Regular Singular Point Differential Equation Calculator . Otherwise point a is an. X) y' + e^x y = 0. Compute answers using wolfram's breakthrough technology & knowledgebase, relied on by millions of students & professionals. Point a is a regular singular point if p 1 (x) has a pole up to order 1 at x = a and p 0 has a pole of order up to 2 at x = a. Let us now discuss the general method of frobenius. The point \(0\) is a singular point, but not a regular singular point. Find all regular and irregular singular points for the differential equation \[ (x\; How do you calculate ordinary differential equations? S → x × x which they. X ) y'' + (\text{cos} \; Two points x, y of x having values in s are called 1 st order infinitesimal neighbors if the function x y :
from www.numerade.com
Otherwise point a is an. X) y' + e^x y = 0. How do you calculate ordinary differential equations? S → x × x which they. Point a is a regular singular point if p 1 (x) has a pole up to order 1 at x = a and p 0 has a pole of order up to 2 at x = a. Two points x, y of x having values in s are called 1 st order infinitesimal neighbors if the function x y : The point \(0\) is a singular point, but not a regular singular point. Let us now discuss the general method of frobenius. Compute answers using wolfram's breakthrough technology & knowledgebase, relied on by millions of students & professionals. X ) y'' + (\text{cos} \;
SOLVEDDetermine the singular points of the given differential equation
Regular Singular Point Differential Equation Calculator Find all regular and irregular singular points for the differential equation \[ (x\; Point a is a regular singular point if p 1 (x) has a pole up to order 1 at x = a and p 0 has a pole of order up to 2 at x = a. The point \(0\) is a singular point, but not a regular singular point. How do you calculate ordinary differential equations? Otherwise point a is an. Let us now discuss the general method of frobenius. Two points x, y of x having values in s are called 1 st order infinitesimal neighbors if the function x y : X ) y'' + (\text{cos} \; Compute answers using wolfram's breakthrough technology & knowledgebase, relied on by millions of students & professionals. Find all regular and irregular singular points for the differential equation \[ (x\; X) y' + e^x y = 0. S → x × x which they.
From www.numerade.com
SOLVED Consider the differential equation zy" + ry + (z2 4y = 0. Show Regular Singular Point Differential Equation Calculator Otherwise point a is an. Two points x, y of x having values in s are called 1 st order infinitesimal neighbors if the function x y : How do you calculate ordinary differential equations? X) y' + e^x y = 0. Point a is a regular singular point if p 1 (x) has a pole up to order 1. Regular Singular Point Differential Equation Calculator.
From www.chegg.com
Solved The point x = 0 is a regular singular point of the Regular Singular Point Differential Equation Calculator Compute answers using wolfram's breakthrough technology & knowledgebase, relied on by millions of students & professionals. X) y' + e^x y = 0. S → x × x which they. Find all regular and irregular singular points for the differential equation \[ (x\; Point a is a regular singular point if p 1 (x) has a pole up to order. Regular Singular Point Differential Equation Calculator.
From www.numerade.com
SOLVED Determine the singular points of the given differential Regular Singular Point Differential Equation Calculator Compute answers using wolfram's breakthrough technology & knowledgebase, relied on by millions of students & professionals. S → x × x which they. X) y' + e^x y = 0. X ) y'' + (\text{cos} \; How do you calculate ordinary differential equations? Point a is a regular singular point if p 1 (x) has a pole up to order. Regular Singular Point Differential Equation Calculator.
From www.coursehero.com
[Solved] Determine singular points, of each differential equation and Regular Singular Point Differential Equation Calculator X) y' + e^x y = 0. How do you calculate ordinary differential equations? Point a is a regular singular point if p 1 (x) has a pole up to order 1 at x = a and p 0 has a pole of order up to 2 at x = a. Let us now discuss the general method of frobenius.. Regular Singular Point Differential Equation Calculator.
