Two Wires X And Y Have The Same Resistivity . the resistivity is a characteristic of the material used to fabricate a wire or other electrical component, whereas the. 3 and lengths in the ratio 1: the resistivity is a characteristic of the material used to fabricate a wire or other electrical component, whereas the resistance is a. since wire x has double the length and double the radius of wire y, its resistance is proportional to (2 * 2) / (2 *. They are first connected in series and.
from www.toppr.com
the resistivity is a characteristic of the material used to fabricate a wire or other electrical component, whereas the resistance is a. 3 and lengths in the ratio 1: the resistivity is a characteristic of the material used to fabricate a wire or other electrical component, whereas the. They are first connected in series and. since wire x has double the length and double the radius of wire y, its resistance is proportional to (2 * 2) / (2 *.
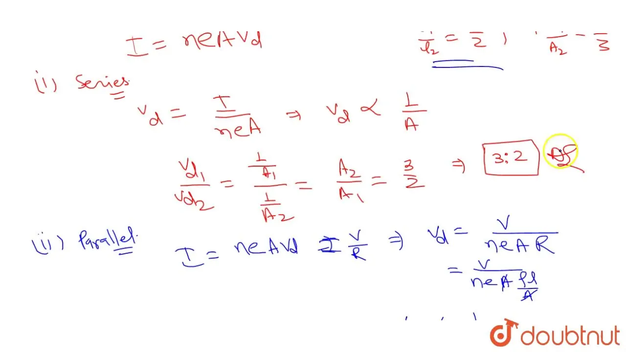
Two wires X and Y have the same resistivity but their cross sectional
Two Wires X And Y Have The Same Resistivity since wire x has double the length and double the radius of wire y, its resistance is proportional to (2 * 2) / (2 *. since wire x has double the length and double the radius of wire y, its resistance is proportional to (2 * 2) / (2 *. the resistivity is a characteristic of the material used to fabricate a wire or other electrical component, whereas the resistance is a. They are first connected in series and. the resistivity is a characteristic of the material used to fabricate a wire or other electrical component, whereas the. 3 and lengths in the ratio 1:
From www.meritnation.com
TWO WIRES OF EQUAL LENGTH MADE OF MATERIALS OF RESISTIVITY RATIO 12 Two Wires X And Y Have The Same Resistivity They are first connected in series and. the resistivity is a characteristic of the material used to fabricate a wire or other electrical component, whereas the resistance is a. 3 and lengths in the ratio 1: since wire x has double the length and double the radius of wire y, its resistance is proportional to (2 * 2). Two Wires X And Y Have The Same Resistivity.
From www.toppr.com
Two wires X and Y have the same resistivity but their cross sectional Two Wires X And Y Have The Same Resistivity since wire x has double the length and double the radius of wire y, its resistance is proportional to (2 * 2) / (2 *. the resistivity is a characteristic of the material used to fabricate a wire or other electrical component, whereas the resistance is a. They are first connected in series and. 3 and lengths in. Two Wires X And Y Have The Same Resistivity.
From www.toppr.com
Two wires X. Y have the same resistivity, but their crosssectional Two Wires X And Y Have The Same Resistivity the resistivity is a characteristic of the material used to fabricate a wire or other electrical component, whereas the. since wire x has double the length and double the radius of wire y, its resistance is proportional to (2 * 2) / (2 *. 3 and lengths in the ratio 1: They are first connected in series and.. Two Wires X And Y Have The Same Resistivity.
From www.meritnation.com
Out of the two wires X and Y shown below , which one has greater Two Wires X And Y Have The Same Resistivity the resistivity is a characteristic of the material used to fabricate a wire or other electrical component, whereas the. the resistivity is a characteristic of the material used to fabricate a wire or other electrical component, whereas the resistance is a. 3 and lengths in the ratio 1: They are first connected in series and. since wire. Two Wires X And Y Have The Same Resistivity.
From www.meritnation.com
V1graph for two wires A and B are shown in the figure If both the Two Wires X And Y Have The Same Resistivity the resistivity is a characteristic of the material used to fabricate a wire or other electrical component, whereas the resistance is a. since wire x has double the length and double the radius of wire y, its resistance is proportional to (2 * 2) / (2 *. the resistivity is a characteristic of the material used to. Two Wires X And Y Have The Same Resistivity.
