Physical Activity Trainer Sample Paper . You can download the cbse 10th physical activity trainer previous year question paper pdf from this page of aglasem.com to prepare for your upcoming exams. In this article we have provided the sample paper for the cbse class 10 physical activity trainer sample paper 2025, along with the section wise. This document provides a sample question paper blueprint for class x students taking the physical activity trainer subject for term ii. It outlines the structure and. Physical activity trainer (subject code: Physical activity trainer (subject code: In this article we have provided the sample paper for the cbse class 10 physical activity trainer sample paper 2025, along with.
from www.indcareer.com
In this article we have provided the sample paper for the cbse class 10 physical activity trainer sample paper 2025, along with. It outlines the structure and. In this article we have provided the sample paper for the cbse class 10 physical activity trainer sample paper 2025, along with the section wise. You can download the cbse 10th physical activity trainer previous year question paper pdf from this page of aglasem.com to prepare for your upcoming exams. This document provides a sample question paper blueprint for class x students taking the physical activity trainer subject for term ii. Physical activity trainer (subject code: Physical activity trainer (subject code:
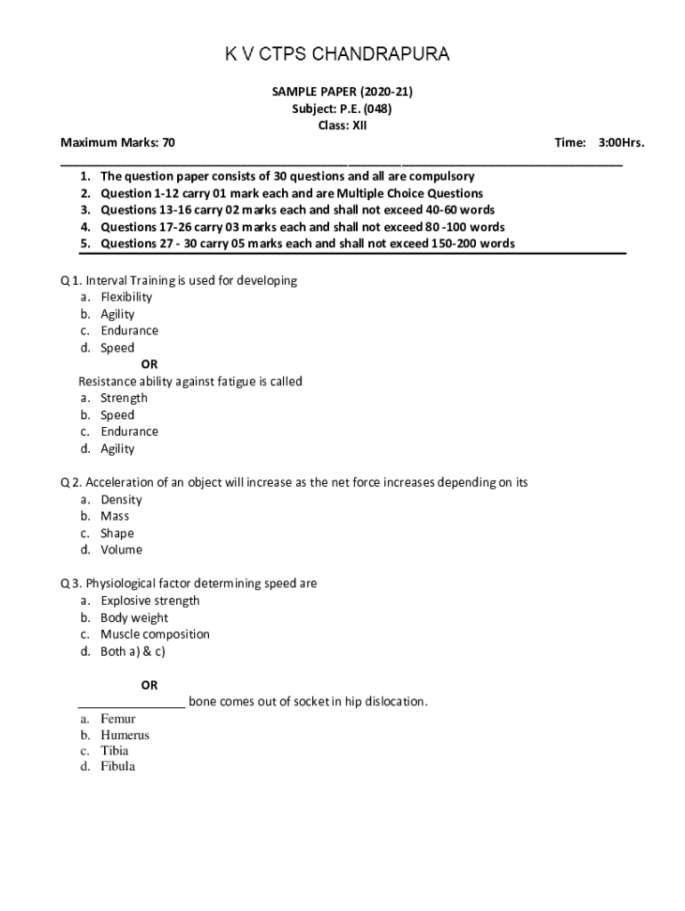
CBSE Class 10 Skill Education (Term I) Physical Activity Trainer
Physical Activity Trainer Sample Paper In this article we have provided the sample paper for the cbse class 10 physical activity trainer sample paper 2025, along with. It outlines the structure and. Physical activity trainer (subject code: In this article we have provided the sample paper for the cbse class 10 physical activity trainer sample paper 2025, along with. Physical activity trainer (subject code: In this article we have provided the sample paper for the cbse class 10 physical activity trainer sample paper 2025, along with the section wise. This document provides a sample question paper blueprint for class x students taking the physical activity trainer subject for term ii. You can download the cbse 10th physical activity trainer previous year question paper pdf from this page of aglasem.com to prepare for your upcoming exams.