From studylib.net
Lecture 7 Regular Singular Points of Ordinary Differential Equations Regular Singular Point Differential Equation Calculator Otherwise point a is an. Point a is a regular singular point if p 1 (x) has a pole up to order 1 at x = a and p 0 has a pole of order up to 2 at x = a. The point \(0\) is a singular point, but not a regular singular point. Let us now discuss the. Regular Singular Point Differential Equation Calculator.
From www.chegg.com
Solved The point x = 0 is a regular singular point of the Regular Singular Point Differential Equation Calculator Two points x, y of x having values in s are called 1 st order infinitesimal neighbors if the function x y : Let us now discuss the general method of frobenius. Otherwise point a is an. Find all regular and irregular singular points for the differential equation \[ (x\; X ) y'' + (\text{cos} \; Point a is a. Regular Singular Point Differential Equation Calculator.
From www.scribd.com
Regular Singular Points MATH 365 Ordinary Differential Equations PDF Regular Singular Point Differential Equation Calculator S → x × x which they. Otherwise point a is an. Find all regular and irregular singular points for the differential equation \[ (x\; How do you calculate ordinary differential equations? Compute answers using wolfram's breakthrough technology & knowledgebase, relied on by millions of students & professionals. Two points x, y of x having values in s are called. Regular Singular Point Differential Equation Calculator.
From www.numerade.com
SOLVED point) Consider the differential equation 2x(x I)y" + 36x I)y Regular Singular Point Differential Equation Calculator Otherwise point a is an. S → x × x which they. The point \(0\) is a singular point, but not a regular singular point. Point a is a regular singular point if p 1 (x) has a pole up to order 1 at x = a and p 0 has a pole of order up to 2 at x. Regular Singular Point Differential Equation Calculator.
From www.coursehero.com
[Solved] . Find all Singular points of the given differential equation Regular Singular Point Differential Equation Calculator Compute answers using wolfram's breakthrough technology & knowledgebase, relied on by millions of students & professionals. The point \(0\) is a singular point, but not a regular singular point. Otherwise point a is an. Two points x, y of x having values in s are called 1 st order infinitesimal neighbors if the function x y : How do you. Regular Singular Point Differential Equation Calculator.
From www.numerade.com
The point x0 is a regular singular point of the given differential Regular Singular Point Differential Equation Calculator Point a is a regular singular point if p 1 (x) has a pole up to order 1 at x = a and p 0 has a pole of order up to 2 at x = a. Two points x, y of x having values in s are called 1 st order infinitesimal neighbors if the function x y :. Regular Singular Point Differential Equation Calculator.
From www.numerade.com
SOLVEDDetermine the singular points of the given differential equation Regular Singular Point Differential Equation Calculator Point a is a regular singular point if p 1 (x) has a pole up to order 1 at x = a and p 0 has a pole of order up to 2 at x = a. S → x × x which they. Otherwise point a is an. The point \(0\) is a singular point, but not a regular. Regular Singular Point Differential Equation Calculator.
From www.chegg.com
Solved Determine whether the following differential equation Regular Singular Point Differential Equation Calculator X) y' + e^x y = 0. Let us now discuss the general method of frobenius. Two points x, y of x having values in s are called 1 st order infinitesimal neighbors if the function x y : Compute answers using wolfram's breakthrough technology & knowledgebase, relied on by millions of students & professionals. How do you calculate ordinary. Regular Singular Point Differential Equation Calculator.
From www.numerade.com
SOLVED determine the singular points of the given differential Regular Singular Point Differential Equation Calculator X ) y'' + (\text{cos} \; Let us now discuss the general method of frobenius. Two points x, y of x having values in s are called 1 st order infinitesimal neighbors if the function x y : Point a is a regular singular point if p 1 (x) has a pole up to order 1 at x = a. Regular Singular Point Differential Equation Calculator.
