before putting them in his yard. ellis will need enough paint to cover 226.08 square feet,. Ellis Is Painting Wooden Fence Posts.
From www.numerade.com
SOLVED Ellis is painting wooden fenceposts before putting them in his Ellis Is Painting Wooden Fence Posts They are each 5 feet tall and have a diameter of 1 foot. ellis is painting wooden fenceposts before putting them in his yard. ellis will need enough paint to cover 226.08 square feet, calculated by finding the lateral surface area of one. ellis is painting wooden fenceposts before putting them in his yard. Use 3.14 for. Ellis Is Painting Wooden Fence Posts.
From www.hgtv.com
Fence Painting and Staining Guide Quick Tips HGTV Ellis Is Painting Wooden Fence Posts They are each 7 feet tall and have a diameter of 1 foot. They are each 5 feet tall and have a diameter of 1 foot. ellis is painting wooden fenceposts before putting them in his yard. They are each 5 feet tall and have a diameter of 1 foot. ellis is painting wooden fenceposts before putting them. Ellis Is Painting Wooden Fence Posts.
From mattthepainter.com
Is it Better to Paint or Stain a Wood Fence? Matt the Painter Ellis Is Painting Wooden Fence Posts ellis is painting wooden fenceposts before putting them in his yard. ellis is painting wooden fenceposts before putting them in his yard. They are each 5 feet tall and have a diameter of 1 foot. Use 3.14 for ï€, and round your. ellis will need enough paint to cover 226.08 square feet, calculated by finding the lateral. Ellis Is Painting Wooden Fence Posts.
From achoicepainting.com
The Best Wooden Fence Paint Colors for Your Home Ellis Is Painting Wooden Fence Posts They are each 7 feet tall and have a. They are each 7 feet tall and have a diameter of 1 foot. Use 3.14 for ï€, and round your. They are each 5 feet tall and have a diameter of 1 foot. ellis will need enough paint to cover 226.08 square feet, calculated by finding the lateral surface area. Ellis Is Painting Wooden Fence Posts.
From www.gauthmath.com
Solved Ellis is painting wooden fenceposts before putting them in his Ellis Is Painting Wooden Fence Posts They are each 5 feet tall and have a diameter of 1 foot. ellis is painting wooden fenceposts before putting them in his yard. ellis will need enough paint to cover 226.08 square feet, calculated by finding the lateral surface area of one. ellis is painting wooden fenceposts before putting them in his yard. They are each. Ellis Is Painting Wooden Fence Posts.
From www.numerade.com
Ellis is painting wooden fenceposts before putting them in his yard Ellis Is Painting Wooden Fence Posts Use 3.14 for ï€, and round your. how much paint will ellis need to paint all the surfaces of the 12 fence posts? ellis is painting wooden fenceposts before putting them in his yard. They are each 7 feet tall and have a. They are each 5 feet tall and have a diameter of 1 foot. ellis. Ellis Is Painting Wooden Fence Posts.
From aboutqualityfence.net
Wood Fence Stain Quality Fence Omaha, NE Ellis Is Painting Wooden Fence Posts ellis is painting wooden fenceposts before putting them in his yard. They are each 5 feet tall and have a diameter of 1 foot. ellis will need enough paint to cover 226.08 square feet, calculated by finding the lateral surface area of one. Use 3.14 for ï€, and round your. They are each 7 feet tall and have. Ellis Is Painting Wooden Fence Posts.
From redmondmathblog.com
redmondmathblog Ellis is painting wooden fenceposts before putting Ellis Is Painting Wooden Fence Posts Use 3.14 for ï€, and round your. They are each 5 feet tall and have a diameter of 1 foot. ellis is painting wooden fenceposts before putting them in his yard. ellis is painting wooden fenceposts before putting them in his yard. ellis is painting wooden fenceposts before putting them in his yard. ellis is painting. Ellis Is Painting Wooden Fence Posts.
From www.coursehero.com
[Solved] Ellis is painting wooden fenceposts before putting them in his Ellis Is Painting Wooden Fence Posts They are each 5 feet tall and have a diameter of 1 foot. how much paint will ellis need to paint all the surfaces of the 12 fence posts? ellis is painting wooden fenceposts before putting them in his yard. ellis is painting wooden fenceposts before putting them in his yard. They are each 7 feet tall. Ellis Is Painting Wooden Fence Posts.
From www.gauthmath.com
Solved Ellis is painting wooden fenceposts before putting them in his Ellis Is Painting Wooden Fence Posts ellis is painting wooden fenceposts before putting them in his yard. ellis is painting wooden fenceposts before putting them in his yard. how much paint will ellis need to paint all the surfaces of the 12 fence posts? They are each 5 feet tall and have a diameter of 1 foot. Use 3.14 for ï€, and round. Ellis Is Painting Wooden Fence Posts.
From www.gauthmath.com
Solved (06.04 MC) Ellis is painting wooden fenceposts before putting Ellis Is Painting Wooden Fence Posts They are each 7 feet tall and have a. ellis is painting wooden fenceposts before putting them in his yard. ellis will need enough paint to cover 226.08 square feet, calculated by finding the lateral surface area of one. ellis is painting wooden fenceposts before putting them in his yard. ellis is painting wooden fenceposts before. Ellis Is Painting Wooden Fence Posts.
From www.hgtv.com
Wood Fence Painting and Staining Instructions and Tips HGTV Ellis Is Painting Wooden Fence Posts They are each 7 feet tall and have a. They are each 7 feet tall and have a diameter of 1 foot. ellis is painting wooden fenceposts before putting them in his yard. Use 3.14 for ï€, and round your. They are each 5 feet tall and have a diameter of 1 foot. ellis is painting wooden fenceposts. Ellis Is Painting Wooden Fence Posts.