From www.indcareer.com
CBSE Class 10 Skill Education (Term I) Physical Activity Trainer Physical Activity Trainer Sample Paper In this article we have provided the sample paper for the cbse class 10 physical activity trainer sample paper 2025, along with the section wise. It outlines the structure and. Physical activity trainer (subject code: Physical activity trainer (subject code: This document provides a sample question paper blueprint for class x students taking the physical activity trainer subject for term. Physical Activity Trainer Sample Paper.
From www.indcareer.com
CBSE Class 10 Physical Activity Trainer Sample Papers 2023, 2024 Physical Activity Trainer Sample Paper In this article we have provided the sample paper for the cbse class 10 physical activity trainer sample paper 2025, along with the section wise. Physical activity trainer (subject code: This document provides a sample question paper blueprint for class x students taking the physical activity trainer subject for term ii. Physical activity trainer (subject code: It outlines the structure. Physical Activity Trainer Sample Paper.
From www.indcareer.com
CBSE Class 10 Skill Education (Term I) Physical Activity Trainer Physical Activity Trainer Sample Paper Physical activity trainer (subject code: Physical activity trainer (subject code: In this article we have provided the sample paper for the cbse class 10 physical activity trainer sample paper 2025, along with the section wise. This document provides a sample question paper blueprint for class x students taking the physical activity trainer subject for term ii. In this article we. Physical Activity Trainer Sample Paper.
From www.indcareer.com
CBSE Class 10 Skill Education (Term I) Physical Activity Trainer Physical Activity Trainer Sample Paper Physical activity trainer (subject code: You can download the cbse 10th physical activity trainer previous year question paper pdf from this page of aglasem.com to prepare for your upcoming exams. Physical activity trainer (subject code: In this article we have provided the sample paper for the cbse class 10 physical activity trainer sample paper 2025, along with the section wise.. Physical Activity Trainer Sample Paper.
From www.indcareer.com
CBSE Class 10 Physical Activity Trainer Sample Paper IndCareer Schools Physical Activity Trainer Sample Paper This document provides a sample question paper blueprint for class x students taking the physical activity trainer subject for term ii. In this article we have provided the sample paper for the cbse class 10 physical activity trainer sample paper 2025, along with the section wise. In this article we have provided the sample paper for the cbse class 10. Physical Activity Trainer Sample Paper.
From www.indcareer.com
CBSE Class 10 Skill Education (Term I) Physical Activity Trainer Physical Activity Trainer Sample Paper In this article we have provided the sample paper for the cbse class 10 physical activity trainer sample paper 2025, along with the section wise. Physical activity trainer (subject code: In this article we have provided the sample paper for the cbse class 10 physical activity trainer sample paper 2025, along with. Physical activity trainer (subject code: It outlines the. Physical Activity Trainer Sample Paper.
From www.indcareer.com
CBSE Class 10 Physical Activity Trainer Sample Papers 2023, 2024 Physical Activity Trainer Sample Paper This document provides a sample question paper blueprint for class x students taking the physical activity trainer subject for term ii. Physical activity trainer (subject code: It outlines the structure and. In this article we have provided the sample paper for the cbse class 10 physical activity trainer sample paper 2025, along with the section wise. You can download the. Physical Activity Trainer Sample Paper.
From www.indcareer.com
CBSE Class 10 (Skill Education) Physical Activity Trainer Sample Papers Physical Activity Trainer Sample Paper You can download the cbse 10th physical activity trainer previous year question paper pdf from this page of aglasem.com to prepare for your upcoming exams. This document provides a sample question paper blueprint for class x students taking the physical activity trainer subject for term ii. It outlines the structure and. Physical activity trainer (subject code: In this article we. Physical Activity Trainer Sample Paper.
From www.indcareer.com
CBSE Class 10 Physical Activity Trainer Sample Paper IndCareer Schools Physical Activity Trainer Sample Paper It outlines the structure and. This document provides a sample question paper blueprint for class x students taking the physical activity trainer subject for term ii. Physical activity trainer (subject code: You can download the cbse 10th physical activity trainer previous year question paper pdf from this page of aglasem.com to prepare for your upcoming exams. Physical activity trainer (subject. Physical Activity Trainer Sample Paper.
