Convert Grams To Milliliters Using Density . The formula to convert grams to milliliters is: Calculate how many milliliters is x grams of a specific ingredient such as water, flour, milk, sugar, salt, etc. Convert the mass of the object. To convert grams to milliliters using the density of a substance, you need to know the density of the substance in grams per milliliter. To convert 1 gram to milliliters, divide the number of grams (1 in this case) by the density of the ingredient. Since grams (g) describe mass and milliliters (ml) describe volume, it's not so trivial to convert g to ml! You then need to follow a couple of simple steps: Milliliters (ml) = grams (g) ÷ density (g/ml) density is the mass per unit volume of a. The details of conversion depend on the density of the ingredient in question. To convert a measurement in grams to milliliters, divide the weight by the density of the ingredient or. To convert between grams and milliliters, you need to know the mass of an object and its density. This chemistry video tutorial explains how to convert grams to milliliters or g to ml for short using. Easily convert grams to ml. 42 rows grams to milliliters formula.
from www.wikihow.com
The details of conversion depend on the density of the ingredient in question. The formula to convert grams to milliliters is: Since grams (g) describe mass and milliliters (ml) describe volume, it's not so trivial to convert g to ml! You then need to follow a couple of simple steps: Milliliters (ml) = grams (g) ÷ density (g/ml) density is the mass per unit volume of a. Calculate how many milliliters is x grams of a specific ingredient such as water, flour, milk, sugar, salt, etc. This chemistry video tutorial explains how to convert grams to milliliters or g to ml for short using. 42 rows grams to milliliters formula. To convert grams to milliliters using the density of a substance, you need to know the density of the substance in grams per milliliter. Convert the mass of the object.
3 Easy Ways to Convert Milliliters (mL) to Grams (g) wikiHow
Convert Grams To Milliliters Using Density To convert 1 gram to milliliters, divide the number of grams (1 in this case) by the density of the ingredient. You then need to follow a couple of simple steps: Milliliters (ml) = grams (g) ÷ density (g/ml) density is the mass per unit volume of a. Easily convert grams to ml. 42 rows grams to milliliters formula. To convert between grams and milliliters, you need to know the mass of an object and its density. Convert the mass of the object. The formula to convert grams to milliliters is: This chemistry video tutorial explains how to convert grams to milliliters or g to ml for short using. To convert a measurement in grams to milliliters, divide the weight by the density of the ingredient or. To convert 1 gram to milliliters, divide the number of grams (1 in this case) by the density of the ingredient. Since grams (g) describe mass and milliliters (ml) describe volume, it's not so trivial to convert g to ml! The details of conversion depend on the density of the ingredient in question. To convert grams to milliliters using the density of a substance, you need to know the density of the substance in grams per milliliter. Calculate how many milliliters is x grams of a specific ingredient such as water, flour, milk, sugar, salt, etc.
From entertainmonews.blogspot.com
Convert ML/min To G/min Milliliter Per Minute To Grams News Coverage Convert Grams To Milliliters Using Density Milliliters (ml) = grams (g) ÷ density (g/ml) density is the mass per unit volume of a. 42 rows grams to milliliters formula. To convert 1 gram to milliliters, divide the number of grams (1 in this case) by the density of the ingredient. You then need to follow a couple of simple steps: Since grams (g) describe mass and. Convert Grams To Milliliters Using Density.
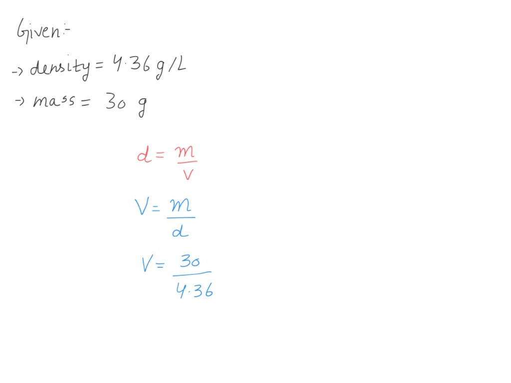
From www.numerade.com
SOLVED 'plsss helppppppppppp Question T1412 OMapi A student Is asked Convert Grams To Milliliters Using Density 42 rows grams to milliliters formula. Easily convert grams to ml. Convert the mass of the object. Calculate how many milliliters is x grams of a specific ingredient such as water, flour, milk, sugar, salt, etc. This chemistry video tutorial explains how to convert grams to milliliters or g to ml for short using. To convert 1 gram to milliliters,. Convert Grams To Milliliters Using Density.
