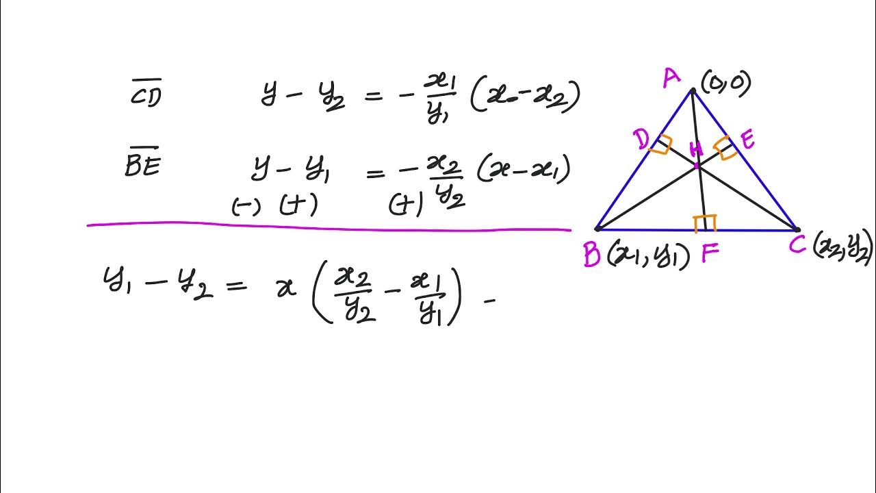
Triangle Orthocenter Formula . Orthocenter of a triangle is the point of intersection where all three altitudes of a triangle meet. When the vertices of a triangle are combined with its orthocenter, any one of the points is the orthocenter of the other. In the below mentioned diagram orthocenter is denoted by the letter ‘o’. Orthocenter of a triangle is the point of intersection of all the perpendiculars to the sides of the triangle drawn from each vertex. The three altitudes of a triangle intersect at the orthocenter, which for an acute triangle is inside the triangle. Learn more about the orthocenter of a triangle, its properties, formula along with solving a. There is no direct formula to calculate. In a right triangle, the orthocenter is the polygon vertex of the right angle. The point where the altitudes of a triangle meet is known as the orthocenter. It has several important properties and relations with other parts of the triangle, including its circumcenter,. To start, let's assume that the triangle abc has the vertex. The orthocenter of a triangle is the intersection of the triangle's three altitudes.
from www.cuemath.com
In the below mentioned diagram orthocenter is denoted by the letter ‘o’. When the vertices of a triangle are combined with its orthocenter, any one of the points is the orthocenter of the other. The three altitudes of a triangle intersect at the orthocenter, which for an acute triangle is inside the triangle. To start, let's assume that the triangle abc has the vertex. There is no direct formula to calculate. Orthocenter of a triangle is the point of intersection where all three altitudes of a triangle meet. The orthocenter of a triangle is the intersection of the triangle's three altitudes. The point where the altitudes of a triangle meet is known as the orthocenter. It has several important properties and relations with other parts of the triangle, including its circumcenter,. In a right triangle, the orthocenter is the polygon vertex of the right angle.
What is the orthocentre of a triangle?
Triangle Orthocenter Formula It has several important properties and relations with other parts of the triangle, including its circumcenter,. Orthocenter of a triangle is the point of intersection where all three altitudes of a triangle meet. The point where the altitudes of a triangle meet is known as the orthocenter. In a right triangle, the orthocenter is the polygon vertex of the right angle. To start, let's assume that the triangle abc has the vertex. There is no direct formula to calculate. In the below mentioned diagram orthocenter is denoted by the letter ‘o’. When the vertices of a triangle are combined with its orthocenter, any one of the points is the orthocenter of the other. The orthocenter of a triangle is the intersection of the triangle's three altitudes. Orthocenter of a triangle is the point of intersection of all the perpendiculars to the sides of the triangle drawn from each vertex. It has several important properties and relations with other parts of the triangle, including its circumcenter,. The three altitudes of a triangle intersect at the orthocenter, which for an acute triangle is inside the triangle. Learn more about the orthocenter of a triangle, its properties, formula along with solving a.