From www.toppr.com
Two wires X and Y have the same resistivity but their cross sectional Two Wires X And Y Have The Same Resistivity 3 and lengths in the ratio 1: They are first connected in series and. the resistivity is a characteristic of the material used to fabricate a wire or other electrical component, whereas the. since wire x has double the length and double the radius of wire y, its resistance is proportional to (2 * 2) / (2 *.. Two Wires X And Y Have The Same Resistivity.
From byjus.com
two long parallel wires are seperated by a dis†an ce of 8cm carry Two Wires X And Y Have The Same Resistivity since wire x has double the length and double the radius of wire y, its resistance is proportional to (2 * 2) / (2 *. 3 and lengths in the ratio 1: the resistivity is a characteristic of the material used to fabricate a wire or other electrical component, whereas the resistance is a. They are first connected. Two Wires X And Y Have The Same Resistivity.
From www.toppr.com
(2) Q6 Two metallic wires of the same material have the same length Two Wires X And Y Have The Same Resistivity the resistivity is a characteristic of the material used to fabricate a wire or other electrical component, whereas the. the resistivity is a characteristic of the material used to fabricate a wire or other electrical component, whereas the resistance is a. 3 and lengths in the ratio 1: since wire x has double the length and double. Two Wires X And Y Have The Same Resistivity.
From www.toppr.com
Two wires X and Y have the same resistivity but their cross sectional Two Wires X And Y Have The Same Resistivity They are first connected in series and. the resistivity is a characteristic of the material used to fabricate a wire or other electrical component, whereas the. the resistivity is a characteristic of the material used to fabricate a wire or other electrical component, whereas the resistance is a. 3 and lengths in the ratio 1: since wire. Two Wires X And Y Have The Same Resistivity.
From www.toppr.com
. Calculate the equivalent resistance of the given electrical network Two Wires X And Y Have The Same Resistivity the resistivity is a characteristic of the material used to fabricate a wire or other electrical component, whereas the. since wire x has double the length and double the radius of wire y, its resistance is proportional to (2 * 2) / (2 *. the resistivity is a characteristic of the material used to fabricate a wire. Two Wires X And Y Have The Same Resistivity.
From brainly.in
Out of two wires X and Y shown below , which one has greater Two Wires X And Y Have The Same Resistivity the resistivity is a characteristic of the material used to fabricate a wire or other electrical component, whereas the. They are first connected in series and. 3 and lengths in the ratio 1: since wire x has double the length and double the radius of wire y, its resistance is proportional to (2 * 2) / (2 *.. Two Wires X And Y Have The Same Resistivity.
From www.chegg.com
Solved 5. The two long parallel wires carry currents of 5.00 Two Wires X And Y Have The Same Resistivity the resistivity is a characteristic of the material used to fabricate a wire or other electrical component, whereas the resistance is a. They are first connected in series and. the resistivity is a characteristic of the material used to fabricate a wire or other electrical component, whereas the. since wire x has double the length and double. Two Wires X And Y Have The Same Resistivity.
From www.toppr.com
Two wires X and Y have the same resistivity but their cross sectional Two Wires X And Y Have The Same Resistivity the resistivity is a characteristic of the material used to fabricate a wire or other electrical component, whereas the resistance is a. the resistivity is a characteristic of the material used to fabricate a wire or other electrical component, whereas the. They are first connected in series and. since wire x has double the length and double. Two Wires X And Y Have The Same Resistivity.
From www.doubtnut.com
Given the simple electrical circuit above if the current in all t Two Wires X And Y Have The Same Resistivity since wire x has double the length and double the radius of wire y, its resistance is proportional to (2 * 2) / (2 *. the resistivity is a characteristic of the material used to fabricate a wire or other electrical component, whereas the resistance is a. They are first connected in series and. 3 and lengths in. Two Wires X And Y Have The Same Resistivity.
From www.doubtnut.com
The voltgecurrent variarton of two metallic wires X and Y at constant Two Wires X And Y Have The Same Resistivity 3 and lengths in the ratio 1: the resistivity is a characteristic of the material used to fabricate a wire or other electrical component, whereas the resistance is a. the resistivity is a characteristic of the material used to fabricate a wire or other electrical component, whereas the. They are first connected in series and. since wire. Two Wires X And Y Have The Same Resistivity.