From www.template.net
Gram Conversion Chart in PSD, Illustrator, Word, PDF Download Convert Grams To Milliliters Using Density Convert the mass of the object. The details of conversion depend on the density of the ingredient in question. This chemistry video tutorial explains how to convert grams to milliliters or g to ml for short using. Calculate how many milliliters is x grams of a specific ingredient such as water, flour, milk, sugar, salt, etc. To convert grams to. Convert Grams To Milliliters Using Density.
From www.wikihow.com
3 Easy Ways to Convert Milliliters (mL) to Grams (g) wikiHow Convert Grams To Milliliters Using Density Calculate how many milliliters is x grams of a specific ingredient such as water, flour, milk, sugar, salt, etc. To convert grams to milliliters using the density of a substance, you need to know the density of the substance in grams per milliliter. You then need to follow a couple of simple steps: To convert between grams and milliliters, you. Convert Grams To Milliliters Using Density.
From www.youtube.com
How To Convert Grams to Milliliters g to mL YouTube Convert Grams To Milliliters Using Density To convert between grams and milliliters, you need to know the mass of an object and its density. To convert a measurement in grams to milliliters, divide the weight by the density of the ingredient or. This chemistry video tutorial explains how to convert grams to milliliters or g to ml for short using. You then need to follow a. Convert Grams To Milliliters Using Density.
From www.numerade.com
SOLVED A quarter has a mass of 0.0057 kilograms and a volume of 0.96 Convert Grams To Milliliters Using Density To convert grams to milliliters using the density of a substance, you need to know the density of the substance in grams per milliliter. Convert the mass of the object. Calculate how many milliliters is x grams of a specific ingredient such as water, flour, milk, sugar, salt, etc. 42 rows grams to milliliters formula. To convert 1 gram to. Convert Grams To Milliliters Using Density.
From iteducationlearning.com
How to convert ml to grams and why is it necessary? Convert Grams To Milliliters Using Density To convert between grams and milliliters, you need to know the mass of an object and its density. The details of conversion depend on the density of the ingredient in question. Convert the mass of the object. The formula to convert grams to milliliters is: To convert a measurement in grams to milliliters, divide the weight by the density of. Convert Grams To Milliliters Using Density.
From www.wikihow.com
3 Easy Ways to Convert Milliliters (mL) to Grams (g) wikiHow Convert Grams To Milliliters Using Density Convert the mass of the object. 42 rows grams to milliliters formula. Easily convert grams to ml. To convert between grams and milliliters, you need to know the mass of an object and its density. To convert grams to milliliters using the density of a substance, you need to know the density of the substance in grams per milliliter. Calculate. Convert Grams To Milliliters Using Density.
From www.coolstuffshub.com
Convert 16 grams to milliliters (16 g to ml conversion) Convert Grams To Milliliters Using Density To convert 1 gram to milliliters, divide the number of grams (1 in this case) by the density of the ingredient. To convert grams to milliliters using the density of a substance, you need to know the density of the substance in grams per milliliter. To convert a measurement in grams to milliliters, divide the weight by the density of. Convert Grams To Milliliters Using Density.
From www.numerade.com
SOLVED A copy of your chemistry textbook has a mass of 2.60 kilograms Convert Grams To Milliliters Using Density 42 rows grams to milliliters formula. Since grams (g) describe mass and milliliters (ml) describe volume, it's not so trivial to convert g to ml! Milliliters (ml) = grams (g) ÷ density (g/ml) density is the mass per unit volume of a. To convert a measurement in grams to milliliters, divide the weight by the density of the ingredient or.. Convert Grams To Milliliters Using Density.