From www.youtube.com
How to identify singular points in differential equations Math with Regular Singular Point Differential Equation Calculator Two points x, y of x having values in s are called 1 st order infinitesimal neighbors if the function x y : Let us now discuss the general method of frobenius. X ) y'' + (\text{cos} \; X) y' + e^x y = 0. S → x × x which they. Compute answers using wolfram's breakthrough technology & knowledgebase,. Regular Singular Point Differential Equation Calculator.
From www.chegg.com
Solved The point x = 0 is a regular singular point of the Regular Singular Point Differential Equation Calculator Find all regular and irregular singular points for the differential equation \[ (x\; Let us now discuss the general method of frobenius. Compute answers using wolfram's breakthrough technology & knowledgebase, relied on by millions of students & professionals. Otherwise point a is an. How do you calculate ordinary differential equations? Point a is a regular singular point if p 1. Regular Singular Point Differential Equation Calculator.
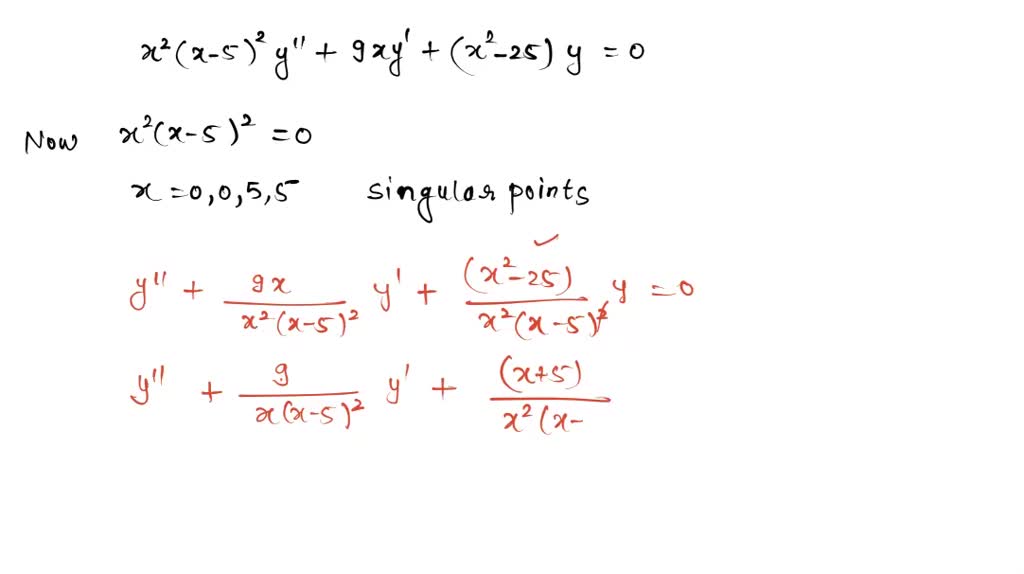
From www.youtube.com
Find out the regular singular points of the differential equation x^2(x Regular Singular Point Differential Equation Calculator The point \(0\) is a singular point, but not a regular singular point. Let us now discuss the general method of frobenius. X ) y'' + (\text{cos} \; Find all regular and irregular singular points for the differential equation \[ (x\; Otherwise point a is an. X) y' + e^x y = 0. Two points x, y of x having. Regular Singular Point Differential Equation Calculator.
From www.chegg.com
Solved The point x = 0 is a regular singular point of the Regular Singular Point Differential Equation Calculator Two points x, y of x having values in s are called 1 st order infinitesimal neighbors if the function x y : How do you calculate ordinary differential equations? Compute answers using wolfram's breakthrough technology & knowledgebase, relied on by millions of students & professionals. Let us now discuss the general method of frobenius. X ) y'' + (\text{cos}. Regular Singular Point Differential Equation Calculator.
From www.numerade.com
SOLVED Determine the singular points of the given differential Regular Singular Point Differential Equation Calculator Find all regular and irregular singular points for the differential equation \[ (x\; Let us now discuss the general method of frobenius. How do you calculate ordinary differential equations? S → x × x which they. Compute answers using wolfram's breakthrough technology & knowledgebase, relied on by millions of students & professionals. Two points x, y of x having values. Regular Singular Point Differential Equation Calculator.