From www.allmath.com
Orthocenter Calculator Triangle Orthocenter Formula In the below mentioned diagram orthocenter is denoted by the letter ‘o’. Orthocenter of a triangle is the point of intersection of all the perpendiculars to the sides of the triangle drawn from each vertex. In a right triangle, the orthocenter is the polygon vertex of the right angle. The three altitudes of a triangle intersect at the orthocenter, which. Triangle Orthocenter Formula.
From www.cuemath.com
Orthocenter Definition, Properties, Formula, Examples, FAQs Triangle Orthocenter Formula In the below mentioned diagram orthocenter is denoted by the letter ‘o’. The three altitudes of a triangle intersect at the orthocenter, which for an acute triangle is inside the triangle. The point where the altitudes of a triangle meet is known as the orthocenter. When the vertices of a triangle are combined with its orthocenter, any one of the. Triangle Orthocenter Formula.
From www.vedantu.com
The orthocenter, circumcenter, centroid, and incenter of the triangle Triangle Orthocenter Formula When the vertices of a triangle are combined with its orthocenter, any one of the points is the orthocenter of the other. The orthocenter of a triangle is the intersection of the triangle's three altitudes. There is no direct formula to calculate. In the below mentioned diagram orthocenter is denoted by the letter ‘o’. The three altitudes of a triangle. Triangle Orthocenter Formula.
From www.cuemath.com
Orthocenter Definition, Properties and Examples Cuemath Triangle Orthocenter Formula The three altitudes of a triangle intersect at the orthocenter, which for an acute triangle is inside the triangle. The point where the altitudes of a triangle meet is known as the orthocenter. In the below mentioned diagram orthocenter is denoted by the letter ‘o’. Orthocenter of a triangle is the point of intersection where all three altitudes of a. Triangle Orthocenter Formula.
From www.home-tution.com
Orthocenter FormulaUse, Questions & Solved Examples Triangle Orthocenter Formula To start, let's assume that the triangle abc has the vertex. In a right triangle, the orthocenter is the polygon vertex of the right angle. Orthocenter of a triangle is the point of intersection of all the perpendiculars to the sides of the triangle drawn from each vertex. There is no direct formula to calculate. Learn more about the orthocenter. Triangle Orthocenter Formula.
From www.cuemath.com
Orthocenter Definition, Properties, Formula, Examples, FAQs Triangle Orthocenter Formula When the vertices of a triangle are combined with its orthocenter, any one of the points is the orthocenter of the other. Orthocenter of a triangle is the point of intersection of all the perpendiculars to the sides of the triangle drawn from each vertex. To start, let's assume that the triangle abc has the vertex. It has several important. Triangle Orthocenter Formula.
From www.cuemath.com
What is the orthocentre of a triangle? Triangle Orthocenter Formula Orthocenter of a triangle is the point of intersection of all the perpendiculars to the sides of the triangle drawn from each vertex. It has several important properties and relations with other parts of the triangle, including its circumcenter,. There is no direct formula to calculate. Learn more about the orthocenter of a triangle, its properties, formula along with solving. Triangle Orthocenter Formula.
From dewwool.com
Orthocenter of a triangleDefinitionFormula DewWool Triangle Orthocenter Formula The orthocenter of a triangle is the intersection of the triangle's three altitudes. When the vertices of a triangle are combined with its orthocenter, any one of the points is the orthocenter of the other. In the below mentioned diagram orthocenter is denoted by the letter ‘o’. Orthocenter of a triangle is the point of intersection where all three altitudes. Triangle Orthocenter Formula.