From www.homedit.com
Grams to Milliliters Calculator g to ml Convert Grams To Milliliters Using Density To convert 1 gram to milliliters, divide the number of grams (1 in this case) by the density of the ingredient. This chemistry video tutorial explains how to convert grams to milliliters or g to ml for short using. Calculate how many milliliters is x grams of a specific ingredient such as water, flour, milk, sugar, salt, etc. You then. Convert Grams To Milliliters Using Density.
From www.youtube.com
mL to grams YouTube Convert Grams To Milliliters Using Density You then need to follow a couple of simple steps: Milliliters (ml) = grams (g) ÷ density (g/ml) density is the mass per unit volume of a. To convert a measurement in grams to milliliters, divide the weight by the density of the ingredient or. Since grams (g) describe mass and milliliters (ml) describe volume, it's not so trivial to. Convert Grams To Milliliters Using Density.
From www.wikihow.com
3 Easy Ways to Convert Milliliters (mL) to Grams (g) wikiHow Convert Grams To Milliliters Using Density Since grams (g) describe mass and milliliters (ml) describe volume, it's not so trivial to convert g to ml! Easily convert grams to ml. Milliliters (ml) = grams (g) ÷ density (g/ml) density is the mass per unit volume of a. The details of conversion depend on the density of the ingredient in question. To convert 1 gram to milliliters,. Convert Grams To Milliliters Using Density.
From www.youtube.com
How to Convert Gram/Cubic Centimeter to Gram/Milliliter? YouTube Convert Grams To Milliliters Using Density The details of conversion depend on the density of the ingredient in question. Milliliters (ml) = grams (g) ÷ density (g/ml) density is the mass per unit volume of a. You then need to follow a couple of simple steps: To convert a measurement in grams to milliliters, divide the weight by the density of the ingredient or. To convert. Convert Grams To Milliliters Using Density.
From www.wikihow.com
3 Easy Ways to Convert Milliliters (mL) to Grams (g) wikiHow Convert Grams To Milliliters Using Density Convert the mass of the object. To convert grams to milliliters using the density of a substance, you need to know the density of the substance in grams per milliliter. To convert a measurement in grams to milliliters, divide the weight by the density of the ingredient or. The formula to convert grams to milliliters is: Milliliters (ml) = grams. Convert Grams To Milliliters Using Density.
From www.numerade.com
SOLVED The dime has a mass of 2.3x10^(3) kilograms and a volume of 0. Convert Grams To Milliliters Using Density Easily convert grams to ml. This chemistry video tutorial explains how to convert grams to milliliters or g to ml for short using. Convert the mass of the object. The details of conversion depend on the density of the ingredient in question. You then need to follow a couple of simple steps: Calculate how many milliliters is x grams of. Convert Grams To Milliliters Using Density.
From www.filmdistrictdubai.com
Understanding Density Its Role in Converting Grams to Milliliters Convert Grams To Milliliters Using Density 42 rows grams to milliliters formula. To convert grams to milliliters using the density of a substance, you need to know the density of the substance in grams per milliliter. To convert a measurement in grams to milliliters, divide the weight by the density of the ingredient or. Calculate how many milliliters is x grams of a specific ingredient such. Convert Grams To Milliliters Using Density.
From www.wikihow.com
4 Ways to Convert Milliliters (mL) to Grams (g) wikiHow Convert Grams To Milliliters Using Density Since grams (g) describe mass and milliliters (ml) describe volume, it's not so trivial to convert g to ml! Milliliters (ml) = grams (g) ÷ density (g/ml) density is the mass per unit volume of a. To convert a measurement in grams to milliliters, divide the weight by the density of the ingredient or. The formula to convert grams to. Convert Grams To Milliliters Using Density.