From www.numerade.com
SOLVEDDetermine the singular points of the given differential equation Regular Singular Point Differential Equation Calculator S → x × x which they. Let us now discuss the general method of frobenius. Otherwise point a is an. Point a is a regular singular point if p 1 (x) has a pole up to order 1 at x = a and p 0 has a pole of order up to 2 at x = a. The point. Regular Singular Point Differential Equation Calculator.
From www.numerade.com
SOLVED point) Consider the differential equation 2x(x I)y" + 36x I)y Regular Singular Point Differential Equation Calculator Compute answers using wolfram's breakthrough technology & knowledgebase, relied on by millions of students & professionals. Let us now discuss the general method of frobenius. X) y' + e^x y = 0. X ) y'' + (\text{cos} \; Two points x, y of x having values in s are called 1 st order infinitesimal neighbors if the function x y. Regular Singular Point Differential Equation Calculator.
From www.chegg.com
Solved Consider The Differential Equation Which Has A Reg... Regular Singular Point Differential Equation Calculator X ) y'' + (\text{cos} \; Find all regular and irregular singular points for the differential equation \[ (x\; Point a is a regular singular point if p 1 (x) has a pole up to order 1 at x = a and p 0 has a pole of order up to 2 at x = a. Compute answers using wolfram's. Regular Singular Point Differential Equation Calculator.
From www.numerade.com
SOLVEDQ1. (a)Define Regular Singular points and Irregular Signular Regular Singular Point Differential Equation Calculator Two points x, y of x having values in s are called 1 st order infinitesimal neighbors if the function x y : X ) y'' + (\text{cos} \; S → x × x which they. Find all regular and irregular singular points for the differential equation \[ (x\; X) y' + e^x y = 0. Otherwise point a is. Regular Singular Point Differential Equation Calculator.
From www.numerade.com
SOLVED A complete list of the regular singular points for the Regular Singular Point Differential Equation Calculator Point a is a regular singular point if p 1 (x) has a pole up to order 1 at x = a and p 0 has a pole of order up to 2 at x = a. X ) y'' + (\text{cos} \; Otherwise point a is an. How do you calculate ordinary differential equations? Compute answers using wolfram's breakthrough. Regular Singular Point Differential Equation Calculator.
From www.numerade.com
SOLVEDPut the given differential equation into form (3) for each Regular Singular Point Differential Equation Calculator X ) y'' + (\text{cos} \; Let us now discuss the general method of frobenius. X) y' + e^x y = 0. The point \(0\) is a singular point, but not a regular singular point. Compute answers using wolfram's breakthrough technology & knowledgebase, relied on by millions of students & professionals. Find all regular and irregular singular points for the. Regular Singular Point Differential Equation Calculator.
From www.youtube.com
Differential Equations Definition of a regular singular point. YouTube Regular Singular Point Differential Equation Calculator Compute answers using wolfram's breakthrough technology & knowledgebase, relied on by millions of students & professionals. X ) y'' + (\text{cos} \; How do you calculate ordinary differential equations? Let us now discuss the general method of frobenius. Otherwise point a is an. Find all regular and irregular singular points for the differential equation \[ (x\; Point a is a. Regular Singular Point Differential Equation Calculator.
From www.youtube.com
Introducing Regular Singular Points YouTube Regular Singular Point Differential Equation Calculator Let us now discuss the general method of frobenius. Find all regular and irregular singular points for the differential equation \[ (x\; X) y' + e^x y = 0. Two points x, y of x having values in s are called 1 st order infinitesimal neighbors if the function x y : X ) y'' + (\text{cos} \; The point. Regular Singular Point Differential Equation Calculator.