From www.media4math.com
DefinitionTriangle ConceptsOrthocenter of a Triangle Media4Math Triangle Orthocenter Formula Orthocenter of a triangle is the point of intersection where all three altitudes of a triangle meet. To start, let's assume that the triangle abc has the vertex. In the below mentioned diagram orthocenter is denoted by the letter ‘o’. There is no direct formula to calculate. Orthocenter of a triangle is the point of intersection of all the perpendiculars. Triangle Orthocenter Formula.
From www.youtube.com
Orthocenter of a Triangle YouTube Triangle Orthocenter Formula To start, let's assume that the triangle abc has the vertex. In the below mentioned diagram orthocenter is denoted by the letter ‘o’. The point where the altitudes of a triangle meet is known as the orthocenter. It has several important properties and relations with other parts of the triangle, including its circumcenter,. When the vertices of a triangle are. Triangle Orthocenter Formula.
From www.youtube.com
Orthocenter on the coordinate plane YouTube Triangle Orthocenter Formula In a right triangle, the orthocenter is the polygon vertex of the right angle. The point where the altitudes of a triangle meet is known as the orthocenter. The orthocenter of a triangle is the intersection of the triangle's three altitudes. To start, let's assume that the triangle abc has the vertex. In the below mentioned diagram orthocenter is denoted. Triangle Orthocenter Formula.
From www.onlinemathlearning.com
Orthocenter of a Triangle (examples, solutions, videos, worksheets Triangle Orthocenter Formula In a right triangle, the orthocenter is the polygon vertex of the right angle. The orthocenter of a triangle is the intersection of the triangle's three altitudes. It has several important properties and relations with other parts of the triangle, including its circumcenter,. To start, let's assume that the triangle abc has the vertex. There is no direct formula to. Triangle Orthocenter Formula.
From www.cuemath.com
Orthocenter Definition, Properties, Formula, Examples, FAQs Triangle Orthocenter Formula Learn more about the orthocenter of a triangle, its properties, formula along with solving a. When the vertices of a triangle are combined with its orthocenter, any one of the points is the orthocenter of the other. The orthocenter of a triangle is the intersection of the triangle's three altitudes. Orthocenter of a triangle is the point of intersection of. Triangle Orthocenter Formula.
From www.cuemath.com
Orthocenter Definition, Properties and Examples Cuemath Triangle Orthocenter Formula To start, let's assume that the triangle abc has the vertex. In the below mentioned diagram orthocenter is denoted by the letter ‘o’. The point where the altitudes of a triangle meet is known as the orthocenter. In a right triangle, the orthocenter is the polygon vertex of the right angle. Orthocenter of a triangle is the point of intersection. Triangle Orthocenter Formula.
From www.cuemath.com
Orthocenter Definition, Properties and Examples Cuemath Triangle Orthocenter Formula The orthocenter of a triangle is the intersection of the triangle's three altitudes. The three altitudes of a triangle intersect at the orthocenter, which for an acute triangle is inside the triangle. Orthocenter of a triangle is the point of intersection of all the perpendiculars to the sides of the triangle drawn from each vertex. In a right triangle, the. Triangle Orthocenter Formula.
From dewwool.com
Orthocenter of a triangleDefinitionFormula DewWool Triangle Orthocenter Formula There is no direct formula to calculate. The three altitudes of a triangle intersect at the orthocenter, which for an acute triangle is inside the triangle. In a right triangle, the orthocenter is the polygon vertex of the right angle. To start, let's assume that the triangle abc has the vertex. It has several important properties and relations with other. Triangle Orthocenter Formula.
From www.cuemath.com
Orthocenter Definition, Properties and Examples Cuemath Triangle Orthocenter Formula There is no direct formula to calculate. Learn more about the orthocenter of a triangle, its properties, formula along with solving a. In a right triangle, the orthocenter is the polygon vertex of the right angle. It has several important properties and relations with other parts of the triangle, including its circumcenter,. In the below mentioned diagram orthocenter is denoted. Triangle Orthocenter Formula.