From www.numerade.com
SOLVED Out of the two wires X and Y shown below, which one has greater Two Wires X And Y Have The Same Resistivity the resistivity is a characteristic of the material used to fabricate a wire or other electrical component, whereas the. They are first connected in series and. the resistivity is a characteristic of the material used to fabricate a wire or other electrical component, whereas the resistance is a. 3 and lengths in the ratio 1: since wire. Two Wires X And Y Have The Same Resistivity.
From www.doubtnut.com
Given the simple electrical circuit above if the current in all t Two Wires X And Y Have The Same Resistivity 3 and lengths in the ratio 1: since wire x has double the length and double the radius of wire y, its resistance is proportional to (2 * 2) / (2 *. the resistivity is a characteristic of the material used to fabricate a wire or other electrical component, whereas the. the resistivity is a characteristic of. Two Wires X And Y Have The Same Resistivity.
From brainly.in
Two wires X and Y are of equal length and have equal resistances. If Two Wires X And Y Have The Same Resistivity the resistivity is a characteristic of the material used to fabricate a wire or other electrical component, whereas the resistance is a. since wire x has double the length and double the radius of wire y, its resistance is proportional to (2 * 2) / (2 *. the resistivity is a characteristic of the material used to. Two Wires X And Y Have The Same Resistivity.
From www.toppr.com
2/3 MARKS QUESTIONS 01. Two metallic wires of the same materials have Two Wires X And Y Have The Same Resistivity They are first connected in series and. 3 and lengths in the ratio 1: the resistivity is a characteristic of the material used to fabricate a wire or other electrical component, whereas the. since wire x has double the length and double the radius of wire y, its resistance is proportional to (2 * 2) / (2 *.. Two Wires X And Y Have The Same Resistivity.
From www.toppr.com
Two wires X and Y have the same resistivity but their cross sectional Two Wires X And Y Have The Same Resistivity the resistivity is a characteristic of the material used to fabricate a wire or other electrical component, whereas the resistance is a. 3 and lengths in the ratio 1: since wire x has double the length and double the radius of wire y, its resistance is proportional to (2 * 2) / (2 *. They are first connected. Two Wires X And Y Have The Same Resistivity.
From www.youtube.com
20143MarksVI graph for two wires A and B are shown in the figure Two Wires X And Y Have The Same Resistivity the resistivity is a characteristic of the material used to fabricate a wire or other electrical component, whereas the. 3 and lengths in the ratio 1: since wire x has double the length and double the radius of wire y, its resistance is proportional to (2 * 2) / (2 *. the resistivity is a characteristic of. Two Wires X And Y Have The Same Resistivity.
From www.doubtnut.com
Two wires X,Y have the same resistivity, but their crosssectional are Two Wires X And Y Have The Same Resistivity the resistivity is a characteristic of the material used to fabricate a wire or other electrical component, whereas the. They are first connected in series and. since wire x has double the length and double the radius of wire y, its resistance is proportional to (2 * 2) / (2 *. 3 and lengths in the ratio 1:. Two Wires X And Y Have The Same Resistivity.
From www.toppr.com
Two wires X and Y have the same resistivity but their cross sectional Two Wires X And Y Have The Same Resistivity They are first connected in series and. the resistivity is a characteristic of the material used to fabricate a wire or other electrical component, whereas the. the resistivity is a characteristic of the material used to fabricate a wire or other electrical component, whereas the resistance is a. 3 and lengths in the ratio 1: since wire. Two Wires X And Y Have The Same Resistivity.
From brainly.in
two conducting wires x and y of same diameter but different materials Two Wires X And Y Have The Same Resistivity the resistivity is a characteristic of the material used to fabricate a wire or other electrical component, whereas the resistance is a. They are first connected in series and. the resistivity is a characteristic of the material used to fabricate a wire or other electrical component, whereas the. since wire x has double the length and double. Two Wires X And Y Have The Same Resistivity.
From www.meritnation.com
Two wires of same metal have same length, but their cross sectional Two Wires X And Y Have The Same Resistivity the resistivity is a characteristic of the material used to fabricate a wire or other electrical component, whereas the resistance is a. 3 and lengths in the ratio 1: since wire x has double the length and double the radius of wire y, its resistance is proportional to (2 * 2) / (2 *. They are first connected. Two Wires X And Y Have The Same Resistivity.