From www.indcareer.com
CBSE Class 10 (Skill Education) Physical Activity Trainer Sample Papers Physical Activity Trainer Sample Paper Physical activity trainer (subject code: In this article we have provided the sample paper for the cbse class 10 physical activity trainer sample paper 2025, along with the section wise. You can download the cbse 10th physical activity trainer previous year question paper pdf from this page of aglasem.com to prepare for your upcoming exams. It outlines the structure and.. Physical Activity Trainer Sample Paper.
From www.scribd.com
Cbse Class 11 Physical Education Sample Paper Sa2 2014 Sports Physical Activity Trainer Sample Paper Physical activity trainer (subject code: You can download the cbse 10th physical activity trainer previous year question paper pdf from this page of aglasem.com to prepare for your upcoming exams. This document provides a sample question paper blueprint for class x students taking the physical activity trainer subject for term ii. In this article we have provided the sample paper. Physical Activity Trainer Sample Paper.
From www.youtube.com
Physical Activity Trainer CBSE Sample Paper Solution Class 10th Board Physical Activity Trainer Sample Paper In this article we have provided the sample paper for the cbse class 10 physical activity trainer sample paper 2025, along with the section wise. It outlines the structure and. In this article we have provided the sample paper for the cbse class 10 physical activity trainer sample paper 2025, along with. You can download the cbse 10th physical activity. Physical Activity Trainer Sample Paper.
From www.indcareer.com
CBSE Class 10 (Skill Education) Physical Activity Trainer Sample Papers Physical Activity Trainer Sample Paper Physical activity trainer (subject code: You can download the cbse 10th physical activity trainer previous year question paper pdf from this page of aglasem.com to prepare for your upcoming exams. In this article we have provided the sample paper for the cbse class 10 physical activity trainer sample paper 2025, along with. It outlines the structure and. Physical activity trainer. Physical Activity Trainer Sample Paper.
From www.indcareer.com
ISC Class 12 Physical Education Sample Paper IndCareer Schools Physical Activity Trainer Sample Paper Physical activity trainer (subject code: This document provides a sample question paper blueprint for class x students taking the physical activity trainer subject for term ii. It outlines the structure and. In this article we have provided the sample paper for the cbse class 10 physical activity trainer sample paper 2025, along with the section wise. Physical activity trainer (subject. Physical Activity Trainer Sample Paper.
From www.youtube.com
Class 10 Physical Activity Trainer Sample Paper 202324 class Physical Activity Trainer Sample Paper In this article we have provided the sample paper for the cbse class 10 physical activity trainer sample paper 2025, along with the section wise. Physical activity trainer (subject code: It outlines the structure and. You can download the cbse 10th physical activity trainer previous year question paper pdf from this page of aglasem.com to prepare for your upcoming exams.. Physical Activity Trainer Sample Paper.
From www.youtube.com
Class 10 PHYSICAL ACTIVITY TRAINER Sample Paper 2024 full solution Physical Activity Trainer Sample Paper In this article we have provided the sample paper for the cbse class 10 physical activity trainer sample paper 2025, along with. It outlines the structure and. In this article we have provided the sample paper for the cbse class 10 physical activity trainer sample paper 2025, along with the section wise. You can download the cbse 10th physical activity. Physical Activity Trainer Sample Paper.
From www.indcareer.com
CBSE Class 10 Physical Activity Trainer Sample Paper IndCareer Schools Physical Activity Trainer Sample Paper You can download the cbse 10th physical activity trainer previous year question paper pdf from this page of aglasem.com to prepare for your upcoming exams. Physical activity trainer (subject code: In this article we have provided the sample paper for the cbse class 10 physical activity trainer sample paper 2025, along with. It outlines the structure and. Physical activity trainer. Physical Activity Trainer Sample Paper.
From docs.aglasem.com
CBSE Class 9 Sample Paper 2022 for Physical Activity Trainer Term 1 Physical Activity Trainer Sample Paper You can download the cbse 10th physical activity trainer previous year question paper pdf from this page of aglasem.com to prepare for your upcoming exams. Physical activity trainer (subject code: In this article we have provided the sample paper for the cbse class 10 physical activity trainer sample paper 2025, along with the section wise. This document provides a sample. Physical Activity Trainer Sample Paper.