From dewwool.com
Orthocenter of a triangleDefinitionFormula DewWool Triangle Orthocenter Formula There is no direct formula to calculate. It has several important properties and relations with other parts of the triangle, including its circumcenter,. Orthocenter of a triangle is the point of intersection of all the perpendiculars to the sides of the triangle drawn from each vertex. When the vertices of a triangle are combined with its orthocenter, any one of. Triangle Orthocenter Formula.
From en.neurochispas.com
How to find the orthocenter of a triangle? Step by step Neurochispas Triangle Orthocenter Formula It has several important properties and relations with other parts of the triangle, including its circumcenter,. The orthocenter of a triangle is the intersection of the triangle's three altitudes. In the below mentioned diagram orthocenter is denoted by the letter ‘o’. Learn more about the orthocenter of a triangle, its properties, formula along with solving a. To start, let's assume. Triangle Orthocenter Formula.
From www.toppr.com
Orthocenter of the triangle whose vertices are (0,0) (2, 1) and (1,3 Triangle Orthocenter Formula Orthocenter of a triangle is the point of intersection where all three altitudes of a triangle meet. Orthocenter of a triangle is the point of intersection of all the perpendiculars to the sides of the triangle drawn from each vertex. It has several important properties and relations with other parts of the triangle, including its circumcenter,. The point where the. Triangle Orthocenter Formula.
From www.youtube.com
Orthocenter..Altitude of triangle formula..Geometry.. Math YouTube Triangle Orthocenter Formula It has several important properties and relations with other parts of the triangle, including its circumcenter,. Orthocenter of a triangle is the point of intersection of all the perpendiculars to the sides of the triangle drawn from each vertex. To start, let's assume that the triangle abc has the vertex. The point where the altitudes of a triangle meet is. Triangle Orthocenter Formula.
From www.animalia-life.club
Orthocenter Of A Right Triangle Triangle Orthocenter Formula In the below mentioned diagram orthocenter is denoted by the letter ‘o’. In a right triangle, the orthocenter is the polygon vertex of the right angle. It has several important properties and relations with other parts of the triangle, including its circumcenter,. The three altitudes of a triangle intersect at the orthocenter, which for an acute triangle is inside the. Triangle Orthocenter Formula.
From www.pw.live
Orthocenter Formula, Definition, Solved Example Triangle Orthocenter Formula There is no direct formula to calculate. Orthocenter of a triangle is the point of intersection of all the perpendiculars to the sides of the triangle drawn from each vertex. The three altitudes of a triangle intersect at the orthocenter, which for an acute triangle is inside the triangle. When the vertices of a triangle are combined with its orthocenter,. Triangle Orthocenter Formula.
From www.cuemath.com
Orthocenter Definition, Properties and Examples Cuemath Triangle Orthocenter Formula When the vertices of a triangle are combined with its orthocenter, any one of the points is the orthocenter of the other. Learn more about the orthocenter of a triangle, its properties, formula along with solving a. To start, let's assume that the triangle abc has the vertex. It has several important properties and relations with other parts of the. Triangle Orthocenter Formula.
From dewwool.com
Orthocenter of a triangleDefinitionFormula DewWool Triangle Orthocenter Formula In a right triangle, the orthocenter is the polygon vertex of the right angle. It has several important properties and relations with other parts of the triangle, including its circumcenter,. Orthocenter of a triangle is the point of intersection where all three altitudes of a triangle meet. The point where the altitudes of a triangle meet is known as the. Triangle Orthocenter Formula.
From www.youtube.com
(No Audio) Formula to find the orthocenter of a triangle if one of the Triangle Orthocenter Formula Orthocenter of a triangle is the point of intersection where all three altitudes of a triangle meet. Orthocenter of a triangle is the point of intersection of all the perpendiculars to the sides of the triangle drawn from each vertex. In a right triangle, the orthocenter is the polygon vertex of the right angle. Learn more about the orthocenter of. Triangle Orthocenter Formula.