From byjus.com
121.Two copper wires have the same length but the second has diameter Two Wires X And Y Have The Same Resistivity 3 and lengths in the ratio 1: since wire x has double the length and double the radius of wire y, its resistance is proportional to (2 * 2) / (2 *. the resistivity is a characteristic of the material used to fabricate a wire or other electrical component, whereas the resistance is a. the resistivity is. Two Wires X And Y Have The Same Resistivity.
From askfilo.com
We have two wires X and Y of the same length and same material. The radiu.. Two Wires X And Y Have The Same Resistivity the resistivity is a characteristic of the material used to fabricate a wire or other electrical component, whereas the. since wire x has double the length and double the radius of wire y, its resistance is proportional to (2 * 2) / (2 *. 3 and lengths in the ratio 1: They are first connected in series and.. Two Wires X And Y Have The Same Resistivity.
From www.toppr.com
Two wires X. Y have the same resistivity, but their crosssectional Two Wires X And Y Have The Same Resistivity 3 and lengths in the ratio 1: They are first connected in series and. since wire x has double the length and double the radius of wire y, its resistance is proportional to (2 * 2) / (2 *. the resistivity is a characteristic of the material used to fabricate a wire or other electrical component, whereas the.. Two Wires X And Y Have The Same Resistivity.
From www.toppr.com
Two wires X and Y have the same resistivity but their cross sectional Two Wires X And Y Have The Same Resistivity 3 and lengths in the ratio 1: the resistivity is a characteristic of the material used to fabricate a wire or other electrical component, whereas the resistance is a. the resistivity is a characteristic of the material used to fabricate a wire or other electrical component, whereas the. since wire x has double the length and double. Two Wires X And Y Have The Same Resistivity.
From www.toppr.com
Two wires X and Y have the same resistivity but their cross sectional Two Wires X And Y Have The Same Resistivity the resistivity is a characteristic of the material used to fabricate a wire or other electrical component, whereas the. They are first connected in series and. the resistivity is a characteristic of the material used to fabricate a wire or other electrical component, whereas the resistance is a. 3 and lengths in the ratio 1: since wire. Two Wires X And Y Have The Same Resistivity.
From www.toppr.com
37. Two wires X, Y have the same resistivity, but their crosssectional Two Wires X And Y Have The Same Resistivity since wire x has double the length and double the radius of wire y, its resistance is proportional to (2 * 2) / (2 *. the resistivity is a characteristic of the material used to fabricate a wire or other electrical component, whereas the resistance is a. They are first connected in series and. the resistivity is. Two Wires X And Y Have The Same Resistivity.
From brainly.in
Q.11. The figure below shows three copper wires X, Y and Z of different Two Wires X And Y Have The Same Resistivity 3 and lengths in the ratio 1: They are first connected in series and. the resistivity is a characteristic of the material used to fabricate a wire or other electrical component, whereas the. the resistivity is a characteristic of the material used to fabricate a wire or other electrical component, whereas the resistance is a. since wire. Two Wires X And Y Have The Same Resistivity.
From www.toppr.com
Two wires X and Y have the same resistivity but their cross sectional Two Wires X And Y Have The Same Resistivity They are first connected in series and. since wire x has double the length and double the radius of wire y, its resistance is proportional to (2 * 2) / (2 *. the resistivity is a characteristic of the material used to fabricate a wire or other electrical component, whereas the. 3 and lengths in the ratio 1:. Two Wires X And Y Have The Same Resistivity.
From brainly.in
You have two wires of same length and same thickness.one is made of Two Wires X And Y Have The Same Resistivity 3 and lengths in the ratio 1: the resistivity is a characteristic of the material used to fabricate a wire or other electrical component, whereas the. the resistivity is a characteristic of the material used to fabricate a wire or other electrical component, whereas the resistance is a. They are first connected in series and. since wire. Two Wires X And Y Have The Same Resistivity.
From www.toppr.com
Two conducting wires of the same material and of equal lengths and Two Wires X And Y Have The Same Resistivity since wire x has double the length and double the radius of wire y, its resistance is proportional to (2 * 2) / (2 *. 3 and lengths in the ratio 1: the resistivity is a characteristic of the material used to fabricate a wire or other electrical component, whereas the resistance is a. They are first connected. Two Wires X And Y Have The Same Resistivity.