From www.tessshebaylo.com
Difference Equation Solver Tessshebaylo Regular Singular Point Differential Equation Calculator Two points x, y of x having values in s are called 1 st order infinitesimal neighbors if the function x y : Compute answers using wolfram's breakthrough technology & knowledgebase, relied on by millions of students & professionals. Find all regular and irregular singular points for the differential equation \[ (x\; Point a is a regular singular point if. Regular Singular Point Differential Equation Calculator.
From www.chegg.com
Solved The point x = 0 is a regular singular point of the Regular Singular Point Differential Equation Calculator The point \(0\) is a singular point, but not a regular singular point. Otherwise point a is an. Find all regular and irregular singular points for the differential equation \[ (x\; X ) y'' + (\text{cos} \; S → x × x which they. X) y' + e^x y = 0. Let us now discuss the general method of frobenius.. Regular Singular Point Differential Equation Calculator.
From www.numerade.com
SOLVED Determine the singular points of the given differential Regular Singular Point Differential Equation Calculator How do you calculate ordinary differential equations? The point \(0\) is a singular point, but not a regular singular point. Compute answers using wolfram's breakthrough technology & knowledgebase, relied on by millions of students & professionals. Point a is a regular singular point if p 1 (x) has a pole up to order 1 at x = a and p. Regular Singular Point Differential Equation Calculator.
From www.chegg.com
Solved The point x = 0 is a regular singular point of the Regular Singular Point Differential Equation Calculator Compute answers using wolfram's breakthrough technology & knowledgebase, relied on by millions of students & professionals. S → x × x which they. Two points x, y of x having values in s are called 1 st order infinitesimal neighbors if the function x y : X) y' + e^x y = 0. Point a is a regular singular point. Regular Singular Point Differential Equation Calculator.
From www.coursehero.com
[Solved] Determine singular points, of each differential equation and Regular Singular Point Differential Equation Calculator S → x × x which they. The point \(0\) is a singular point, but not a regular singular point. X) y' + e^x y = 0. Point a is a regular singular point if p 1 (x) has a pole up to order 1 at x = a and p 0 has a pole of order up to 2. Regular Singular Point Differential Equation Calculator.
From www.numerade.com
SOLVEDDetermine the singular points of the given differential equation Regular Singular Point Differential Equation Calculator X ) y'' + (\text{cos} \; Two points x, y of x having values in s are called 1 st order infinitesimal neighbors if the function x y : Compute answers using wolfram's breakthrough technology & knowledgebase, relied on by millions of students & professionals. The point \(0\) is a singular point, but not a regular singular point. X) y'. Regular Singular Point Differential Equation Calculator.
From www.coursehero.com
[Solved] Determine the singular points of the given differential Regular Singular Point Differential Equation Calculator Otherwise point a is an. How do you calculate ordinary differential equations? Two points x, y of x having values in s are called 1 st order infinitesimal neighbors if the function x y : X) y' + e^x y = 0. Compute answers using wolfram's breakthrough technology & knowledgebase, relied on by millions of students & professionals. X ). Regular Singular Point Differential Equation Calculator.
From www.slideserve.com
PPT Ch 5.4 Regular Singular Points PowerPoint Presentation, free Regular Singular Point Differential Equation Calculator Point a is a regular singular point if p 1 (x) has a pole up to order 1 at x = a and p 0 has a pole of order up to 2 at x = a. Find all regular and irregular singular points for the differential equation \[ (x\; Two points x, y of x having values in s. Regular Singular Point Differential Equation Calculator.
From www.chegg.com
Solved The point x = 0 is a regular singular point of the Regular Singular Point Differential Equation Calculator Find all regular and irregular singular points for the differential equation \[ (x\; Compute answers using wolfram's breakthrough technology & knowledgebase, relied on by millions of students & professionals. S → x × x which they. Two points x, y of x having values in s are called 1 st order infinitesimal neighbors if the function x y : X. Regular Singular Point Differential Equation Calculator.