From www.youtube.com
GEOMETRY THEOREMS 14 Triangle , its Orthic triangle and the Triangle Orthocenter Formula There is no direct formula to calculate. It has several important properties and relations with other parts of the triangle, including its circumcenter,. In a right triangle, the orthocenter is the polygon vertex of the right angle. To start, let's assume that the triangle abc has the vertex. When the vertices of a triangle are combined with its orthocenter, any. Triangle Orthocenter Formula.
From ar.inspiredpencil.com
Orthocenter Of A Right Triangle Triangle Orthocenter Formula Orthocenter of a triangle is the point of intersection where all three altitudes of a triangle meet. There is no direct formula to calculate. It has several important properties and relations with other parts of the triangle, including its circumcenter,. The three altitudes of a triangle intersect at the orthocenter, which for an acute triangle is inside the triangle. The. Triangle Orthocenter Formula.
From mathmonks.com
Vertices of a Triangle Definition, Formula, Theorem, Examples Triangle Orthocenter Formula Orthocenter of a triangle is the point of intersection where all three altitudes of a triangle meet. It has several important properties and relations with other parts of the triangle, including its circumcenter,. The orthocenter of a triangle is the intersection of the triangle's three altitudes. When the vertices of a triangle are combined with its orthocenter, any one of. Triangle Orthocenter Formula.
From brainly.in
Formula of orthocentre of a triangle when vertices are given Brainly.in Triangle Orthocenter Formula Orthocenter of a triangle is the point of intersection of all the perpendiculars to the sides of the triangle drawn from each vertex. The orthocenter of a triangle is the intersection of the triangle's three altitudes. The three altitudes of a triangle intersect at the orthocenter, which for an acute triangle is inside the triangle. In a right triangle, the. Triangle Orthocenter Formula.
From www.youtube.com
Finding the Orthocenter of a Triangle YouTube Triangle Orthocenter Formula There is no direct formula to calculate. Orthocenter of a triangle is the point of intersection where all three altitudes of a triangle meet. Orthocenter of a triangle is the point of intersection of all the perpendiculars to the sides of the triangle drawn from each vertex. The point where the altitudes of a triangle meet is known as the. Triangle Orthocenter Formula.
From www.cuemath.com
Orthocenter Definition, Properties and Examples Cuemath Triangle Orthocenter Formula The orthocenter of a triangle is the intersection of the triangle's three altitudes. There is no direct formula to calculate. Learn more about the orthocenter of a triangle, its properties, formula along with solving a. The point where the altitudes of a triangle meet is known as the orthocenter. To start, let's assume that the triangle abc has the vertex.. Triangle Orthocenter Formula.
From www.youtube.com
The orthocenter of the triangle formed by `(1,3) ,(6,1), (4,1) ` is Triangle Orthocenter Formula Orthocenter of a triangle is the point of intersection of all the perpendiculars to the sides of the triangle drawn from each vertex. In the below mentioned diagram orthocenter is denoted by the letter ‘o’. Orthocenter of a triangle is the point of intersection where all three altitudes of a triangle meet. To start, let's assume that the triangle abc. Triangle Orthocenter Formula.
From www.cuemath.com
Orthocenter Definition, Properties, Formula, Examples, FAQs Triangle Orthocenter Formula Orthocenter of a triangle is the point of intersection of all the perpendiculars to the sides of the triangle drawn from each vertex. The point where the altitudes of a triangle meet is known as the orthocenter. The three altitudes of a triangle intersect at the orthocenter, which for an acute triangle is inside the triangle. There is no direct. Triangle Orthocenter Formula.
From www.cuemath.com
Orthocenter Definition, Properties and Examples Cuemath Triangle Orthocenter Formula There is no direct formula to calculate. When the vertices of a triangle are combined with its orthocenter, any one of the points is the orthocenter of the other. The point where the altitudes of a triangle meet is known as the orthocenter. In the below mentioned diagram orthocenter is denoted by the letter ‘o’. Orthocenter of a triangle is. Triangle Orthocenter Formula.