From www.indcareer.com
CBSE Class 10 Physical Activity Trainer Sample Paper IndCareer Schools Physical Activity Trainer Sample Paper It outlines the structure and. In this article we have provided the sample paper for the cbse class 10 physical activity trainer sample paper 2025, along with. Physical activity trainer (subject code: Physical activity trainer (subject code: You can download the cbse 10th physical activity trainer previous year question paper pdf from this page of aglasem.com to prepare for your. Physical Activity Trainer Sample Paper.
From docs.aglasem.com
CBSE Class 10 Question Paper 2022 Physical Activity Trainer Physical Activity Trainer Sample Paper You can download the cbse 10th physical activity trainer previous year question paper pdf from this page of aglasem.com to prepare for your upcoming exams. This document provides a sample question paper blueprint for class x students taking the physical activity trainer subject for term ii. Physical activity trainer (subject code: In this article we have provided the sample paper. Physical Activity Trainer Sample Paper.
From www.indcareer.com
CBSE Class 10 (Skill Education) Physical Activity Trainer Sample Papers Physical Activity Trainer Sample Paper Physical activity trainer (subject code: It outlines the structure and. This document provides a sample question paper blueprint for class x students taking the physical activity trainer subject for term ii. You can download the cbse 10th physical activity trainer previous year question paper pdf from this page of aglasem.com to prepare for your upcoming exams. In this article we. Physical Activity Trainer Sample Paper.
From www.indcareer.com
CBSE Class 10 Skill Education (Term I) Physical Activity Trainer Physical Activity Trainer Sample Paper You can download the cbse 10th physical activity trainer previous year question paper pdf from this page of aglasem.com to prepare for your upcoming exams. Physical activity trainer (subject code: In this article we have provided the sample paper for the cbse class 10 physical activity trainer sample paper 2025, along with the section wise. It outlines the structure and.. Physical Activity Trainer Sample Paper.
From www.youtube.com
Class 10 PHYSICAL ACTIVITY TRAINER Sample Paper 202324 (section B Physical Activity Trainer Sample Paper In this article we have provided the sample paper for the cbse class 10 physical activity trainer sample paper 2025, along with. In this article we have provided the sample paper for the cbse class 10 physical activity trainer sample paper 2025, along with the section wise. This document provides a sample question paper blueprint for class x students taking. Physical Activity Trainer Sample Paper.
From www.indcareer.com
CBSE Class 10 Physical Activity Trainer Sample Paper IndCareer Schools Physical Activity Trainer Sample Paper Physical activity trainer (subject code: In this article we have provided the sample paper for the cbse class 10 physical activity trainer sample paper 2025, along with. In this article we have provided the sample paper for the cbse class 10 physical activity trainer sample paper 2025, along with the section wise. It outlines the structure and. Physical activity trainer. Physical Activity Trainer Sample Paper.
From www.indcareer.com
CBSE Class 10 Physical Activity Trainer Sample Paper IndCareer Schools Physical Activity Trainer Sample Paper This document provides a sample question paper blueprint for class x students taking the physical activity trainer subject for term ii. It outlines the structure and. Physical activity trainer (subject code: Physical activity trainer (subject code: In this article we have provided the sample paper for the cbse class 10 physical activity trainer sample paper 2025, along with the section. Physical Activity Trainer Sample Paper.
From www.indcareer.com
CBSE Class 10 (Skill Education) Physical Activity Trainer Sample Papers Physical Activity Trainer Sample Paper This document provides a sample question paper blueprint for class x students taking the physical activity trainer subject for term ii. You can download the cbse 10th physical activity trainer previous year question paper pdf from this page of aglasem.com to prepare for your upcoming exams. It outlines the structure and. In this article we have provided the sample paper. Physical Activity Trainer Sample Paper.