From www.wikihow.com
3 Easy Ways to Convert Milliliters (mL) to Grams (g) wikiHow Convert Grams To Milliliters Using Density To convert between grams and milliliters, you need to know the mass of an object and its density. This chemistry video tutorial explains how to convert grams to milliliters or g to ml for short using. Since grams (g) describe mass and milliliters (ml) describe volume, it's not so trivial to convert g to ml! Calculate how many milliliters is. Convert Grams To Milliliters Using Density.
From www.wikihow.com
3 Easy Ways to Convert Milliliters (mL) to Grams (g) wikiHow Convert Grams To Milliliters Using Density To convert between grams and milliliters, you need to know the mass of an object and its density. Milliliters (ml) = grams (g) ÷ density (g/ml) density is the mass per unit volume of a. Calculate how many milliliters is x grams of a specific ingredient such as water, flour, milk, sugar, salt, etc. You then need to follow a. Convert Grams To Milliliters Using Density.
From www.youtube.com
How to Convert Grams to milliliters ! Dr. Mchem YouTube Convert Grams To Milliliters Using Density Convert the mass of the object. Since grams (g) describe mass and milliliters (ml) describe volume, it's not so trivial to convert g to ml! The formula to convert grams to milliliters is: The details of conversion depend on the density of the ingredient in question. Milliliters (ml) = grams (g) ÷ density (g/ml) density is the mass per unit. Convert Grams To Milliliters Using Density.
From www.numerade.com
SOLVED A nickel has a mass of 4.7×103 kilograms and a volume of 0.81 Convert Grams To Milliliters Using Density 42 rows grams to milliliters formula. Easily convert grams to ml. The details of conversion depend on the density of the ingredient in question. The formula to convert grams to milliliters is: To convert grams to milliliters using the density of a substance, you need to know the density of the substance in grams per milliliter. This chemistry video tutorial. Convert Grams To Milliliters Using Density.
From entertainmonews.blogspot.com
Convert ML/min To G/min Milliliter Per Minute To Grams News Coverage Convert Grams To Milliliters Using Density Convert the mass of the object. Calculate how many milliliters is x grams of a specific ingredient such as water, flour, milk, sugar, salt, etc. To convert between grams and milliliters, you need to know the mass of an object and its density. You then need to follow a couple of simple steps: Easily convert grams to ml. To convert. Convert Grams To Milliliters Using Density.
From www.numerade.com
SOLVED A calculator has mass of 0.H kilograms and volume of 160 Convert Grams To Milliliters Using Density To convert grams to milliliters using the density of a substance, you need to know the density of the substance in grams per milliliter. The details of conversion depend on the density of the ingredient in question. Since grams (g) describe mass and milliliters (ml) describe volume, it's not so trivial to convert g to ml! You then need to. Convert Grams To Milliliters Using Density.
From www.numerade.com
SOLVED A 10.00 milliliter sample of acetone is pipetted into a Convert Grams To Milliliters Using Density Calculate how many milliliters is x grams of a specific ingredient such as water, flour, milk, sugar, salt, etc. To convert 1 gram to milliliters, divide the number of grams (1 in this case) by the density of the ingredient. To convert between grams and milliliters, you need to know the mass of an object and its density. To convert. Convert Grams To Milliliters Using Density.
From www.wikihow.com
4 Ways to Convert Milliliters (mL) to Grams (g) wikiHow Convert Grams To Milliliters Using Density To convert 1 gram to milliliters, divide the number of grams (1 in this case) by the density of the ingredient. 42 rows grams to milliliters formula. The details of conversion depend on the density of the ingredient in question. To convert a measurement in grams to milliliters, divide the weight by the density of the ingredient or. This chemistry. Convert Grams To Milliliters Using Density.
From warreninstitute.org
Convert GRAMS To MILLILITERS Ultimate Conversion Guide Convert Grams To Milliliters Using Density Easily convert grams to ml. Convert the mass of the object. Since grams (g) describe mass and milliliters (ml) describe volume, it's not so trivial to convert g to ml! You then need to follow a couple of simple steps: The details of conversion depend on the density of the ingredient in question. To convert between grams and milliliters, you. Convert Grams To Milliliters Using Density.