From www.pdffiller.com
Fillable Online Sample Paper of Physical Education Class 12 with Physical Activity Trainer Sample Paper Physical activity trainer (subject code: You can download the cbse 10th physical activity trainer previous year question paper pdf from this page of aglasem.com to prepare for your upcoming exams. In this article we have provided the sample paper for the cbse class 10 physical activity trainer sample paper 2025, along with. In this article we have provided the sample. Physical Activity Trainer Sample Paper.
From www.youtube.com
cbse sample paper physical activity trainer 418 term 2 fully solved Physical Activity Trainer Sample Paper Physical activity trainer (subject code: It outlines the structure and. This document provides a sample question paper blueprint for class x students taking the physical activity trainer subject for term ii. Physical activity trainer (subject code: In this article we have provided the sample paper for the cbse class 10 physical activity trainer sample paper 2025, along with the section. Physical Activity Trainer Sample Paper.
From www.indcareer.com
CBSE Class 10 Physical Activity Trainer Sample Papers 2023, 2024 Physical Activity Trainer Sample Paper In this article we have provided the sample paper for the cbse class 10 physical activity trainer sample paper 2025, along with the section wise. You can download the cbse 10th physical activity trainer previous year question paper pdf from this page of aglasem.com to prepare for your upcoming exams. This document provides a sample question paper blueprint for class. Physical Activity Trainer Sample Paper.
From www.indcareer.com
CBSE Class 10 Physical Activity Trainer Sample Paper IndCareer Schools Physical Activity Trainer Sample Paper In this article we have provided the sample paper for the cbse class 10 physical activity trainer sample paper 2025, along with the section wise. This document provides a sample question paper blueprint for class x students taking the physical activity trainer subject for term ii. In this article we have provided the sample paper for the cbse class 10. Physical Activity Trainer Sample Paper.
From www.youtube.com
physical activity trainer class 10 sample paper 202223 Section B YouTube Physical Activity Trainer Sample Paper This document provides a sample question paper blueprint for class x students taking the physical activity trainer subject for term ii. You can download the cbse 10th physical activity trainer previous year question paper pdf from this page of aglasem.com to prepare for your upcoming exams. Physical activity trainer (subject code: In this article we have provided the sample paper. Physical Activity Trainer Sample Paper.
From www.indcareer.com
CBSE Class 10 Physical Activity Trainer Question Papers (2022 2024 Physical Activity Trainer Sample Paper Physical activity trainer (subject code: You can download the cbse 10th physical activity trainer previous year question paper pdf from this page of aglasem.com to prepare for your upcoming exams. Physical activity trainer (subject code: In this article we have provided the sample paper for the cbse class 10 physical activity trainer sample paper 2025, along with the section wise.. Physical Activity Trainer Sample Paper.
From examplesspapers.blogspot.com
Sample Paper Of Class 9 Icse Physical Education example papers Physical Activity Trainer Sample Paper This document provides a sample question paper blueprint for class x students taking the physical activity trainer subject for term ii. In this article we have provided the sample paper for the cbse class 10 physical activity trainer sample paper 2025, along with the section wise. You can download the cbse 10th physical activity trainer previous year question paper pdf. Physical Activity Trainer Sample Paper.
From www.indcareer.com
CBSE Class 10 (Skill Education) Physical Activity Trainer Sample Papers Physical Activity Trainer Sample Paper This document provides a sample question paper blueprint for class x students taking the physical activity trainer subject for term ii. Physical activity trainer (subject code: In this article we have provided the sample paper for the cbse class 10 physical activity trainer sample paper 2025, along with the section wise. In this article we have provided the sample paper. Physical Activity Trainer Sample Paper.
From www.indcareer.com
CBSE Class 10 Physical Activity Trainer Sample Paper IndCareer Schools Physical Activity Trainer Sample Paper Physical activity trainer (subject code: This document provides a sample question paper blueprint for class x students taking the physical activity trainer subject for term ii. Physical activity trainer (subject code: In this article we have provided the sample paper for the cbse class 10 physical activity trainer sample paper 2025, along with. You can download the cbse 10th physical. Physical Activity Trainer Sample Paper.