From daprofitclub.com
Milliliters to Grams Converter (ml to g) Convert Grams To Milliliters Using Density Since grams (g) describe mass and milliliters (ml) describe volume, it's not so trivial to convert g to ml! To convert 1 gram to milliliters, divide the number of grams (1 in this case) by the density of the ingredient. To convert between grams and milliliters, you need to know the mass of an object and its density. The formula. Convert Grams To Milliliters Using Density.
From www.numerade.com
SOLVED A nickel has a mass of 5.30 x 10^3 kilograms and a volume of 0 Convert Grams To Milliliters Using Density 42 rows grams to milliliters formula. This chemistry video tutorial explains how to convert grams to milliliters or g to ml for short using. To convert grams to milliliters using the density of a substance, you need to know the density of the substance in grams per milliliter. Calculate how many milliliters is x grams of a specific ingredient such. Convert Grams To Milliliters Using Density.
From payscalechart.z28.web.core.windows.net
grams scale chart Ounces to grams conversion chart printable Convert Grams To Milliliters Using Density The details of conversion depend on the density of the ingredient in question. This chemistry video tutorial explains how to convert grams to milliliters or g to ml for short using. Convert the mass of the object. The formula to convert grams to milliliters is: To convert between grams and milliliters, you need to know the mass of an object. Convert Grams To Milliliters Using Density.
From www.lemonsforlulu.com
How to Convert Grams to Teaspoons? Convert Grams To Milliliters Using Density Since grams (g) describe mass and milliliters (ml) describe volume, it's not so trivial to convert g to ml! Easily convert grams to ml. 42 rows grams to milliliters formula. To convert 1 gram to milliliters, divide the number of grams (1 in this case) by the density of the ingredient. To convert between grams and milliliters, you need to. Convert Grams To Milliliters Using Density.
From www.numerade.com
SOLVED dime bas a mass of 2.40 X 103 kilograms and a volume of 0.410 Convert Grams To Milliliters Using Density Milliliters (ml) = grams (g) ÷ density (g/ml) density is the mass per unit volume of a. Since grams (g) describe mass and milliliters (ml) describe volume, it's not so trivial to convert g to ml! Calculate how many milliliters is x grams of a specific ingredient such as water, flour, milk, sugar, salt, etc. The details of conversion depend. Convert Grams To Milliliters Using Density.
From www.lemonsforlulu.com
Milliliters to Grams Converter (mL to g) Convert Grams To Milliliters Using Density To convert a measurement in grams to milliliters, divide the weight by the density of the ingredient or. Calculate how many milliliters is x grams of a specific ingredient such as water, flour, milk, sugar, salt, etc. The details of conversion depend on the density of the ingredient in question. The formula to convert grams to milliliters is: This chemistry. Convert Grams To Milliliters Using Density.
From fyoxxycjc.blob.core.windows.net
Convert Grams Into Milliliters at Thomas Roquemore blog Convert Grams To Milliliters Using Density To convert a measurement in grams to milliliters, divide the weight by the density of the ingredient or. Calculate how many milliliters is x grams of a specific ingredient such as water, flour, milk, sugar, salt, etc. Easily convert grams to ml. The details of conversion depend on the density of the ingredient in question. Since grams (g) describe mass. Convert Grams To Milliliters Using Density.
From iteducationlearning.com
How to convert ml to grams and why is it necessary? Convert Grams To Milliliters Using Density You then need to follow a couple of simple steps: 42 rows grams to milliliters formula. The details of conversion depend on the density of the ingredient in question. Milliliters (ml) = grams (g) ÷ density (g/ml) density is the mass per unit volume of a. Since grams (g) describe mass and milliliters (ml) describe volume, it's not so trivial. Convert Grams To Milliliters Using Density.